آیین‌نامه‌ها

صفحه اصلی / آیین‌نامه‌ها / مبحث ششم مقررات ملی ساختمان (بارهای وارد بر ساختمان)
پیوست شماره 6-4 : ضوابط تکمیلی برای محاسبه اثر باد بر سازه‌ها

پیوست شماره 6-4 : ضوابط تکمیلی برای محاسبه اثر باد بر سازه‌ها

پ-6-4-1 کلیات

در این پیوست، روش دینامیکی برای تخمین نیروی باد در سازه‌های نرم، اثرات گردباده‌های جانبی و ارتعاشات موضعی، مقدار نیروی بلا روی برخی اجزاء و سازه‌های غیرساختمانی، کنترل تغییرشکل جانبی و ارتعاش ساختمان و مقادیر توصیه شده برای میرائی برخی ساختمان‌ها و عناصر سازه‌ای بیان شده است.

پ-6-4-2 روش دینامیکی برای تخمین نیروی باد در سازه‌های بلند و نرم

در مواردیکه بر اساس مفاد بند 6-10-1-4، ساختمان با سازه مورد نظر شرایط لازم برای تحلیل استاتیکی را نداشته و استفاده از روش تجربی الزامی نباشد، باید از روابط این بخش برای محاسبه نیروی باد استفاده نمود.

در روش دینامیکی، مقادیر مورد استفاده Ce و Cg در روابط 6-10 -3-الف و 6-10-3-ب، از روابط این بخش محاسبه شده و ضرایب (Cp , Cd و Cpi) همان مقادیر تعریف شده در بخش 6-10 بوده و ضریب Ct بر مینای Cg محاسبه شده از این پیوست تعیین می‌شود.

پ 6-4-2-1 ضریب اثر تغییر سرعت

مقدار ضریب Ce در نواحی باز و پرتراکم از روابط زیر محاسبه می‌شود.

ناحیه 1- نواحی باز

(پ-6-4-1) پ-6-4-1

حداقل ضریب Ce برابر 1/0 و حداکثر آن  2/5 می‌باشد.

ناحیه 2- نواحی پرتراکم

(پ-6-4-2) پ-6-4-2

حداقل ضریب ضریب Ce برابر 0/5 و حداکثر آن 2/5 می‌باشد.

Z یا ارتفاع مبنا در بند 6-10-6-1 تعریف شده است.

پ6-4-2-2 ضریب اثر تند باد Ce

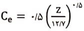
ضریب اثر تند باد مطابق با تعریف بند 6-10-8، در روش دینامیکی از رابطه پ-6-4-3 محاسبه می‌شود.

(پ-6-4-3) پ-6-4-3

در این رابطه μ متوسط اثر بارگذاری باد، σ انحراف معیار آن و gp ضریب بیشینه آماری در بارگذاری باد است که با استفاده از روابط و نمودارهای این پیوست محاسبه می‌شوند.

مقدار σ/μ از رابطه پ-6-4-4 به دست میاید:

(پ-6-4-4) پ-6-4-4

در این رابطه :

K: ضریب اصلاح ناهمواری زمین است که در نواحی باز معادل 0/08 و در نواحی پرتراکم 0/1 اختیار می‌شود.

CeH : ضریب تغییر سرعت در بالاترین نقطه ساختمان (Z=H) که از رابطه پ-6-4-1 یا پ-6-4-2 محاسبه می‌شود.

B : ضریب آشفتگی محیط ساختمان است که از دیاگرام شکل پ-6-4-1 بدست میاید.

در این شکل H ارتفاع کل ساختمان و W عرض مؤثر رو به باد ساختمان (رابطه 6-10-1-د) است.

S: ضریب کاهش اندازه است که از شکل پ-6-4-2 بدست میاید. این ضریب تابعی از نسبت W/H و فرکانس کاهش یافتۀ fnH/VH است.

fn : کوچک‌ترین فرکانس طبیعی ساختمان در امتداد اثر باد و VH سرعت باد در بالاترین نقطه ساختمان (Z=H) می‌باشد که از رابطه پ-6-4-5 و با منظور نمودن ضریب اهمیت ساختمان بدست میاید.

(پ-6-4-5) پ-6-4-5

در رابطه پ-6-4-5، V، سرعت متوسط ساعتی باد تعریف شده در بند 6-10-2، می‌باشد.

F : ضریب ” نسبت انرژی تند باد ” در فرکانس اصلی نوسان سازه است که بر حسب پارامتر fn/VH با استفاده از نمودار شکل پ-6-4-3 بدست میاید.

β: نسبت میرایی بحرانی ساختمان با سازه است که از مجموع میرایی‌های ذاتی سازه، میرایی آیرودینامیک و میرایی ناشی از میراگرهای احتمالی نصب شده در ساختمان با سازه بدست میاید.

مقدار β برای ساختمان‌ها و سازه‌های خاص بوسیله انجام آزمایش به دست می‌آید. در ساختمان‌ها و سازه‌های معمولی، می‌توان از مقادیر β در جدول پ -6-4-1 استفاده نمود.

gp ضریب بیشینه آماری بار است. این ضریب تابعی از نرخ متوسط نوسان ν (رابطه پ-6-4-6) بوده و از شکل پ-6-4-4 استخراج می‌شود.

(پ-6-4-6) پ-6-4-6

ضریب آشفتگی محیط ساختمان (B)

شکل پ-6-4-1 ضریب آشفتگی محیط ساختمان (B)

ضریب کاهش اندازه (S)

شکل پ-6-4-2 ضریب کاهش اندازه (S)

نسبت انرژی تندباد (F)

شکل پ -6-4-3 نسبت انرژی تندباد (F)

ضریب بیشینه آماری بار (gp)

شکل پ-6-4-4 ضریب بیشینه آماری بار (gp)

جدول پ-6-4-1 نسبت میرائی بحرانی سازه‌ها و اجزاء ساختمانی

نوع سازه یا ساختمان نسبت میرایی سازه
ساختمان‌های بتن مسلح 0/030
ساختمان‌های اسکلت فولادی 0/020
ساختمان‌های ترکیبی بتن و فولاد 0/025
دودکش‌ها و برجهای بتن مسلح 0/005
دودکش فولادی جوش شده بدون عایق حرارتی خارجی و بدون روکش داخلی 0/002
دودکش فولادی جوش شده با عایق حرارتی خارجی بدون دودکش داخلی 0/003
دودکش فولادی باعایق حرارتی خارجی و یک لایه روکش داخلی (الف) h/b<18 0/003
20<=h/b<24 0/006
h/b>=26 0/002
دودکش فولادی باعایق حرارتی خارجی و دو یا بیشتر از  دو لایه روکش داخلی h/b<18 0/003
20<=h/b<24 0/006
h/b>=26 0/004
دودکش فولادی با لایه آجرنسوز داخلی 0/011
دودکش فولادی با اندودپاششی سیمانی داخلی 0/005
دودکش زوجی، بدون روکش 0/002
دودکش دورگیر شده فولادی بدون روکش 0/006
برج‌های شبکه‌ای فولادی با اتصالات جوش شده 0/003
 با اتصالات پیچ مقاومت بالا 0/005
با اتصالات پیچ‌های معمولی 0/008
*- برای مقادیر h/b مابین اعداد داده شده می‌توان میانگی‌گیری کرد
پ-6-4-3 کنترل تغییرمکان جانبی

به منظور جلوگیری از آسیب دیدن اجزاء غیرسازه‌ای در ساختمان‌های بلند، حداکثر تغییرمکان جانبی نسبی ساختمان‌ها در ترکیب بارگذاری و بند 6-2-5-2، باید به 0/0020 ارتفاع هر طبقه محدود شود. در این ترکیب بار، Wser، بار باد سطح بهره‌برداری است که بر مبنای دوره بازگشت ده ساله باد در منطقه محاسبه می‌شود. برای تعیین این سرعت می‌توان از 0/80 سرعت مبنای باد (بند 6-10-2) استفاده نمود.

چنانچه اجزاء پوششی یا نما، با تغییرمکان کمتری آسیب ببینند، محدودیت این اجزاء جایگزین عدد فوق خواهد شد.

پ-6-4-4 کنترل ارتعاش ساختمان

در ساختمان‌های بلند و نرم، تحت اثر تغییرات سرعت باد، ارتعاش ساختمان توسط ساکنان آن حس می‌شود. آستانه این احساس در ساختمان‌های مسکونی با ساختمان‌های اداری تفاوت دارد.

ارتعاش ساختمان الزاماً در همان جهت تأثیر باد اتفاق نمی‌افتد و ممکن است ساختمان در راستایی عمود بر راستای تأثیر باد ارتعاش کند.

برای ساختمان‌های با کاربری مسکونی مقدار شتاب قابل حس توسط افراد 0/005 شتاب ثقل و در ساختمان‌های با کاربری اداری 0/015 شتاب ثقل می‌باشد.

باد مورد نظر در این مطالعات، بارباد سطح بهره‌برداری (Wser) است که بر مبنای دوره بازگشت ده ساله باد در منطقه محاسبه می‌شود. برای تعیین این سرعت می‌توان از 0/80  سرعت مبنای باد (بند 6-10-2) استفاده نمود.

چنانچه بین طول و عرض مفید ساختمان رابطه رابطه کنترل ارتعاش ساختمان برقرار باشد، احتمال ارتعاش جانبی از ارتعاش در جهت باد بیشتر است.

در این رابطه، H ارتفاع ساختمان (از تراز زمین)، 4 طول مؤثر ساختمان (در جهت باد) و w عرض مؤثر ساختمان (عمود بر جریان باد) است. طول و عرض مؤثر متناسب از رابطه 6-10-1 محاسبه می‌شود.

شتاب حاصل از تغییرات سرعت باد در جهت عرضی ساختمان (عمود بر جهت وزش باد ) از رابطه تقریبی (پ-6-4-7) به دست میاید.

(پ-6-4-7) پ-6-4-7

برای محاسبه شتاب حاصل از تغییرات سرعت باد در جهت طولی ساختمان (هم جهت با وزش باد) باید از رابطه زیر استفاده نمود.

(پ-6-4-8) پ-6-4-8

در روابط فوق :

w: عرض مؤثر ساختمان (جهت عمود بر وزش بادd: طول مؤثر ساختمان (جهت وزش باد)

aw : حداکثر شتاب محتمل ایجاد شده در جهت عرض ساختمان (عمود بر جهت وزش باد)

ad : حداکثر شتاب مشتمل ایجاد شده در جهت طول ساختمان (هم جهت با باد)

ar : ar برحسب (N/m3)

ρB: متوسط جرم مخصوص ساختمان (Kg/m3)

βw: نسبت میرایی بحرانی در جهت عرض ساختمان

βd : نسبت میرایی بحرانی در جهت طول ساختمان

fnw : فرکانس‌های اصلی ساختمان در جهت عرض (هرتز)

fnd : فرکانس‌های اصلی ساختمان در جهت طول (هرتز)

Δ: حداکثر تغییرمکان بالاترین نقطه ساختمان در جهت وزش باد تحت اثر بارباد سطح بهره‌برداری به متر

g: شتاب ثقل  9/81m/s2

متغیرهای Ceh, F, S, K, gp و Cg و VH در بندهای قبل تعریف شده است.

شتاب‌های محاسبه شده از روابط فوق نباید از 1٪ شتاب ثقل در ساختمان‌های مسکونی و 3٪ شتاب ثقل در ساختمان‌های اداری تجاوز کند.

پ-6-4-5 جداشدن گردباده (vortex shedding)

پدیده جداشدن گردباده‌ها معمولاً در سازه‌های استوانه‌ای لاغر (دودکش‌ها – برج‌ها) و برخی ساختمان‌های بلند با بدنه صاف و در جریان‌های آرام (عدد رینولدز پایین) اتفاق می‌افتد.

در این پدیده، سازه به دلیل جداشدن گردباده‌های متناوب در جهت عمود بر جریان باد نوسان نموده و چنانچه فرکانس جداشدن گردباده مساوی فرکانس طبیعی سازه و یا جزئی از اجزاء سازه در جهت عمود بر جریان باد شود، پدیده تشدید و ایجاد خستگی در اعضاء سازه اتفاق خواهد افتاد.

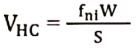
سرعت بحرانی باد برای ایجاد جداشدن گردباده از رابطه (پ-6-4-9) به دست می‌آید.

(پ-6-4-9) پ-6-4-9

در این رابطه W عرض مؤثر سازه یا ساختمان در جهت وزش باد و در ارتفاع مورد نظر (از رابطه 6-10-1-د)، fni فرکانس طبیعی سازه در مد موردنظر، در جهت عمود بر جریان باد و S، عدد استروهال است.

مقدار S برای سازه‌های با پلان دایره (دودکش‌ها – برج‌ها – ساختمان‌های مدور ) حدود 0/18 است. برای پالانهای مربع مستطیل، میزان S متناسب با نسبت طول و عرض پلان است و می‌توان آنرا حدود 0/13 اختیار نمود.

چنانچه سرعت بحرانی باداز 1/25  برابر سرعت متوسط سانتی باد در ارتفاع مورد نظر ساختمان تجاوز نماید (VHC>1/25Vm)، اثرات جداشدن گردباده قابل صرفنظر کردن است. (Vm=VCe)

پ-6-4-6 سایر پدیده‌های ارتعاشی

با توجه به شکل و مشخصات دینامیکی اجزاء سازه‌ای در معرض باد و اثرات سرعت متناوب باد در ارتفاع و در زمان، پدیده‌هایی از قبیل رقصانی (galloping) درکابل‌های برق و تیغه نبشی‌ها و پروفیل‌های I، بال بال زدن (fluttering) و واگرایی (divergence) درقطعات باریک، نازک و معلق در هوا (پل‌های معلق، تابلوهای سلامت، تیغه‌های طره افقی) و در کابلهای برق مشاهده می‌شوند. با استفاده از منابع فنی معتبر و با انجام آزمایش در تونل باد می‌توان اثرات این پدیده‌ها را روی اجزاء گفته شده تعیین کرد.

پ-6-4-7 نیروی باد روی سازه‌ها و اجزاء سازه‌ای خاص

برای برخی ساختمان‌ها و اجزاء سازه‌ای به شرح زیر، نیروها با فشارهای خارجی و داخلی وارد بر آنها، طبق شکل‌های (پ-6-4-5)  تا (پ-6-4-15) این پیوست داده شده است. برای محاسبه این نیروها، ضریب Ce از روابط پ-6-4-1 یا  پ-6-4-2 این پیوست یا روابط 6-10-5 یا 6-10-6 بند 6-10-4 این مبحث و ضریب Cg از رابطه پ-6-4-3 این پیوست یا بند 6-10-8-1 این مبحث به دست میاید.

الف- دیوارها – صفحات خودایستا و تابلوهای اعلانات (شکل پ-6-4-5)

ب- ساختمان‌ها و مخازن کروی (شکل پ-6-4-6)

پ- دودکش‌ها – تانک‌ها و ساختمان‌های استوانه‌ای (شکل پ-6-4-7)

ت- لوله‌ها – کابل‌ها (شکل پ-6-4-8)

ث- اعضاء سازه‌ای تکی یا ترکیبی (شکل پ-6-4-9)

ج- خرپاهای صفحه‌ای ساخته شده با مقاطع تیزگوشه (شکل پ-6-4-10)

چ- تأثیر سطوح مانع بر فشار وارد بر ساختمان (شکل پ-6-4-11)

ح- پلهای خرپایی و تیر ورقی (شکل پ-6-4-12)

خ- خرپاهای سه بعدی و پایه‌های انتقال نیرو (فضاکار) (شکل پ-6-4-13)

د- سایبان‌های شیبدار (شکل پ-6-4-14 و پ-6-4-15)

دیوارها – صفحات خود ایستا و تابلو اعلانات

ضریب نیروی Cf برای دیوار و تابلو روی سطح زمین

1 10 ∞ → 10 (تکیه گاه انتهایی) l/h
1/15 1/3 2/0 Cf

ضریب نیروی Cf برای دیوار و تابلو روی سطح زمین

1 10 ∞ → 10 (تکیه گاه انتهایی) l/h
1/1 1/2 1/3 Cf

ترکیب نیروی عمودی و نیروی مماسی روی دیوارها و تابلوها

ضریب نیروی مماسی Ct ضریب نیروی عمودی Cn حالت
0/2 1/0 1
0/3 0/6 2

Fn = CfCnqCgCehlw مقدار نیروی عمودی (برواحدطول)

Ft = CfCtqCgCehlw مقدار نیروی مماس (برواحدطول)

شکل پ-6-4-5 دیوارها – صفحات خود ایستا و تابلو اعلانات

مقدار نیرو و فشار وارد بر مخازن کروی و کره‌ها

کل نیروی وارد بر مخزن کروی  F = Iw.Cf.q.Cg.Ce.A
Cf ضریب نیرو بوده و معادل 0/2 است.       A
در صورت نیاز به محاسبه مقادیر فشار داخلی و خارجی وارد بر جداره مخزن از روابط زیر استفاده می‌شود.
فشار داخلی مخزن : Pi

و فشار خارجی : Pe : Pe = Cp.q.Cg.Ce

فشار وارد بر جدار  ΔP = Pi-Pe

Cp: ضریب فشار خارجی

180° 165° 150° 135° 120° 105° 90° 75° 60° 45° 30° 15°
0/4+ 0/3+ 0/1+ 0/2- 0/6- 1/0- 1/2- 1/1- 0/7- 0/1- 0/5+ 0/9+ 1/0+ CP

یادداشت 1: ضرایب و روابط فوق برای زبری کم سطح کره و نسبت زبری کم سطح کره می‌باشند.

یادداشت 2: ضریب Cp برای زوایای مختلف نقطه روی جداره نسبت به جهت وزش باد می‌باشند.

شکل پ6-4-6 مقدار نیرو و فشار وارد بر مخازن کروی و کره‌ها

دودکش‌ها – تانک‌ها و ساختمان‌های استوانه‌ای

کل نیروی وارد بر سازه F = Iw.Cf.q.Cg.Ce. A

سطح بادخور: A=d.h

Cf : ضریب نیرو

h/dلاغری= 1 7 25
شکل مقطع و زبری جداره Cf Cf Cf
زبری کم (فلز-چوب-بتن) j1 0/5 0/6 0/7
زبری متوسط (تیغه به ارتفاع 2% d) j2 0/7 0/8 0/9
زبری زیاد(تیغه به ارتفاع 8% d) j3 0/8 1/0 1/2
دودکش شش یا هشت ضلعی (لبه تیز) j4 1/0 1/2 1/4

در صورت نیاز به محاسبه مقادیر فشار داخلی و خارجی وارد بر جداره از روابط زیر استفاده می‌شود:

فشار خارجی Pe = Cp.q.Cg.Ce

فشار داخلی Pi = Cpi.q.Cg.Ce

(ضریب فشار داخلی در دودکشهای خاموش Cpi=-0/8  و در دودکش‌های حین کار Cpi=+0/1 می‌باشد)

فشار وارد بر جداره  ΔP=pi-pe

Cp : ضریب فشار خارجی

180° 165° 150° 135° 120° 105° 90° 75° 60° 45° 30° 15° h/d
0/6- 0/6- 0/6- 0/7- 0/9- 1/9- 2/6- 2/5- 1/9- 0/9- 0/1+ 0/8+ 1/0+ CP 25
0/5- 0/5- 0/5- 0/6- 0/8- 1/7- 2/2- 1/6- 1/7- 0/8- 0/1+ 0/8+ 1/0+ CP 7
0/4- 0/4- 0/4- 0/5- 0/7- 1/2- 1/7- 1/6- 1/2- 0/7- 0/1+ 0/8+ 1/0+ CP 1

یادداشت 1: ضرایب و روابط فوق برای زبری کم سطح دودکش و نسبت زبری کم سطح دودکش ارائه شده‌اند.

یادداشت 2: ضریب Cp برای زوایای مختلف نقطه روی جداره نسبت به جهت وزش باد ارائه شده است.

شکل پ6-4-7 دودکش‌ها – تانک‌ها و ساختمان‌های استوانه‌ای

مشخصات عضو (نسبت طول به قطر عضو بیش از 100 می‌باشد) فشار
0/167≤ 0/167>
لوله، میلگرد یا کابل صاف jd1 0/5 1/2
لوله، میلگرد یا کابل نازک با زبری متوسط jd2 0/7 1/2
دسته کابل نازک jd3 0/9 1/2
دسته کابل ضخیم jd4 1/1 1/3

ضریب نیرو : Cf

سطح بادگیر              A=d×l

کل نیروی وارد بر عضو               F=Cf.q.Cg.Ce.A.lw

شکل پ -6-4-8 فشار روی لوله‌ها- کابل‌ها

نیروی عمود بر عضو  Fn=K.Cn∞.q.Cg.Ce.A.lW

نیروی مماس بر عضو Ft=K.Ct∞.q.Cg.Ce.A.lW

اعضاء سازه‌ای تکی یا ترکیبی

ضریب کاهش نیرو K برای اعضا با طول محدود

  100 50 35 20 10 5 L/hα
1/0 0/95 0/90 0/85 0/75 0/65 0/60 K

ضریب کاهش نیرو

توضیح 1 – L طول عضو و A، سطح بادگیر (h.L) و hα عرض بادگیر عضو در جهت عمود بر باد است.

توضیح 2 – ∞Cn و Ct ضریب فشار برای اعضا با طول بسیار زیاد است. (L/h>100)

شکل پ-6-4-9 اعضاء سازه‌ای تکی یا ترکیبی

خرپاهای صفحه‌ای ساخته شده با پروفیل‌های تیز گوش

کل نیروی وارد بر خرپا : Fn=K.Cn∞.q.Cg.Ce.As.lW

کل مساحت بادگیر خرپا=  As

سطح اسمی نمای خرپا A = ht ×L

ضریب بادگیر خرپا=  As/A

(برای خرپایی با طول بسیار زیاد) ضریب نیرو : ∞Cn

1/0 0/95 0/8 تا 0/3 0/2 0/15 0/1 0 As/A
2/0 1/8 1/6 1/7 1/8 1/9 2/0 ∞Cn

ضریب کاهش فشار برای خرپاهای با طول محدود : K

1/0 0/95 0/9 0/5 0/25 As/A
L/ht
0/60 0/77 0/87 0/91 0/56 5
0/75 0/89 0/94 0/97 0/98 20
0/90 0/95 0/97 0/98 0/99 50
1/0 1/0 1/0 1/0 1/0

شکل پ6-4-10 خرپاهای صفحه‌ای ساخته شده با پروفیل‌های تیز گوش

تاثیر سطوح مانع فشار ساختمان

ضریب کاهش نیرو بر سطح محافظت شده: Kx

1/0 0/8 0/6 0/5 0/4 0/3 0/2 0/1 As/A
x/h
0 0 0 0/19 0/38 0/56 0/75 0/93 0/5
0/15 0/15 0/15 0/32 0/48 0/65 0/81 0/99 1
0/30 0/30 0/30 0/44 0/59 0/73 0/87 1/00 2
0/40 0/40 0/40 0/52 0/65 0/78 0/90 1/00 4
0/50 0/50 0/50 0/61 0/72 0/83 0/93 1/00 6

شکل-پ-6-4-11 تاثیر سطوح مانع فشار ساختمان

پل‌های خرپایی و تیر ورقی (بجز پل راه و راه آهن)

نیروی وارد بر سطح رو به باد       FI=KCn∞.q.Cg.Ce.As.lW

نیروی وارد بر سطح مقابل    FII=KCn∞.kxq.Cg.Ce.As.lW

نیروی مماسی روی سطح عرشه    Fh=1.0.q.Cg.Ce.LB.lW

نیروی عمودی وارد بر سطح عرشه    Fvert=0.6.q.Cg.Ce.b.LB.lW

طول پل =  LB

مقادیر K, Cn∞, As, Kx از اشکال پ-6-4-10 و پ-6-4-11 به دست می‌آیند.

شکل پ -6-4-12 پل‌های خرپایی و تیر ورقی (بجز پل راه و راه آهن)

خرپاهای سه بعدی

ضریب فشار جزئی: Cp,net

نیرو روی اعضاء سمت باد Fm1= K.C∞β.q.Cg.Ce.Amcosβ.Iw

نیرو روی اعضا سمت مقابل (پوشانده شده با اعضاء سمت باد) Fm2= K.C∞β.kx.q.Cg.Ce.Amcosβ.Iw

سطح بادگیر =  h.L  یا Am=d.L

ضریب بادگیری کل خرپا=  As/A≤0.3

کل سطح بادگیر خرپا =  As

پهنای عضو بادگیر =   h یا d طول عضو= L

زاویه وزش باد با امتداد عمود بر محور عضو =  β

ضریب تابع نسبت‌های x/b و Kx=As/A

کل نیروی وارد بر سازه Fm=Fm1+Fm2

ضریب C∞β برای اعضاء تیز گوشه از روابط C∞β محاسبه می‌شود.

ضرایب , Kβ, K, kx (1) و C∞β

لوله‌ها با سطوح نسبتاً صاف
j01

لوله با سطوح زبرا با سطوح نسبتاً صاف
j02

پروفیل‌های تیز گوشه β
Kx K C∞β Kx K C∞β Kx K  Kβ
0/95 0/9 برای L/d=25 0/60 (3) (2) 1/20 (3)

 

(2) 1/00
0/58 1/16 0/98 15°
0/53 1/04 0/93 30°
0/42 0/85 0/88 45°
0/28 0/60 0/80 60°

1) برای Ct∞-Cn∞ به شکل پ 6-4-9 مراجعه شود

2) برای K به شکل 6-4-9 مراجعه شود

3) برای kx به شکل پ-6-4-11 مراجعه شود

شکل پ-6-4-13 خرپاهای سه بعدی

سایه‌بان‌های یک شیب

F = IW.q.Ce.Ct.Cg.Cf.Cd.Ar کل نیروی وارد بر سازه اصلی
P = IW.q.Ce.Ct.Cg.Cp,net.Cd فشار و مکش وارد بر اجزاء پوشش

ناحیه C ناحیه B ناحیه A Cf Φ (3) (2)بارگذاری α
1/1+ 1/8+ 0/5+ 0/2+ Φ I
1/4- 1.3- 0/6- 0/5- Φ=0 II
2/2- 1/8- 1/5- 1/3- Φ=1
1/3+ 2/1+ 0/8+ 0/4+ Φ I
1/8- 1/7- 1/1- 0/7- Φ=0 II
2/5- 2/2- 1/6- 1/4- Φ=1
1/6+ 2/4+ 1/2+ 0/5+ Φ I 10°
2/1- 2/0- 1/5- 0/9- Φ=0 II
2/7- 2/6- 2/1- 1/4- Φ=1
1/8+ 2/7+ 1/4+ 0/7+ Φ I 15°
2/5- 2/4- 1/8- 1/1- Φ=0 II
3/0- 2/9- 1/6- 1/4- Φ=1
2/1+ 2/9+ 1/7+ 0/8+ Φ I 20°
2/9- 2/8- 2/2- 1/3- Φ=0 II
3/0- 2/9- 1/6- 1/4- Φ=1
2/3+ 3/1+ 2/0+ 0/1+ Φ I 25°
3/2- 3/2- 2/6- 1/6- Φ=0 II
2/8- 2/5- 1/5- 1/4- Φ=1
2/4+ 3/2+ 2/2+ 1/2+ Φ I 30°
3/6- 3/8- 3/0- 1/8- Φ=0 II
2/7- 2/2- 1/5- 1/4- Φ=1

1- در صورتیکه جهت باد از سمت ارتفاع کمتر سایه‌بان اثر کند، نقطه اثر نیروی باد (F) به فاصله 4/d از انتهای پایین شیب انتقال می‌یابد.2- سازه باربر اصلی و اجزاء پوشش باید برای هر یک از حالات جداگانه I و II بارگذاری و طراحی شوند.

3- Φ ضریب انسداد مسیر باد در فضای زیر سرپوشیده می‌باشد. در صورت عدم وجود مانع Φ=0 و چنانچه موانع به طور کامل مسیر باد را مسدود کنند Φ=1 خواهد بود.

شکل پ 6-10-14 سایه‌بان‌های یک شیب

سایه‌بان‌های دو شیبه

F = IW.q.Ce.Ct.Cg.Cf.Cd.Ar کل نیروی وارد بر سازه اصلی

P = IW.q.Ce.Ct.Cg.Cp,net.Cd فشار و مکش وارد بر اجزاء پوشش

ناحیه D ناحیه C ناحیه B ناحیه A Cf Φ (3) (2)بارگذاری α
1/7+ 0/6+ 1/6+ 0/8+ 0/7+ Φ I 20°-
0/6- 1/6- 1/3- 0.9- 0/7- Φ=0 II
0/6- 2/4- 2/4- 1/5- 1/3- Φ=1
1/4+ 0/7+ 1/5+ 0/6+ 0/5+ Φ I 15°-
0/6- 1/6- 1/3- 0/8- 0/6- Φ=0 II
0/6- 2/6- 2/7- 1/6- 1/4- Φ=1
1/1+ 0/8+ 1/4+ 0/6+ 0/4+ Φ I 10°-
0/6- 1/5- 1/3- 0/8- 0/6- Φ=0 II
0/6- 2/6- 2/7- 1/6- 1/4- Φ=1
0/8+ 0/8+ 1/5+ 0/5+ 0/3+ Φ I 5°-
0/6- 1/6- 1/3- 0/7- 0/5- Φ=0 II
0/6- 2/4- 2/4- 1/5- 1/3- Φ=1
0/4+ 1/3+ 1/8+ 0/6+ 0/3+ Φ I 5°+
1/1- 1/4- 1/4- 0/6- 0/6- Φ=0 II
1/5- 1/8- 2/0- 1/3- 1/3- Φ=1
0/4+ 1/4+ 1/8+ 0/7+ 0/4+ Φ I 10°+
1/4- 1/4- 1/5- 0/7- 0/7- Φ=0 II
1/8- 1/8- 2/0- 1/3- 1/3- Φ=1
0/4+ 1/4+ 1/9+ 0/9+ 0/4+ Φ I 15°
1/8- 1/4- 1/7- 0/9- 0/8- Φ=0 II
2/1- 1/6- 2/2- 1/3- 1/3- Φ=1
0/4+ 1/5+ 1/9+ 1/1+ 0/6+ Φ I 20°+
2/0- 1/4- 1/8- 1/2- 0/9- Φ=0 II
2/1- 1/6- 2/2- 1/4- 1/3- Φ=1
0/5+ 1/6+ 1.9+ 1/2+ 0/7+ Φ I 25°+
2/0- 1/4- 1/9- 1/4- 1/0- Φ=0 II
2/0- 1/5- 2/0- 1/4- 1/3- Φ=1
0/7+ 1/6+ 1/9+ 1/3+ 0/9+ Φ I 30°+
2/0- 1/4- 1/9- 1/4- 1/0- Φ=0 II
2/0- 1/4- 1/8- 1/4- 1/3- Φ=1

1- سازه سایه‌بان‌های دوطرفه باید برای دو حالت الف- تأثیر نیروی F روی هر دو باله‌ی سایه‌بان و ب- تأثیر نیروی F فقط روی یک باله سایه‌بان کنترل شود.

2- سازه باربر اصلی و اجزاء پوشش باید برای هر یک از حالات جداگانه I و II بارگذاری و طراحی شوند.

3- Φ ضریب انسداد مسیر باد در فضای زیر سر سایه‌بان می‌باشد. در صورت عدم وجود مانع Φ=0 و چنانچه موانع به طور کامل مسیر باد را مسدود کنند Φ=1 خواهد بود.

شکل پ 6-10-15 سایه‌بان‌های دو شیبه

مشخصات آیین‌نامه

تعداد فصول: 16 فصل
سال انتشار: 1398
ویرایش: چهارم

جستجو در آیین‌نامه‌ها

ناشرین آیین‌نامه‌ها

مقررات ملی ساختمان

قوانین، آیین‌نامه‌ها، شیوه‌نامه‌ها، دستورالعمل‌ها و بخشنامه‌های ساختمان

نظام مهندسی ساختمان

ضوابط، بخشنامه‌ها، نشریه‌ها و معیار‌های فنی نظام مهندسی ساختمان

مرکز تحقیقات راه، مسکن و شهرسازی

قوانین، آیین‌نامه‌ها و بخشنامه‌های مرکز تحقیقات راه، مسکن و شهرسازی

سازمان برنامه و بودجه کشور

ضوابط، بخشنامه‌ها و قوانین سازمان برنامه و بودجه کشور

سازمان ملی استاندارد ایران

استانداردهای کمیته‌های مختلف سازمان ملی استاندارد ایران

سازمان تامین اجتماعی کشور

مقررات و آیین‌نامه‌های درمانی و بیمه‌ای سازمان تامین اجتماعی کشور

ضوابط فنی و اجرایی شهرداری‌ها

ضوابط، بخشنامه‌ها، نشریه‌ها و معیار‌های فنی شهرداری‌های کشور

ضوابط فنی و اجرایی وزارت بهداشت

ضوابط، بخشنامه‌ها، نشریه‌ها و معیار‌های فنی وزارت بهداشت

ضوابط فنی و اجرایی وزارت نیرو-آبفا

ضوابط، بخشنامه‌ها، نشریه‌ها و معیار‌های فنی وزارت نیرو-آبفا

ضوابط سازمان بنادر و دریانوردی

ضوابط، بخشنامه‌ها، نشریه‌ها و معیار‌های فنی سازمان بنادر و دریانوردی

ضوابط فنی و اجرایی وزارت نفت

ضوابط، بخشنامه‌ها، نشریه‌ها و معیار‌های فنی وزارت نفت

قوانین و مقررات مالیاتی کشور

قوانین، مقررات، ضوابط و دستورالعمل‌هاى مالیاتى سازمان مالیات كشور

تازه‌ترین فصل‌ها

واژه‌نامه

مبحث هفدهم مقررات ملی ساختمان (سامانه گاز طبیعی در ساختمان)

پیوست ۶ دسته‌بندی نوع دستگاه‌‌‌های گازسوز

مبحث هفدهم مقررات ملی ساختمان (سامانه گاز طبیعی در ساختمان)

پیوست 5 شکل‌ها

مبحث هفدهم مقررات ملی ساختمان (سامانه گاز طبیعی در ساختمان)

پیوست 4 جدول‌ها

مبحث هفدهم مقررات ملی ساختمان (سامانه گاز طبیعی در ساختمان)

پیوست 3 ایمنی و ضوابط بهره‌برداری و نگهداری از سیستم لوله‌‌کشی گاز

مبحث هفدهم مقررات ملی ساختمان (سامانه گاز طبیعی در ساختمان)

پیوست 2 نمونه محاسبات

مبحث هفدهم مقررات ملی ساختمان (سامانه گاز طبیعی در ساختمان)

پیوست 1 راهنمای ایمنی

مبحث هفدهم مقررات ملی ساختمان (سامانه گاز طبیعی در ساختمان)