آیین‌نامه‌ها

صفحه اصلی / آیین‌نامه‌ها / مبحث هفدهم مقررات ملی ساختمان (سامانه گاز طبیعی در ساختمان)
15-17 کنترل کیفیت، آزمایش، بازرسی، صدور تاییدیه، تحویل و تزریق گاز در سیستم لوله‌‌کشی گاز

15-17 کنترل کیفیت، آزمایش، بازرسی، صدور تاییدیه، تحویل و تزریق گاز در سیستم لوله‌‌کشی گاز

1-15-17 کلیات

پس از آزمایش و صدور تأییدیه نهایی توسط دستگاه نظارت که مطابق بندهاى زیر انجام می‌شود، تخلیه هوا، تزریق گاز و راه‌اندازی سیستم لوله‌‌کشی باید طبق دستورالعمل شرکت ملى گاز صورت کیرد.

2-15-17 آزمایش

شبکه‌‌‌های گازرسانی باید پس از تکمیل و قبل از بهره‌برداری مورد آزمایش فشارپذیری قرار گیرند. آزمایش فشار پذیری شامل آزمایش مقاومت و آزمایش نشتی می‌باشد. در شبکه‌‌‌های لوله‌‌کشی گاز آزمایش مقاومت و نشتی به صورت توام و همزمان انجام می‌شود. براى انجام آزمایش مقاومت ونشتى مى‌توان از هواى فشرده یا گاز بی‌اثر استفاده نمود.

3-15-17 تجهیزات و لوازم مورد نیاز براى انجام آزمایش

برای انجام آزمایش تجهیزات و دستگاه‌‌‌های مورد نیاز به شرح زیر می‌باشد.

- کمپرسور هوا

- هدر یا منیفولد

- شیلنگ‌ها و اتصالات

- میزکار و ابزارآلات نصب

- تجهیزات ایمنى وامداد

- وسائل حمل ونقل

- ژنراتور برق

- دستگاه فشارسنج وزنه‌ای با دامنه کارکرد صفر تا ٢٠٠ پوند بر اینچ مربع

- دستگاه ثبات فشار با دامنه کارکرد صفر تا ٢٠٠ پوند بر اینچ مربع

- فشارسنج‌‌های ساعتی با دامنه کارکزد صفر تا ٢٠٠ پوند بر اینچ مربع

- دستگاه ثبات دما با دامنه کارکرد ٢٠ تا ٥٠ درجه سلسیوس

- دماسنج دیجیتالی با دامنه کارکرد ٢٠ تا ٥٠ درجه سلسیوس

- دماسنج جیوه‌ای یا الکلى

4-15-17 تنظیم دستگاه‌‌‌های آزمایش

کلیه دستگاه‌‌ها و وسائل اندازە گیرى باید دارای گواهینامه کالیبراسیون (تنظیم) از شرکت‌های معتبر و با تجربه باشند که از زمان صدور آن‌ها بیش از سه ماه نگذشته باشد.

5-15-17 مسئولیت‌‌های مجری در ارتباط با انجام آزمایش

مجری می‌تواند آزمایش را خود راساً انجام دهد و یا در این خصوص از خدمات شرکت‌های معتبر و با تجربه در زمینه آزمایش‌‌های شبکه‌‌‌های گازرسانی استفاده نماید.

مسئولیت تامین کلیه دستگاه‌‌ها و وسائل اندازه‌گیرى مناسب براى انجام آزمایش و همچنین تأمین تجهیزات و اقدامات ایمنى لازم بر عهده مجرى است.

مسئولیت ایمنی عملیات آزمایش بر عهده مجری بوده و در صورت بروز هر گونه حادثه‌ای، مجری مسئول خواهد بود.

قبل از شروع آزمایش باید کلیه تجهیزات و لوازم آزمایش شامل منیفولد و شیلنگ‌ها و اتصالات به وسیله مجری و با حضور دستگاه نظارت مورد بررسی و آزمایش فشار پذیری و کنترل نشت قرار گیرند.

6-15-17 برنامه انجام آزمایش‌ها

مجرى موظف است برنامه جزء به جزء آزمایش‌ها را حداقل یک هفته قبل به صورت کتبى به دستگاه نظارت اعلام نموده و با هماهنگی دستگاه نظارت، برنامه آزمایش‌ها را تنظیم نماید

7-15-17 مسئولیت‌‌های دستگاه نظارت در ارتباط با انجام آزمایش

- مسئولیت کنترل تجهیزات ایمنى

- مسئولیت بررسی و تائید مناسب بودن دستگاه‌‌های آزمایش و کنترل صحت کارکرد آنها

- مسئولیت کنترل گواهینامه‌‌‌های تنطیم دستگاه‌‌‌های آزمایش و نیز اطمینان از تنطیم بودن دستگاه‌ها

- مسئولیت بررسی مدارک آزمایش و تأیید نتیجه نهایی پس از اتمام مراحل آزمایش

- حضور دستگاه نظارت در کلیه مراحل آزمایش و نظارت بر روند پیشرفت کار از نزدیک

8-15-17 اقدامات قبل از شروع آزمایش

قبل از شروع آزمایش‌‌های مقاومت و نشتی باید کلیه قسمت‌‌های شبکه به طور کامل دفن شده باشد.

آزمایش شبکه‌هائی که قسمتی از آن مدفون و قسمتی غیر مدفون باشد، ممنوع است. در چنین حالتى باید قسمت مدفون از قسمت غیر مدفون جدا شود و هر قسمت بصورت مجزا مورد آزمایش قرار گیرد.

در صورتی که لازم باشد قسمتى از یک شبکه لوله‌‌کشی مورد آزمایش قرار گیرد، جدا کردن آن قسمت از سایر قسمت‌ها باید به وسیله اتصالات دائمی از قبیل کپ (درپوش جوشی) یا جداسازی به وسیله فلنج انجام شود. استفاده از شیر برای جداسازى یک قسمت از لوله‌‌کشی از قسمت دیکر براى آزمایش مجاز نمى‌باشد.

جهت انجام آزمایش‌های مقاومت و نشتی باید یک چادر یا کاروان جهت استقرار دستگاه‌‌های آزمایش تامین گردد. محل نصب چادر یا کاروان آزمایش باید در یک انتهاى شبکه لوله‌کشى ودر محل مناسب باشد.

9-15-17 مراحل انجام آزمایش‌های مقاومت و نشتى

١- نصب دستگاه‌‌های آزمایش

منیفولد و دستگاه‌‌های آزمایش شامل دستگاه فشارسنج وزن‌های، دستگاه ثبات فشار و غیره باید در داخل چادر یا کاروان آزمایش ودر محل مناسب نصب کردد.

دستگاه ثبات درجه حرارت باید در فاصله حداقل ٣٠ متری از انتهای لوله‌‌کشی و بر روی لوله نصب گردد.

برای نصب دستگاه ثبات درجه حرارت باید خاک روى لوله برداشته وعایق لوله از آن جدا شود. سپس حسگر دستگاه را بر روی لوله لخت قرار داده و روی لوله را با پشم شیشه پوشاند وروى لوله خاک نرم ریخته تا از تأثیرات حرارت محیط محفوظ بماند.

٢- تمیزکردن شبکه لوله‌‌کشی - قبل از شروع آزمایش باید شبکه لوله‌‌کشی با تزریق هوای فشرده از یک انتها و تخلیه هوا از انتهای دیگر شېکه، از ګرد و خاک و اشیاء بجا مانده در آن تمیز گردد.

٣- آزمایش‌های مقاومت ونشتى - جهت شروع آزمایش‌ها و یس از تمیز کردن شبکه، باید شبکه لوله‌‌کشی را از هوای فشرده با فشار صد پوند بر اینچ مربع پر نمود. آزمایش‌های مقاومت ونشتى شامل دو مرحله می‌باشد:

الف- دوران یکنواختى - به منظور تثبیت نوسانات درجه حرارت وفشار باید شبکه حداقل به مدت 24 ساعت به حال خود قرار داده شود. در طول این مدت تغییرات دما وفشار شبکه باید به وسیله دستگاه‌های ثبات ثبت ګردد.

ب- آزمایش‌های مقاومت و نشتی- پس از یکنواخت شدن، آزمایش‌های مقاومت و نشتى به مدت 48 ساعت انجام می‌شود. طی این مدت علاوه بر ثبت تغییرات دما و فشار شبکه به وسیله دستگاه‌های ثبات، باید رأس هر ساعت، فشار از طریق دستگاه فشار سنج وزنه‌ای قرائت گردیده و ثبت شود.

همچنین هر دو ساعت یک بار نیز درجه حرارت زمین به وسیله ترمومتر از لوله‌‌های روغن کار گذاشته شده در سطح شبکه اندازه‌گیری و ثبت شود.

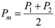
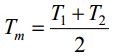
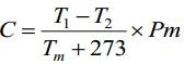
۴ - بررسی نتایج آزمایش - پس از پایان آزمایش، اطلاعات جمع آوری شده که شامل نمودارهای دما و فشار ثبت شده و ارقام اندازه‌گیری شده در طول آزمایش می‌باشد، باید توسط دستگاه نظارت بررسى و پس از انجام محاسبات توسط مجری با استفاده از روابط زیر، نتیجه اعلام گردد.

روابط محاسباتی و پارامترهای مربوطه به شرح ذیل است:

  روابط آزمایشهای مقاومت و نشتی 1
  روابط آزمایشهای مقاومت و نشتی 2

که در آن،

درجه حرارت شروع آزمایش بر حسب سلسیوس = T1

درجه حرارت خاتمه آزمایش بر حسب سلسیوس = T2

درجه حرارت متوسط بر حسب سلسیوس = درجه حرارت متوسط بر حسب سلسیوس

 فشار شروع آزمایش بر حسب پوند بر اینچ مربع = P1

 فشار شروع آزمایش بر حسب پوند بر اینچ مربع = P2

فشار متوسط بر حسب پوند بر اینچ مربع = فشار متوسط بر حسب پوند بر اینچ مربع

تغییرات فشار به علت تغییرات درجه حرارت بر حسب پوند بر اینچ مربع = C

حداکثر افت فشار مجاز بر حسب پوند بر اینچ مربع = ΔP

در صورتی آزمایش مورد قبول خواهد بود که افت فشار خط یا شبکه پس از پایان أزمایش کمتراز 0/2 پوند بر اینچ مربع باشد. (خطای دستگاه‌‌های آزمایش 0/2 پوند بر اینچ مربع در نظر گرفته شده است.)

در صورتی که ΔP=0.2 باشد، آزمایش باید تمدید گردد و در صورتى که ΔP>0.2 باشد، آزمایش مردود بوده و با نظر دستگاه نظارت نسبت به تمدید، تکرار و یا رد آزمایش تصمیم‌گیری خواهد شد.

تبصره: فشار آزمایش مقاومت و نشتى براى کلیه فشارهاى بهره‌برداری برابر با ١٠٠ پوند بر اینچ مربع است.

۵- آزمایش قطعات غیر مدفون - در صورتی که انجام آزمایش‌‌های مقاومت و نشتی قبل از دفن مورد نظر باشد و یا نیاز باشد که قطعه‌‌ای از لوله قبل از دفن در بیرون کانال مورد آزمایش قرار گیرد، در این صورت پس از پر کردن آن با هوای فشرده یا فشار صد پوند بر اینچ مربع و با نصب یک دستگاه فشار سنج ساعتی تغییرات فشار آن را به مدت ۴ ساعت یادداشت مینمایند که در این مدت نباید هیچ گونه افت فشارى مشاهده شود.

۶- اتصالات نهائی قطعات آزمایش به یکدیگر - در صورتی که آزمایش‌های شبکه لوله‌‌کشی در دو یا چند قطعه مجزا انجام شده باشند، جهت اتصال قطعات به یکدیگر باید از لوله‌‌هائی استفاده شود که قبلاً مورد آزمایش فشار پذیری قرار کرفته باشند. جوش نهائی که برای اتصال قطعات آزمایش انجام می‌شود باید مورد آزمایش پرتونگاری قرار کرفته و نتیجه آن قابل قبول باشد. تا قبل از دریافت نتیجه پرتونگاری جوش و تایید شدن نتیجه آن نباید خاکریزى و دفن آن انجام شود.

٧- گزارش نهائی آزمایش - پس از اتمام کلیه مراحل آزمایش مجری باید کزارش نهائی وکامل آزمایش‌ها را تهیه و همراه با کلیه مدارک جهت بررسی و تایید به دستگاه نظارت ارائه نماید.

همه فصول

مشخصات آیین‌نامه

تعداد فصول: 22 فصل
سال انتشار: 1403
ویرایش: پنجم

جستجو در آیین‌نامه‌ها

ناشرین آیین‌نامه‌ها

مقررات ملی ساختمان

قوانین، آیین‌نامه‌ها، شیوه‌نامه‌ها، دستورالعمل‌ها و بخشنامه‌های ساختمان

نظام مهندسی ساختمان

ضوابط، بخشنامه‌ها، نشریه‌ها و معیار‌های فنی نظام مهندسی ساختمان

مرکز تحقیقات راه، مسکن و شهرسازی

قوانین، آیین‌نامه‌ها و بخشنامه‌های مرکز تحقیقات راه، مسکن و شهرسازی

سازمان برنامه و بودجه کشور

ضوابط، بخشنامه‌ها و قوانین سازمان برنامه و بودجه کشور

سازمان ملی استاندارد ایران

استانداردهای کمیته‌های مختلف سازمان ملی استاندارد ایران

سازمان تامین اجتماعی کشور

مقررات و آیین‌نامه‌های درمانی و بیمه‌ای سازمان تامین اجتماعی کشور

ضوابط فنی و اجرایی شهرداری‌ها

ضوابط، بخشنامه‌ها، نشریه‌ها و معیار‌های فنی شهرداری‌های کشور

ضوابط فنی و اجرایی وزارت بهداشت

ضوابط، بخشنامه‌ها، نشریه‌ها و معیار‌های فنی وزارت بهداشت

ضوابط فنی و اجرایی وزارت نیرو-آبفا

ضوابط، بخشنامه‌ها، نشریه‌ها و معیار‌های فنی وزارت نیرو-آبفا

ضوابط سازمان بنادر و دریانوردی

ضوابط، بخشنامه‌ها، نشریه‌ها و معیار‌های فنی سازمان بنادر و دریانوردی

ضوابط فنی و اجرایی وزارت نفت

ضوابط، بخشنامه‌ها، نشریه‌ها و معیار‌های فنی وزارت نفت

قوانین و مقررات مالیاتی کشور

قوانین، مقررات، ضوابط و دستورالعمل‌هاى مالیاتى سازمان مالیات كشور

تازه‌ترین فصل‌ها

واژه‌نامه

مبحث هفدهم مقررات ملی ساختمان (سامانه گاز طبیعی در ساختمان)

پیوست ۶ دسته‌بندی نوع دستگاه‌‌‌های گازسوز

مبحث هفدهم مقررات ملی ساختمان (سامانه گاز طبیعی در ساختمان)

پیوست 5 شکل‌ها

مبحث هفدهم مقررات ملی ساختمان (سامانه گاز طبیعی در ساختمان)

پیوست 4 جدول‌ها

مبحث هفدهم مقررات ملی ساختمان (سامانه گاز طبیعی در ساختمان)

پیوست 3 ایمنی و ضوابط بهره‌برداری و نگهداری از سیستم لوله‌‌کشی گاز

مبحث هفدهم مقررات ملی ساختمان (سامانه گاز طبیعی در ساختمان)

پیوست 2 نمونه محاسبات

مبحث هفدهم مقررات ملی ساختمان (سامانه گاز طبیعی در ساختمان)

پیوست 1 راهنمای ایمنی

مبحث هفدهم مقررات ملی ساختمان (سامانه گاز طبیعی در ساختمان)