آیین‌نامه‌ها

صفحه اصلی / آیین‌نامه‌ها / مبحث هفدهم مقررات ملی ساختمان (سامانه گاز طبیعی در ساختمان)
10-17 مشخصات مواد و مصالح مصرفی، برآورد، طراحی و انتخاب مصالح سیستم لوله‌‌کشی گاز

10-17 مشخصات مواد و مصالح مصرفی، برآورد، طراحی و انتخاب مصالح سیستم لوله‌‌کشی گاز

1-10-7 مشخصات مواد و مصالح مصرفى

١٧-١٠-١-١ لوله‌ها

الف- لوله‌‌های فولادى

لوله‌های فولادی مورد استفاده در لوله‌‌کشی گاز می‌تواند از نوع بدون درز و یا درزدار باشد. این لوله‌‌ها از نظر ساخت، مواد، ابعاد، وزن، آزمایش‌ها و روادارى‌ها باید با آخرین ویرایش یکى از استانداردها IGS-M-PL-001(2) , EN 10255 , ISIRI 3360 و یا API 5L Grade B مطابقت داشته باشد (طبق جدول شماره پ-١-4)

ب- لوله‌‌های پلی اتیلن

کاربرد لولەهای پلی اتیلن فقط به صورت مدفون برای استفاده در شبکه‌‌های گازرسانی شهرک‌ها ومحوطه مجتمع‌های مسکونى و صنعتى مجاز مى‌باشد.

لولە‌های پلیاتیلن باید مخصوص استفاده در شبکه گازرسانى ساخته شده و با استاندارد IGS-M-PL-014-1(2) مطابقت داشته باشند. شبکه‌‌های پلی اتیلن مى‌بایست براساس این مبحث و ضوابط و دستورالعمل شرکت ملى گاز به شماره (0)001-IGS-C-DN اجرا شوند.

تبصره ١: استفاده از لوله‌‌های پلی اتیلن در سیستم گازرسانى داخل ساختمان‌ها مجاز نمى‌باشد.

تبصرە ٢: استفادە از لوله‌‌های پلی اتیلن به صورت روکار مجاز نمى‌باشد.

تبصره ٣: اتصال لوله‌‌های پلی اتیلن به لوله‌‌های فولادى فقط با استفاده از اتصال رابط لوله فولادى به لوله پلی اتیلن و مطابق استاندارد (1)3-014-IGS-M-PL مجاز مى‌باشد.

تبصره ۴: اتصالات مورد استفاده در سیستم لوله‌‌کشی گاز پلی اتیلن باید از نوع الکتروفیوژن بوده و با استاندارد 2-014-IGS-M-PL مطابقت داشته باشند.

تبصره 5: در نقاطى که رعایت عمق (قطر لوله +١٠٠ سانتی‌متر) براى دفن لوله‌هاى پلى اتیلن ممکن نباشد، باید مشابە بند ١٧-١١-٥-۴ عمل شود.

پ- لوله‌‌های مسی

الف: استفاده از لوله‌‌های مسى که با مشخصات بند ١٧-4-4-١ ردیف (ب) مطابقت داشته باشند، فقط برای اتصال لوازم گازسوز با فشار حداکثر یک چهارم پوند بر اینچ مربع (1724 پاسکال) وحداکثر طول 1/20 متر مجاز مى‌باشد.

ب: استفاده از لوله‌‌های مسی به عنوان بخشی از سیستم لوله‌‌کشی اعم از روکار و یا توکار مجاز نمی‌باشد.

ت- لوله‌‌های قابل انعطاف (شیلنگ) برای اتصال دستگاه‌‌های گازسوز

١: از این لوله‌ها فقط برای اتصال دستگاه‌‌های گازسوز به سیستم لوله‌‌کشی گاز استفاده می‌شود و کاربرد آن برای اتصال و یا بخش‌هائی از سیستم لوله‌‌کشی غیر از مورد یاد شده ممنوع می‌باشد.

٢: مشخصات و حداکثر طول مجاز استفاده از لوله‌‌های قابل انعطاف مطابق با شرایط مندرج در بند «ب» مادہ ١٧-۴-۴-١ بخش اول این مقررات می‌باشد.

١٧-١٠-١-٢ اتصالات

الف- اتصالات فولادى

١: اتصالات جوشى

در اجراى لوله‌کشى گاز به صورت توکار و همچنین روکار بالاتراز دو اینچ، کلیه اتصالات باید از نوع جوشى فولادى بدون درز مطابق مشخصات ASTM A-234 Grade WPB با حداکثر 0/25 درصد کربن و یا استاندارد ملی ٣٠٧۶ و یا استاندارد 1-022-IGS-M-PL بوده و از نظر ابعاد با استاندارد ANSI B16.9 مطابقت داشته و ضخامت آن از رده 40 کمتر نباشد.

٢: اتصالات دنده‌ای

استفاده از اتصالات پیچی به استثنای اتصالات ورودی و خروجی رگولاتور، کنتور و شیر قفل شونده در علمک‌ها، ممنوع می‌باشد.

اتصالات دنده‌ای باید مطابق با استاندارد ملى شماره ١٧٩٨ باشد.

٣: فلنج‌ها

فلنج‌ها باید فولادی، دارای گردن جوشی و از نوع 105-ASTM A ساخته شده به روش آهنگرى (فورج)، کلاس ١۵٠ طبق استاندارد 16.5.ANSI B بوده و سطح آن‌ها باید بر آمده و شیاردار باشد. کاربرد اتصالات فلنجى به صورت مدفون مجاز نیست.

ب- اتصالات پلى اتیلن

اجرای لوله‌‌کشی پلی اتیلن فقط با استفاده از اتصالات از نوع الکتروفیوژن مطابق با استاندارد IGS-PL-014-2(2) مجاز مى‌باشد. استفاده از سایر انواع اتصالات اعم از جوش لب به لب یا مکانیکى وغیره مجاز نمی‌باشد.

پ- اتصالات دنده پیچ

اتصالات دنده پیچ باید از جنس فولادی و یا چدن چکش خوار و با شرایط زیر باشد:

١- از نظر ظاهری عاری از عیب و خلل و فرج داخلى یا خارجى و نواقص ظاهرى باشد.

٢- سرهای آن دارای بر جستگی به صورت طوقه باشد تا در مقابل فشار وارده برای محکم بستن دنده پیچ مقاومت نموده و ترک نخورد.

٣- در صورتیکه توسط گیره فشرده شود تا وقتى که قطر آن لااقل تا ٨٠٪ قطر اصلى تقلیل بیدا مى‌کند نباید در آن‌ها شکستگی یا ترک به وجود آید.

۴- ضخامت جداره بدنه آن‌ها لااقل برابر ضخامت جداره لوله‌ای باشد که اتصال بر آن نصب می‌گردد.

۵- ضخامت جداره کلیه قسمت‌های بدنه اتصال باید کاملاً یکنواخت بوده و حداقل‌های مندرج در استاندارد مربوطه را دارا باشد

6- فشار ترکیدن هیدرواستاتیکى آن‌ها لااقل برابر فشار ترکیدن لوله‌‌ای باشد که اتصال برآن نصب می‌گردد.

١٧-١٠-١-٣ مواد آب بندى اتصالات دنده پیچ

برای آب‌بندی اتصالات دنده‌ای لوله‌‌های گاز باید روى دنده‌‌های خارجى لوله و اتصال را به اندازه کافى و مناسب با مواد یا نوار آب‌بندی (تفلون) پوشانید. بکار بردن نخ‌‌های کنفی یا خمیر و سایر مواد که برای آب‌‌بندی لوله‌‌های آب متداول است برای لولە‌های گاز مجاز نمی‌باشد. ترکیبات موادی که برای آب‌‌بندی اتصالات بکار میرود باید در برابر اثرات گاز طبیعی و مواد شیمیایی موجود در آن که در لوله‌‌ها جریان دارد مقاوم باشد. علاوه بر آن این مواد باید همیشه حالت نرمی خود را حفظ کرده و خشک نشود و نیز به نحوی باشد که در اثر فشار یا حرارت زیاد محیط سیلان پیدا نکرده و از لابلاى اتصالات خارج نشود.

١٧-١٠-١-4 شیرهاى فلزى

شیرهائی که در شبکه گاز با لوله‌‌های فولادی نصب می‌شود باید از نوع ربع گرد توپکی یا سماورى طبق مشخصات زیر باشد:

الف: طراحى، ساخت، اندازه‌‌ها، آزمایش‌ها وعلامت گذارى آن‌ها طبق استاندارد (2)1-002-IGS-M-PL و (1)010-1-IGS-M-PL یا API 6 D باشد .

ب: جنس شیر باید فولادى طبق استاندارد ASTMA216 GRWCB و از نوع کلاس ١٥٠ یا معادل آن باشد.

پ: شیرهای تا اندازه 1-1-2 اینچ می‌تواند از نوع جوشی، فلنجی و یا دنده پیچ باشد و شیرهای نوع توپکی و سماوری از اندازه ٢ اینچ به بالا باید از نوع فلنجی یا جوشی باشد.

ت:شیرهای برنجی یا برنزی از نوع دندە پیچ تا اندازه 1-1-2 اینچ برای لوله‌‌کشی‌های روى کار در صورتیکه از نظر فشار و شرایط استفاده مناسب بوده و با استانداردهاى موسسه استاندارد و یا شرکت ملى گاز مطابقت داشته باشد، قابل قبول است.

تبصرە: شیرهای مدفون شبکه‌های گاز باید به صورت جوشى با ساقه بلند بوده ونصب حوضچه بازدید آن‌ها طبق نقشه‌های استندارد شرکت ملی گاز باشد.

١٧-١٠-١-٥ شیرهاى پلى اتیلن

شیرهای پلیانیلن که در شبکه‌های گاز نصب می‌شوند باید از نوع ربع گرد تویکى طبق استاندارد (0) 015-IGS-M-PL باشد.

١٧-١٠-١-۶ پوشش لوله و اتصالات فولادى

انواع پوشش‌‌های مورد استفاده برای عایق‌کاری لوله‌‌های مدفون باید مطابق جدول شمارہ پ-۴-٢ باشد.

١٧-١٠-١-٧ دستگاە جوش پلی اتیان

جوشکاری لولە و اتصالات پلی اتیلن باید با دستگاه جوش الکتروفیوژن مطابق با استاندارد IGS-M-PL-016(2) انجام گیرد.

١٧-١٠-١-٨ الکترود‌های جوشکارى

جوشکاری کلیه پاس‌های لوله‌هاى API-5L Grade B باید با استفاده از الکترودهاى مطابق استاندارد 6010-AWS-E ویا 871-ISIRI باشد.

تبصره: مشخصات و نمونه الکترودها قبل از مصرف باید به تائید دستگاه نظارت برسد.

انتخاب قطر الکترود در هر مورد بستگی به اندازه‌‌های پاس اول، قطر لوله و ضخامت جداره آن دارد. در این رابطه میتوان از الکترود‌های با قطر 3/32 اینچ یا 1/8 (یک هشتم) اینچ یا بر حسب مورد استفاده نمود. الکترودها تا زمان استفادە باید در جعبه‌‌‌های در بسته اصلی نگهداری شده و انبار کردن آن‌ها باید بر طبق توصیه‌‌‌های سازنده باشد. الکترودها پس از آنکه از جعبه‌‌‌های اصلی خارج شدند باید از رطوبت و صدمه به پوشش آن‌ها محافظت شوند. الکترود‌هایی که صدمه دیده اند مردود شناخته شده و باید از کارگاه خارج شوند.

١٧-١٠-١-٩ واشر لائى

واشرهائی که در فاصله بین فلنج‌های لوله‌‌کشی گاز بکار میروند باید از جنسی باشد که در برابر فشارى که سیستم لوله‌‌کشی بر مبنای آن طراحی گردیده و همچنین ترکیبات شیمیایی گازى که در سیستم لوله‌‌کشی انتقال داده می‌شود مقاوم بوده و بتواند خواص فیزیکی و شیمیایی خود را در درجه حرارت و فشار طراحی شده حفظ نماید. واشرها باید از الیاف فشرده شده نسوز ساخته شده و در صورتیکه در ساختن آن‌ها الیاف فلزى بکار رفته باشد بتوانند تادماى ٥٠٠ درجه سانتى گراد مقاومت نماید. هرگاه فلنجی باز شود هنگام بستن مجدد آن باید واشر را تعویض نمود. واشر‌های مصرفی باید با استاندارد شرکت ملی گاز به شماره 008-IGS-M-PL مطابقت داشته باشد.

١٧-١٠-١-١٠ مصالح مستعمل

مصالح لوله‌‌کشی از قبیل لوله، اتصالات و شیر‌هایی را که قبلاً از سیستم لوله‌‌کشی باز شده است، نباید در لوله‌کشى گاز مورد استفاده قرار گیرد.

١٧-١٠-١-١١ سایر مصالح

اگر در سیستم لوله‌‌کشی گاز لازم باشداز مصالحی استفاده شود که مشخصات آن‌ها در این مقررات گفته نشده است، باید این مصالح به ترتیب اولویت مطابق با استانداردهاى اقلام شبکه‌‌های گازرسانى شرکت ملى گاز(IGS)، استاندارد ملى نفت (IPS) واستاندارد ملى ایران (ISIRI) باشد. این مصالح باید به طور کامل بررسی شده و پس از نصب به طور دقیق آزمایش شود تا اطمینان حاصل کردد که براى کار مورد نظر مناسب و از نظر ایمنی مورد اطمینان می‌باشد، علاوه بر آن از طرف سازنده آن‌ها براى مصرف در سیستم لوله‌‌کشی گاز توصیه شده باشد و در هر حال قبل از استفاده از این گونه وسایل باید به تائید دستگاه نظارت رسیده باشد.

١٧-١٠-١-١٢ علامتگذاری

روی هر قطعه از لوله، اتصالات، شیرها و دیگر اجزاء لوله‌‌کشی گاز باید علامت کارخانه سازنده، استاندارد ساخت و اندازه به صورت ریخته گری، پلاک فلزی، رنگ پاک نشدنی نصب و یا نقش شده باشد.

تبصره: در مورد شیرها و فلنج‌ها رده فشار نیز باید درج گردد.

2-10-17 برآورد مصرف و طراحى سیستم لوله‌کشى گاز

١٧-١٠-٢-١ برآورد مصرف گاز

مقدار گاز لازم برای مصرف بر حسب متر مکعب در ساعت به استثناى شهرک‌های مسکونى و صنعتى را باید از ظرفیت حرارتی که سازندگان وسایل گازسوز برای آن‌ها مشخص کرده‌ اند با در نظر گرفتن ارزش حرارتی گاز طبیعی برآورد کرده و یا از مقدار مصرف قبلی سوخت دستگاه محاسبه نمود.

برآورد مصارف شهرک‌های مسکونی و صنعتی باید با استفاده از نرم افزارهاى مورد تائید شرکت ملی گاز ایران و با منظور کردن شرایط اقلیمی و ضرایب رشد و توسعه شبکه انجام شود.

تبصره ١: در صورت موجود نبودن اطلاعات مربوط به ظرفیت حرارتی دستگاه‌ها، میزان مصرف گاز باید بر اساس دفترچه محاسباتی مربوطه، برآورد شود.

تبصره ٢: قرارداد مشترک با شرکت گاز استان باید بر اساس براورد مصارف محاسبه شده، منعقد کردد.

١٧-١٠-٢-٢ طراحى سیستم لوله‌کشى گاز

براساس ضوابطى که سازمان قانونى نظارت بر لوله‌کشى گاز مشترکین عمده تعیین مى‌نماید، لازم است که طرح سیستم لوله‌‌کشی گاز به صورت نقشه (کروکی، پلان، ایزومتریک ... ) توسط طراح تهیه شود. این نقشه/ نقشه‌ها به گونه‌‌ای باید تهیه شود که در آن‌ها تمام جزئیات سیستم لوله‌کشى اعم از اقطار لوله‌ها، موقعیت، فواصل انشعاب، طول بخش‌های مختلف سیستم لوله‌کشى و میزان مصارف هریک از نقاط بیش بینى شده و شیرهاى مصرف کننده‌ها مشخص شده باشند.

نقشه‌ها باید دارای مقیاس و یا اندازه بوده جزئیات ساختمانى، کانال، حوضجه، تکیه کاه، غلاف، سیستم‌های تقلیل فشار ثانویه وکلیه اطلاعات مورد نیاز طرح در آن‌ها مشخص شده باشند.

در نقشه ایزومتریک باید محل ایستگاه تقلیل فشار و اندازه‌گیرى (محل تحویل گاز از طرف شرکت گاز ناحیه)، نام دستگاه‌‌‌های گازسوز و حداکثر مصرف بر حسب متر مکعب در ساعت درج گردد.

١٧-١٠-٢-٣ افزودن به سیستم لوله‌کشى موجود

چنانچه در نظر باشد، سیستم لوله‌‌کشی موجود توسعه یابد، باید اطمینان حاصل نمود که سیستم موجود ظرفیت کافی برای افزایش مصرف را داشته باشد. در غیر این صورت باید با تعویض لوله‌ها با لوله با قطر بیشتر و یا احداث لوله‌کشى مجزا براى مصارف جدید اقدام گردد. اخذ مجوز توسعه سیستم لوله‌کشى از شرکت گاز ناحیه الزامى است.

١٧-١٠-٢-4 نقطه تحویل گاز به مشترک

محل اتصال بین سیستم لولەکشی گاز داخلی و ایستگاه تقلیل فشار اولیه می‌باشد. در این نقطه، لوله‌کشى گاز داخلی توسط یک شیر که جهت قطع و وصل جریان گار مورد استفاده قرار می‌گیرد به ایستکاه تقلیل فشار اولیه متصل می‌شود.

١٧-١٠-٢-5 نقاط اتصال به سیستم سوخت جایگزین

واحد‌هایی که در آن‌ها برای مواقع قطع گاز شبکه شهری پیش‌بینی سوخت گاز جایگزین کردیده است، در محل اتصال که باید بعد از ایستگاه تقلیل فشار و اندازە‌گیری باشد، از شیر سه طرفه استفاده شود. در غیر این صورت لازم است شیر یک طرفه برای جلو‌گیری از جریان معکوس پیش‌بینى شود و شیرگذارى باید به گونه‌ای باشد که در هنگام بازبودن یک مسیر، جریان گاز، از مسیر دیگر مسدود گردد.

١٧-١٠-٢-۶ محل نصب ایستگاه‌‌های تقلیل فشار و یا رگولاتورها

رگولاتورها و یا تجهیزات تقلیل دهنده فشار باید طورى نصب شوند که در برابر صدمات خارجى محفوظ باشند. محل نصب رگولاتورها باید به صورت مستقیم با فضای آزاد در ارتباط باشد، در صورت عدم وجود ارتباط مستقیم با فضای آزاد، باید ونت رگولاتور توسط لوله‌کشى با قطر مناسب به فضایى متصل شود که تخلیه گاز ناشی از ونتر در آن بدون خطر باشد و باید پیشبینی‌های لازم برای جلوگیرى از ورود آب، حشرات واشیاء خارجى به داخل ونت رگولاتور به عمل آید. اتصال ونت رگولاتور به مجراى دودکش دستگاه‌‌ها به هیچ وجه مجاز نمی‌باشد. رگولاتورها باید دارای شیر قطع کن فشار بالا و فشار پایین باشند و نصب شیر قطع کن قبل وبعد از رگولاتور‌ها الزامى است.

١٧-١٠-٢-٧ ملاحظات کلى در تعیین قطر لوله‌ها

قبل از اقدام به نصب سیستم لوله‌‌کشی گاز باید قرارداد اشتراک گاز طبیعی با شرکت گاز ناحیه/ شهر/استان ذیربط منعقد گردد. سیستم لوله‌‌کشی باید به گونه‌ای طراحی و اجرا شود که حداکثر میزان گاز مصرفی دستگاه‌‌های گازسوز را بدون افت فشار خارج از میزان مجاز از نقطه ورود گار به سیستم لوله‌‌کشی تا نقاط مصرف تأمین نماید. نقطه تحویل گاز به مشترک باید از طرف شرکت گاز ناحیه مشخص شده باشد.

١٧-١٠-٢-٨ افت فشار مجاز

افت فشار طراحی شده در سیستم لوله‌‌کشی در شرایط حداکثر جریان گاز در هیچ یک از نقاط مصرف نباید از ١٠ درصد فشار اولیه تجاوز نماید.

یادآوری: منظور از نقطه مصرف برای لوازم گازسوز که مجهز به رگولاتور هستند تا شیر قبل از رگولاتور و در سایر موارد تا شیر قبل از دستگاه گازسوز می‌باشد

١٧-١٠-٢-٩ حداکثر سرعت گاز

سرعت گاز در سیستم لوله‌کشى نبایداز ٢٠ متر در ثانیه تجاوز نماید.

١٧-١٠-٢-١٠ حداکثر میزان مصرف

میزان گاز مصرفی (برحسب متر مکعب در ساعت) مجموع حداکثر مصارف دستگاه‌‌های گازسوز براساس مشخصات فنى آن‌ها که توسط سازندگان تعیین شده، مى‌باشد. میزان مصرف چنانچه توسط سازنده دستگاه گازسوز مشخص نشده باشد، بااستفاده از جدول ١٧-4-٩ وتوسط طراح مشخص مى‌شود. مصرف کل سیستم لوله‌‌کشی باید براساس کارکرد همزمان کلیه دستگاه‌‌های گازسوز پیش‌بینی شده در حداکثر ظرفیت دستگاه‌‌ها محاسبه شود.

تبصره: در مواردی که دستگاه‌‌هایی با سایر سوخت‌ها مورد استفاده قرار دارند، مصارف گاز آن‌ها باید از طریق محاسبات ارزش حرارتی سوخت‌ها و معادل یابى با گاز طبیعى تعیین شود.

١٧-١٠-٢-١١ تعیین قطر لوله‌ها

اندازه قطر لوله‌‌های سیستم لوله‌‌کشی گاز باید به یکی از روش‌‌های زیر انجام شود:

- با استفاده از جداول تعیین قطر لوله‌ها

- با استفاده از فرمول‌های محاسباتى

- با استفاده از نرم افزارهاى طراحى مورد تأیید شرکت ملى گاز

الف- برآورد قطر با استفاده از جداول

این روش فقط به منظور برآورد اولیه قطر لوله‌‌ها در شبکه‌‌‌های گاز شاخه‌ای مورد استفاده قرار می‌گیرد و طراحی تفصیلی باید با استفاده از روابط طراحی و نرم افزارهای مورد تائید انجام شود. در این جداول (بخش پیوست جداول شماره پ-4-4 الى پ-4-٨) ظرفیت‌های لوله‌‌ها براى فشار، قطر وطول‌های مختلف داده شده است. طول مورد استفاده برای محاسبات، طولانی‌ترین مسیر بوده که فاصله بین خروجى از ایستگاه تقلیل فشار تا دورترین مصرف کننده از آن می‌باشد.

ب- محاسبه اندازہ قطر لوله‌‌ها با استفاده از فرمول‌ها

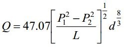
برای تعیین اندازه قطر لوله‌ها با توجه به افت فشار وحداکثر سرعت مجاز گاز، مى‌توان از فرمول‌های جریان گاز با در نظر گرفتن کلیه شرایط مربوط استفاده نمود. به عنوان نمونه فرمول زیر ارائه می‌گردد:

فرمول وایموت:

(1) فرمول وایموت

فرمول فوق برای جریان گاز در لوله‌ها با اندازه اسمی ١٢ اینچ و یا کمتر وهمچنین فشار بیش از 0/35 کیلوگرم بر سانتی‌متر مربع (۵ پوند بر اینچ مربع) بکار می‌رود.

در فرمول فوق پارامترهاى به کار رفته به شرح زیر است:

Q= مقدار جریان، مترمکعب در ساعت در شرایط استاندارد (فشار 1/033 کیلوگرم بر سانتى متر مربع و دماى 15/6 درجه سلسیوس)

T0= دماى پایه (273/2 + 15/6) کلوین

P0= فشار پایه ١/٠٣٣ کیلوگرم بر سانتى متر مربع

P1= فشار ابتداى لوله، کیلوگرم بر سانتى متر مربع مطلق

P2= فشار انتهاى لوله در نقطه مصرف، کیلوگرم بر سانتى متر مربع مطلق (P2 براساس ده درصد افت فشار اولیه منظور مى‌شود)

d = قطر داخلى، سانتى متر

G= چکالى گاز

T = دماى مطلق گاز، t +2/273

t = دمای قابل اندازه‌گیرى گاز، سلسیوس

L = طول لوله، کیلومتر

اگر در فرمول فوق G=0/65 , P0=1/033kg/cm² , T=288/8K وطول برحسب متر =L باشد، فرمول به صورت زیر خواهد بود .

(2) فرمول وایموت اصلاحی

در جداول شماره پ-4-4 الى پ-4-٨ ظرفیت‌های مختلف لوله براى فشار، قطر وطول‌های مختلف آن‌ها داده شده است. در صورتی که طول لوله‌کشی و یا قطرلوله‌‌ها بالاتر از ارقام مندرج در جداول مذکور باشد، میتوان ظرفیت‌‌های لازم را با استفاده از فرمول‌‌های (١) یا (٢) محاسبه نمود.

در صورتیکه چگالی گاز غیر از 0/65 باشد براى بدست أوردن ظرفیت لوله باید ظرفیت‌های بدست آمده از جداول فوق الذکر را در ضرائب داده شده در جدول شماره پ-۴-٣ بخش پیوست ضرب نمود.

- فرمول‌های فوق الذکر برای جداول شماره ۶ الی ٨ بخش پیوست ۴ مورد استفاده قرار می‌گیرد.

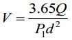
- برای محاسبه سرعت گاز در لوله و اطمینان از اینکه مقدار آن از ٢٠ متر در ثانیه تجاوز نکند، مى‌توان از فرمول زیر استفاده نمود.

(3) سرعت مجاز گاز در لوله

که در آن:

V = سرعت جریان گاز (متر در ثانیه)

Q= میزان جریان (متر مکعب استاندارد در ساعت)

P1= فشار اولیه (کیلوگرم بر سانتى متر مربع مطلق)

d= قطر داخلى لوله (سانتى متر)

پ- نرم افزارهای طراحی شبکه‌‌های لوله‌‌کشی گاز

استفاده از نرم افزارهای خاص طراحی شبکه‌‌های گازرسانى غیر آنتنى (حلقوى) مى‌بایست مورد تائید شرکت ملی گاز ایران باشد.

طراحی شبکه‌‌های گاز با استفادە از لوله‌‌های پلی اتیلن باید به صورت شاخه‌‌ای و محاسبات آن با استفاده از فرمول IGT و یا نرم افزارهای طراحی که مورد تائید شرکت ملی گاز ایران است انجام گیرد.

همه فصول

مشخصات آیین‌نامه

تعداد فصول: 22 فصل
سال انتشار: 1403
ویرایش: پنجم

جستجو در آیین‌نامه‌ها

ناشرین آیین‌نامه‌ها

مقررات ملی ساختمان

قوانین، آیین‌نامه‌ها، شیوه‌نامه‌ها، دستورالعمل‌ها و بخشنامه‌های ساختمان

نظام مهندسی ساختمان

ضوابط، بخشنامه‌ها، نشریه‌ها و معیار‌های فنی نظام مهندسی ساختمان

مرکز تحقیقات راه، مسکن و شهرسازی

قوانین، آیین‌نامه‌ها و بخشنامه‌های مرکز تحقیقات راه، مسکن و شهرسازی

سازمان برنامه و بودجه کشور

ضوابط، بخشنامه‌ها و قوانین سازمان برنامه و بودجه کشور

سازمان ملی استاندارد ایران

استانداردهای کمیته‌های مختلف سازمان ملی استاندارد ایران

سازمان تامین اجتماعی کشور

مقررات و آیین‌نامه‌های درمانی و بیمه‌ای سازمان تامین اجتماعی کشور

ضوابط فنی و اجرایی شهرداری‌ها

ضوابط، بخشنامه‌ها، نشریه‌ها و معیار‌های فنی شهرداری‌های کشور

ضوابط فنی و اجرایی وزارت بهداشت

ضوابط، بخشنامه‌ها، نشریه‌ها و معیار‌های فنی وزارت بهداشت

ضوابط فنی و اجرایی وزارت نیرو-آبفا

ضوابط، بخشنامه‌ها، نشریه‌ها و معیار‌های فنی وزارت نیرو-آبفا

ضوابط سازمان بنادر و دریانوردی

ضوابط، بخشنامه‌ها، نشریه‌ها و معیار‌های فنی سازمان بنادر و دریانوردی

ضوابط فنی و اجرایی وزارت نفت

ضوابط، بخشنامه‌ها، نشریه‌ها و معیار‌های فنی وزارت نفت

قوانین و مقررات مالیاتی کشور

قوانین، مقررات، ضوابط و دستورالعمل‌هاى مالیاتى سازمان مالیات كشور

تازه‌ترین فصل‌ها

واژه‌نامه

مبحث هفدهم مقررات ملی ساختمان (سامانه گاز طبیعی در ساختمان)

پیوست ۶ دسته‌بندی نوع دستگاه‌‌‌های گازسوز

مبحث هفدهم مقررات ملی ساختمان (سامانه گاز طبیعی در ساختمان)

پیوست 5 شکل‌ها

مبحث هفدهم مقررات ملی ساختمان (سامانه گاز طبیعی در ساختمان)

پیوست 4 جدول‌ها

مبحث هفدهم مقررات ملی ساختمان (سامانه گاز طبیعی در ساختمان)

پیوست 3 ایمنی و ضوابط بهره‌برداری و نگهداری از سیستم لوله‌‌کشی گاز

مبحث هفدهم مقررات ملی ساختمان (سامانه گاز طبیعی در ساختمان)

پیوست 2 نمونه محاسبات

مبحث هفدهم مقررات ملی ساختمان (سامانه گاز طبیعی در ساختمان)

پیوست 1 راهنمای ایمنی

مبحث هفدهم مقررات ملی ساختمان (سامانه گاز طبیعی در ساختمان)