آیین‌نامه‌ها

صفحه اصلی / آیین‌نامه‌ها / مبحث ششم مقررات ملی ساختمان (بارهای وارد بر ساختمان)
10-6 بار باد

10-6 بار باد

1-10-6 کلیات

1-1-10-6 سیستم اصلی باربر ساختمان‌ها و سازه‌ها و کلیه اجزاء و پوشش‌های آنها باید برای اثر ناشی از باد، براساس ضوابط این فصل طراحی و ساخته شوند. این اثر باید با توجه به حداکثر سرعت باد در منطقه، ارتفاع و شکل هندسی ساختمان‌ها و زبری محیط اطراف و میزان حفاظتی که موانع مجاور برای آنها در مقابل باد ایجاد می‌کنند، محاسبه شوند.

2-1-10-6 برای تعیین اثر ناشی از باد باید فرض شود که باد به صورت افقی و در هر یک از امتدادها، به ساختمان اثر می‌نماید. در طراحی کافی است اثر باد در دو امتداد عمود بر هم، ترجیحاً در امتداد محورهای اصلی ساختمان، و به طور غیر هم زمان بررسی شوند. این بار باید در هر امتداد در هر یک از دو جهت مخالف به ساختمان اعمال شود. در موارد خاصی که در این فصل ذکر شده است، اثر باد باید در امتداد مشخص شده در بند 6-10-13 (بارگذاری بخشی) نیز بررسی گردد. اثرات ناشی از احتمال عدم هم‌راستایی ساختمان با جهت حداکثر باد غالب در محل، به عنوان ضریب هم‌راستایی باد در بند 6-10-12 تعریف شده است.

3-1-10-6 در طراحی اعضای سازه، اثر ناشی از بار باد با بار زلزله جمع نمی‌شود. کلیه اعضای سازه باید برای اثر هر یک از این دو بارگذاری، هماهنگ با ضوابط مربوطه طراحی شوند.

4-1-10-6 سه روش استاتیکی، تاثیرات دینامیکی باد و تجربی برای تعیین بارهای باد قابل استفاده است. ضوابط محاسبه بارباد وارد بر ساختمان‌ها و سازه‌های غیرساختمانی به روش استاتیکی دربندهای 6-10-4 الی 6-10-15 این فصل تشریح شده است. در ساختمان‌های بلند که ارتفاع آنها بیشتر از 60 متر یا 4 برابر عرض مؤثر آنها بوده، و در سازه ساختمان‌های نرم که زمان تناوب ارتعاشات طبیعی آن بزرگتر از 1/5 ثانیه باشد، و در سازه‌های غیرساختمانی نرم نظیر دودکش‌ها، مخازن و دکل‌ها که زمان تناوب ارتعاشات طبیعی آن‌ها بزرگ‌تر از 1/0 ثانیه است، محاسبه بار باد به روش استاتیکی کافی نیست. برای محاسبه بار باد در این ساختمان‌ها و سازه‌ها باید یکی از دو روش زیر را به کار گرفت:

الف) روش تاثیرات دینامیکی بار باد، نظیر آنچه در پیوست پ-6-4 ارائه شده است.

ب) روش تجربی و استفاده از تونل باد، مطابق روش‌های معتبر بین‌المللی.

در مورد سازه‌هائی با زمان تناوب بیش از 4 ثانیه و ارتفاع بیش از 6 برابر عرض مؤثر ساختمان، استفاده از روش تجربی مثل تونل باد الزامی است.

بزرگ‌ترین زمان تناوب اصلی ساختمان یا سازه را در امتداد مورد نظر می‌توان از هریک از روش‌های تحلیلی یا برای ساختمان‌های با ارتفاع کمتر از 120 متر از روابط تجربی زیر محاسبه کرد.

(1-10-6-الف) قاب خمشی فولادی 6-10-1-الف
(1-10-6-ب) قاب خمشی بتنی 6-10-1-ب
(1-10-6-ج) ساختمان‌های با سایر سیستم‌های باربر جانبی 6-10-1-پ

در طراحی سازه‌ها به روش‌های تاثیرات دینامیکی یا تجربی، کل بار باد محاسبه شده در هیچ حالت نباید کمتر از 80% بار باد براساس روش استاتیکی درنظر گرفته شود.

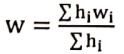
عرض مؤثر ساختمان از رابطه 6-10-1 بدست می‌آید که در آن hi ارتفاع طبقه i از سطح زمین و Wi حداقل عرض ساختمان در جهت عمود بر باد در طبقه i است.

(1-10-6-د) 6-10-1-د

در شکل 6-10-14 نمودار مرحله‌ای محاسبه بار باد نشان داده شده است.

2-10-6 سرعت مبنای باد

سرعت مبنای باد، V، سرعت متوسط ساعت باد در ارتفاع 10 متر از سطح زمین در منطقه‌ای مسطح و بدون مانع است که بر اساس آمار موجود در منطقه، احتمال فراگذشت از آن در سال کمتر از 2٪ (دوره بازگشت 50 ساله) باشد.

سرعت مبنای باد برای مناطق مختلف کشور در جدول شماره 6-10-1 بر حسب کیلومتر بر ساعت ارائه شده است. برای مناطقی که نام آنها در جدول نیامده است، سرعت مبنای باد باید برابر با مقدار آن برای نزدیکترین ایستگاهی که نام آن در جدول آمده است، اختیار گردد.

برای ساختمان‌هایی که بنا به اهمیت یا شکل خاص آنها و شرایط توپوگرافی منطقه، نیاز به تأمین اطمینان بیشتر برای طراحی در برابر بار باد باشد، سرعت مبنای باد باید براساس مطالعات آماری و برای دوره بازگشت مساوی یا بیش از پنجاه سال تعیین گردد. این سرعت، به هر حال، نباید کمتر از 80 کیلومتر در ساعت اختیار شود.

3-10-6 فشار مبنای باد

فشار مبنای باد، فشاری است که باد با سرعتی برابر با سرعت مبنای باد بر سطحی عمود بر جهت وزش باد وارد می‌کند. مقدار این فشار با استفاده از رابطه زیر محاسبه می‌شود.

(2-10-6) q=0/000613V2

در این رابطه V سرعت مبنای باد، به متر بر ثانیه، و q فشار مبنای باد، به کیلو نیوتن بر متر مربع است.

در جدول 6-10-1 فشار مبنای باد برای سرعت‌های متناظر داده شده است.

4-10-6 فشار باد بر ساختمان‌ها و سایر سازه‌ها
1-4-10-6 فشار یا مکش خارجی

فشار یا مکش خارجی تحت اثر باد روی سیستم اصلی باربر یا روی جزئی از سطح خارجی ساختمان از رابطه (6-10-3-الف) بدست می‌آید.

(3-10-6-الف) P=IwqCeCtCgCpCd

در این رابطه:

P: فشار یا مکش خارجی استاتیکی در جهت عمود بر سطح است که در حالت فشار به سمت روبه سطح و در حالت مکش به سمت خارج از سطح عمل می‌کند.

Iw: ضریب اهمیت بار باد، طبق جدول (6-1-2)

q: فشار مبنای باد بر اساس بند 6-10-3 و رابطه 6-10-2

Ce: ضریب اثر تغییر سرعت طبق بند 6-10-6

Ct: ضریب پستی و بلندی زمین طبق بند 6-10-7

Cg: ضریب اثر تند باد طبق بند 6-10-8 یا 6-10-9

Cp: ضریب فشار طبق بند 6-10-8 یا 6-10-9

Cd: ضریب هم راستایی باد طبق بند 6-10-12

2-4-10-6 فشار یا مکش داخلی

فشار یا مکش داخلی ساختمان تحت اثر باد از رابطه (6-10-3-ب) بدست می‌آید.

(3-10-6-ب)

Pi=IwqCeCtCgiCpiCd

در این رابطه:

Pi: فشار یا مکش داخلی استاتیکی در جهت عمود بر سطح است که در حالت فشار به سمت روبه سطح و در حالت مکش به سمت خارج از سطح عمل می‌کند.

Cgi: ضریب اثر تند باد طبق بند 6-10-8

Cpi: ضریب اثر بازشو طبق بند 6-10-11

5-10-6 نیروی باد

بار خالص باد، برای کل ساختمان یا اجزاء پوششی ساختمان (اجزاء نما – پوشش بام) از جمع جبری حاصلضرب فشارها یا مکش‌های داخلی و خارجی وارد بر سطوح ساختمان (یا اجزاء) در مساحت سطوح ساختمان (یا اجزاء) به دست می‌آید.

(4-10-6) 6-10-4
6-10-6  ضریب اثر تغییر سرعت Ce

ضریب Ce ضریبی است که اثر تغییرات سرعت در ارتفاع ساختمان را، متناسب با تراکم ساختمان‌های اطراف، زبری محیط و میزان حفاظت موانع مجاور روی ساختمان، نشان می‌دهد.

1-6-10-6 ارتفاع مبنا

ارتفاع مبنا که در محاسبات ضریب Ce به کار می‌رود، به شرح زیر تعریف می‌شود:

الف– برای ساختمان‌های منطبق بر بند 6-10-8 این بخش یا پیوست 6-4، مقدار ارتفاع مبنا در سمت رو به بادبرابر ارتفاع نقطه موردنظر از سطح زمین (Z)، برای سمت پشت باد نصف ارتفاع کل ساختمان (2/z=H) و برای بام و بدنه‌های جانبی ساختمان معادل ارتفاع کل ساختمان (z=H) است.

ب– برای ساختمان‌های منطبق بر بند 6-10-9 این بخش، 2 برابر با متوسط ارتفاع سقف (h) یا شش متر (هرکدام که بزرگتر است) اختیار می‌شود. چنانچه شیب سقف کمتر از 7 درجه باشد، می‌توان ارتفاع پاشیب را به عنوان ارتفاع مبنا اختیار کرد.

ج– برای هریک از اجزاء متصل به ساختمان، مقدار z برابر با ارتفاع آن جزء از سطح زمین منظور می‌شود.

2-6-10-6 ضریب Ce در نواحی باز

چنانچه ساختمان یا سازه در محدوده‌ای که در آن ساختمان‌ها، درختان با موانع دیگر به صورت پراکنده قرار گرفته و یا در مجاورت دریاچه، دریا، ساحل باز یا صحرایی با پوشش گیاهی کوتاه واقع شده باشد، ضریب Ce از رابطه (6-10-5) تعیین می‌گردد.

(5-10-6) 6-10-5

Z، ارتفاع مبنای هر نقطه از ساختمان با سازه، بر حسب متر، نسبت به سطح زمین است.

3-6-10-6 ضریب Ce در نواحی پر تراکم

چنانچه ساختمان با سازه در مناطق با تراکم ساختمانی شهری یا در مجاورت جنگل‌های انبوه قرار گرفته باشد و منطقه پرتراکم در سمت رو به باد ساختمان در بالادست به میزان یک کیلومتر یا 20 برابر ارتفاع ساختمان (هر کدام که بیشتر است) امتداد داشته باشد، ضریب Ce از رابطه (6-10-6) تعیین می‌گردد.

(6-10-6)

6-10-6

4-6-10-6 ضریب Ce در نواحی بینابین محیطی

چنانچه ناهمواری زمین در سمت رو به باد ساختمان، در فاصله بیشینه یک کیلومتری یا 20 برابر ارتفاع ساختمان، بین دو حد ناحیه باز و ناحیه پرتراکم تشخیص داده شود، مقدار Ce از میان یابی مقادیر روابط 6-10-5 و 6-10-6 به دست می‌آید.

7-10-6 ضریب پستی و بلندی زمین Ct

چنانچه ساختمان یا سازه در بالای تپه، پرتگاه یا سینه کش منفردی با شیب متوسط شیب متوسط شیب بیشتر از 10 درصد قرار گرفته باشد، در نواحی پایینی ساختمان با سازه سرعت باد افزایش می‌یابد. (شکل 6-10-1) این افزایش در نواحی نزدیک به رأس تپه یا پرتگاه زیادتر از دیگر نواحی است. در شرایط معمولی، Ct=1 خواهد بود.

افزایش سرعت باد در بالای تپه‌ها و پرتگاه‌ها

شکل 6-10-1- افزایش سرعت باد در بالای تپه‌ها و پرتگاه‌ها

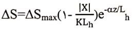
مقدار ضریب پستی و بلندی، Ct از رابطه (6-10-7) بدست می‌آید.

(7-10-6) 6-10-7

که در آن

  6-10-7(2)

و

ΔSmax = ضریب افزایش سرعت نسبی در رأس قله

Cg = ضریب اثر تندباد (از بند 6-10-8-1)

|X| = فاصله محل ساختمان تا قله تپه یا خط الراس پرتگاه

Lh = فاصله قله تا میانه نصف ارتفاع تپه در سمت روبه باد

Hh = ارتفاع خط الراس یا قله نسبت به زمین مسطح احاطه کننده تپه

α = ضریب تأثیر کاهش سرعت در ارتفاع

z = ارتفاع نقطه مورد نظر از تراز سطح برآمدگی

می‌باشد. مقادیر ΔSmax، α و K  در جدول 6-10-2 داده شده است.

حداکثر مقدار Hh/Lh برابر 0/5 اختیار شده و جهت باد همواره در جهت حداکثر شیب (مطابق شکل 6-10-1) فرض می‌شود.

جدول 6-10-2 ضرایب مورد استفاده در رابطه 6-10-7

شکل تپه یا بالا آمدگی ΔSmax α K
x≥0 x<0
تپه ممتد دو بعدی ΔSmax-1 3 1/5 1/5
پرتگاه دو بعدی ΔSmax-2 2/5 4 1/5
تگه سه بعدی متقارن محوری ΔSmax-3 4 1/5 1/5
8-10-6 ضرایب اثر تندباد و فشار مربوط به ساختمان‌های مستطیل شکل با بام تخت و نسبت ابعادی بیشتر از واحد یا ارتفاع بیش از 20 متر

چنانچه ارتفاع ساختمان بیش از بیست متر یا بزرگتر از بعد کوچکتر ساختمان باشد، ضرائب اثر تندباد (Cg و Cgi) و فشار (Cp و C*p) به شرح ذیل محاسبه می‌شوند.

1-8-10-6  ضریب اثر تند باد Cg و Cgi

ضریب اثر تند باد به منظور در نظر گرفتن نسبت حداکثر بارگذاری باد به اثر متوسط آن، ناشی از اثر نسبت سرعت لحظه‌ای باد به سرعت متوسط آن، در محاسبه فشار باد درنظر گرفته می‌شود. مقدار ضریب Cg به شرح ذیل است:

الف- برای محاسبه نیروهای کلی خارجی ساختمان  Cg=2/0

ب- برای محاسبه نیروهای وارد بر اجزاء پوشش نما یا بام (به طور موضعی) Cg=2/5

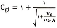
برای محاسبه فشار یا مکش داخلی، مقدار ضریب Cgi را می‌توان به صورت محافظه کارانه 2/0 اختیار نمود.

مقدار دقیق ضریب Cgi متناسب با حجم ساختمان، کل سطح بدنه و بام آن و مساحت منافذ بدنه ساختمان از رابطه 6-10-8 قابل محاسبه است.

(8-10-6) 6-10-8

که در آن:

V0 = حجم داخلی ساختمان بر حسب متر مکعب و

A = مساحت کل منافذ و بازشوهای بدنه خارجی ساختمان بر حسب متر مربع است.

2-8-10-6 ضریب فشار خارجی Cp و C*p

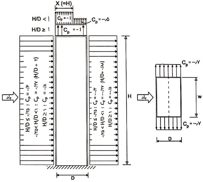
ضریب فشار Cp برای تعیین نیروهای کلی وارد بر سازه باربر اصلی در شکل 6-10-2 داده شده است. این ضریب متناسب با نسبت ارتفاع ساختمان به عرض آن در جهت باد (H/D) تغییر می‌کند.

ضریب فشار C*p برای محاسبه فشار یا مکش جزئی وارد بر پوشش‌ها، نماها و اجزاء پوششی بام و اتصالات آن در شکل 6-10-3 تعریف شده است این ضریب صرفاً برای طراحی اعضاء و اتصالات یادشده به کار می‌رود.

ضریب اثر بازشو، Cpi در بند 6-10-11 تعریف شده است.

ضریب فشار  C*p برای طراحی اعضاء پوششی نما و بام

شکل 6-10-2-ضریب فشار Cp برای بارگذاری سازه باربر اصلی

یادداشت‌های مربوط به شکل 6-10-2:
1) D و W به ترتیب ابعاد پلان ساختمان در راستای جهت باد و عمود بر آن، در سطح زمین است.

2) ضریب Cp نشان داده شده در سمت روبه باد زمانی که جهت باد عمود بر دیوار باشد قابل اعمال است.

3) برای تعیین حالت بحرانی بارهای وارد بر ساختمان، باید ترکیب فشار (مکش)‌های خارجی و داخلی ساختمان با هم مورد ارزیابی قرار گیرند.

ضریب فشار  C*p برای طراحی اعضاء پوششی نما و بام

شکل 6-10-3- ضریب فشار  C*p برای طراحی اعضاء پوششی نما و بام

یادداشت‌های مربوط به شکل 6-10-3:

1) عرض مؤثر نوارهای کناری برای مکش موضعی 0/1D می‌باشد.

2) در بام‌ها و در محل برخورد دو نوار عمود بر هم کناری، ضریب C*p برابر 2/3- می‌باشد اما چنانچه جان پناه بام نهایی بیش از یک متر ارتفاع داشته باشد، ضریب و C*p برابر 2- می‌باشد.

3) ضریب C*p برای ترکیبات خاصی از اجزاء معماری در نما می‌تواند بیش از 1/2- باشد. چنانچه در نما بیرون زدگی‌های قائمی، مثل تیغه به عمق بیش از یک متر پیش بینی شده باشد، (عنصر باربر نما و یا حتی عنصر معماری) ضریب C*p در گوشه‌ها به 1/4- افزایش یافته و عرض نوار بارگذاری شده نیز از 0/1D به 0/2D افزایش می‌یابد.

4) ضریب C*p=-1/.2  فقط در نواری به عرض 0/1D و روی اجزاء نما و اتصالات آن به کار می‌رود. برای طراحی اجزاء نما و اتصالات آن در سایر نواحی،، ضریب C*p=±0/9 باید مورد استفاده قرار گیرد.

5) مقدار C*p برای ساختمان‌های با بام پله‌ای تخت در بند 6-10-10 تعریف شده است.

9-10-6 ضرایب اثر تندباد و فشار مربوط به ساختمان‌های با نسبت ابعادی کمتر از 1 و ارتفاع کمتر از 20 متر

برای ساختمان‌های با ارتفاع کمتر از 20 متر و نسبت ارتفاع به عرض کوچکتر ساختمان کمتر از 1، بیشینه حاصلضرب ضرایب فشار و تندباد (CgCp) در شکل‌های شماره 6-10-4 تا 6-10-10 داده شده است. در صورت استفاده از این بند، ضریب Cg نباید جداگانه منظور شود.

این شکل‌ها به منظور تعیین بار باد روی سازه باربر اصلی و بارهای موضعی روی عناصر پوششی دیوارها و بام‌ها کاربرد داشته و به شرح ذیل تعریف شده‌اند.

برای محاسبه ضریب Cpi به بند 6-10-11 مراجعه شود.

1-9-10-6  ضرایب ترکیبی CgCP روی سازه باربر اصلی

ضرایب ترکیبی بیشینه CgCp برای محاسبه فشار و مکش کلی روی سازه باربر اصلی جانبی در شکل 6-10-4 داده شده است.

2-9-10-6 ضرایب ترکیبی CgCp روی اجزاء پوششی نما و دیوارها

ضرائب ترکیبی بیشینه CgCp برای محاسبه فشار یا مکش جزئی روی اجزاء پوششی نما و دیوارها (بدون توجه به زاویه شیب بام) در شکل 6-10-5 داده شده است.

3-9-10-6 ضرایب ترکیبی CgCp روی اجزاء پوششی بام

ضرائب ترکیبی بیشینه CgCp برای محاسبه فشاریا مکش جزئی روی اجزاء پوششی بام به شرح ذیل داده شده است:

الف- زاویه شیب بام کمتر از 7 درجه، شکل 6-10-6

ب-  بام با شیب دو طرفه یا چهار طرفه و زاویه شیب بام بیش از 7 درجه، شکل 6-10-7

پ- بام ساختمان‌های صنعتی دندانه‌ای، با شیب دو طرفه بام بیش از 10 درجه، شکل 6-10-8

ت- بام ساختمان‌های شیبدار یکطرفه با شیب بام بین 3 تا 30 درجه، شکل 6-10-9

ث-  بام ساختمان‌های دندانه‌ای با شیب یکطرفه بام بین 10 تا ° 30 در شکل 6-10-10 داده شده است.

ضرایب مثبت  CpCg به معنای نیروهای روبه سطح (فشار) و منفی به معنای نیروهای خارج از سطح (مکش) است. کلیه اجزاء پوششی و نما باید برای هر دو حالت فشار و مکش طراحی شوند.

برای تعیین بحرانی‌ترین مقادیر فشار یا مکش روی اجزاء پوششی نما، دیوارها و بام‌ها، فشار و مکش داخلی باید طبق بند6-10-4-2 محاسبه شده و جمع این مقادیر از رابطه 6-10-4 ملاک طراحی قرار گیرند.

عرض نوارهای کناری ساختمان در همه حالات برابر با کمترین مقدار 10% کوچکترین بعد افقی ساختمان در پلان و یا 40% ارتفاع پاشیب (H) منظور می‌شود. این عرض در هر حال نباید کمتر از 4% کوچک‌ترین بعد افقی ساختمان یا یک متر اختیار شود.

ضرایب ترکیبی فشار و مکش خارجی CpCg روی سازه باربر اصلی (حالت الف- جهت باد همسو با شیب سقف)

شیب سقف بدنه ساختمان
1 E1 2 E2 3 E3 4 E4
0° تا °5 0/75 1/15 1/3- 2/0- 0/7- 1/0- 0/55- 0/8-
20° 1/0 1/5 1/3- 2/0- 0/9- 1/3- 0/8- 1/2-
30° تا °45 1/05 1/3 0/4 0/5 0/8- 1/0- 0/7- 0/9-
90° 1/05 1/3 1/05 1/3 0/7- 0/9- 0/7- 0/9-

حالت الف- جهت باد همسو با شیب سقف

ضرایب ترکیبی فشار و مکش خارجی CpCg روی سازه باربر اصلی (حالت ب- جهت باد عمود بر شیب سقف)

شیب سقف بدنه ساختمان
1 E1 2 E2 3 E3 4 E4 5 E5 6 E6
°0 تا °90 0/85- 0/9- 1/3- 2/0- 0/7- 1/0- 0/85- 0/9- 0/75 1/15 0/55- 0/8-

حالت ب- جهت باد عمود بر شیب سقف

شکل 6-10-4 ضرایب ترکیبی فشار و مکش خارجی CpCg روی سازه باربر اصلی

یادداشت‌های مربوط به شکل 6-10-4 الف و ب:

1) حالات بارگذاری الف و ب، به ترتیب جهت وزش باد، همسوی با شیب بام و عمود بر آنرا نشان می‌دهد. ضرایب CpCg در جداول مربوطه، میزان فشار (یا مکش) را روی کلیه وجوه ساختمان و بام و همینطور فشارهای (یا مکش‌های) اضافی موضعی در نوار کناری دیوارها و بام را تعیین می‌کند.

2) ساختمان باید برای هریک از دو امتداد اصلی بارگذاری و در هر دو جهت تحلیل و طراحی شود. بارگذاری مجزای بام‌ها در حالت الف وب برای منظور نمودن اثرات پیچش و همینطور بدترین حالت بارگذاری الزامی است.

3) برای زوایایی از شیب بام که در جدول داده نشده‌اند، مقادیر CpCg از طریق درون یابی بدست می‌آیند.

4) ضرایب مثبت CpCg به معنای نیروی رو به سطح (فشار) و منفی به معنای نیروهای خارج از سطح (مکش) می‌باشد.

5) در طراحی پی ساختمان‌ها (بجز طراحی میل مهار اتصال قابها به پی) کافیست 70٪ نیروی مربوط به باد منظور شود.

6) برای محاسبه Ce، ارتفاع مبنای بام (h) متوسط ارتفاع پاشیب (H) و ارتفاع حداکثر بام بوده و باید حداقل 6 متر منظور شود. در بام‌های با شیب کمتر از °7، مقدار h برابر ارتفاع پاشیب یا حداقل 6 متر اختیار خواهد شد.

7) در بارگذاری حالت الف، عرض نوارهای کناری ساختمان که تحت تأثیر فشار (یا مکش) بیشتری قرار می‌گیرند و باید در بارگذاری کلی ساختمان منظور شوند، به ترتیب زیر تعیین می‌شوند.

الف- حداقل 8 معادل 6 متر، یا دو برابر x (که در بند 8 تعریف شده)، هر کدام که بزرگتر باشد.

ب- در سیستم‌های قابی، مقدار می‌تواند فاصله بین قاب انتهایی تا اولین قاب داخلی اختیار شود.

8) در بارگذاری حالت ب، عرض نوارهای کناری ساختمان (x)، برابر با کمترین مقدار 10 درصد کوچکترین بعد افقی ساختمان در پلان، یا 40 درصد ارتفاع پاشیب (H) منظور می‌شود. این عرض در هر حال نباید کمتر از 4درصد کوچکترین بعد افقی ساختمان یا یک متر اختیار شود.

9) در بارگذاری حالت الف، چنانچه نسبت پهنای ساختمان در جهت باد (B) به ارتفاع ساختمان (H) بیش از 5 باشد، فشار (یا مکش) نواحی 2 و 2E در عرضی از بام به مقدار 2/5E اعمال شده و در بقیه سطوح بام ضرایب فشار (مکش) مربوط به ناحیه 3 و 3E اختیار خواهند شد.

ضرایب ترکیبی فشار و مکش خارجی CpCg برای طراحی دیوار پوشش نما

شکل 6-10-5 ضرایب ترکیبی فشار و مکش خارجی CpCg برای طراحی دیوار پوشش نما

یادداشت‌های مربوط به شکل 6-10-5:

1- ضرایب CpCg این شکل را برای هر زاویه شیب بام می‌توان استفاده کرد.

2- محور افقی نمایانگر مقدار سطحی از دیوار یا پوشش نما است که برای طراحی انتخاب می‌شود.

3-ضرایب CpCg برای ترکیبات خاصی از اجزاء معماری در نما می‌تواند متفاوت با مقادیر این شکل باشد. چنانچه تیغه‌های قائم معماری به عمق بیش از یک متر (به عنوان عنصر باربر نما و یا عنصر معماری) روی نمای ساختمان قرار گرفته باشد، ضریب CpCg به 2/8- افزایش پیدا می‌کند.

ضرایب ترکیبی فشار و مکش خارجی CpCg برای طراحی پوششها و اجزاء بام (با شیب کمتر از 7 درجه با یا بدون طره)

شکل 6-10-6-ضرایب ترکیبی فشار و مکش خارجی CpCg برای طراحی پوششها و اجزاء بام (با شیب کمتر از 7 درجه با یا بدون طره)

یادداشت‌های مربوط به شکل 6-10-6:

1) ضرایب CpCg برای بخشهای طره پوشش بام با پیشوند “o” در شکل مشخص شده‌اند و شامل مجموع فشار (و مکش) از زیر و روی بام هستند. دیوارها در این حالت با لبه بام هم سطح نبوده و پوشش طره مشرف بر دیوارهای خارجی می‌باشد.

2) مقادیر ضریب CpCg تعریف شده برای نواحی r و S، شامل هر دو حالت بام‌ها و سایه‌بان‌ها (فضای بدون دیوار پیرامونی) می‌شوند.

٣) محور افقی، نمایانگر مساحتی از بام است که برای طراحی انتخاب می‌شود.

4) برای ساختمان‌های با بام پله‌ای تخت، علاوه بر استفاده از این شکل، از شکل 6-10-11 و توضیحات بند 6-10-10 نیز باید مورد استفاده قرار گیرند.

5) چنانچه در لبه بام، دست‌انداز به ارتفاع حداقل یک متر پیش‌بینی شده باشد، ضریب CpCg در گوشه‌های بام (ناحیه C) از 5/4-  به 4/4- تقلیل پیدا می‌کند.

ضرایب ترکیبی فشار و مکش CpCg برای طراحی پوشش‌ها و اجزاء بام (بام‌های دوشیبه یا چهار شیبه با زاویه شیب بیش از 7 درجه)

شکل 6-10-7 ضرایب ترکیبی فشار و مکش CpCبرای طراحی پوشش‌ها و اجزاء بام (بام‌های دوشیبه یا چهار شیبه با زاویه شیب بیش از 7 درجه)

یادداشت‌های مربوط به شکل 6-10-7:

1) ضرایب CpCg برای بخشهای طره پوشش بام با پیشوند “o” در شکل مشخص شده‌اند و شامل مجموع فشار (و مکش) از زیر و روی بام هستند.

2) محور افقی، نمایانگر مساحتی از بام است که برای طراحی انتخاب می‌شود.

3) ضرایب CpCg در نوار لبه بام‌ها (s)، در محل تارک و یال‌های بام نیز اعمال می‌شوند.

ضرایب ترکیبی فشار و مکش خارجی CpCg برای طراحی پوشش‌ها و اجزاء بام (بام‌های دندانه‌ای با شیب بیشتر از 10 درجه)

شکل 6-10-8- ضرایب ترکیبی فشار و مکش خارجی CpCg برای طراحی پوشش‌ها و اجزاء بام (بام‌های دندانه‌ای با شیب بیشتر از 10 درجه)

یادداشت‌های مربوط به شکل 6-10-8:

1) برای استفاده از این شکل، ساختمان باید حداقل از دو دهانه قاب تشکیل شود.

2) چنانچه شیب بام کمتر از °10 باشد، باید از جدول شکل 6-10-6 استفاده کرد.

٣) پلان و نواحی نشانه گذاری شده مربوط به یک دهانه از پوشش دندانه دار است.

4) محور افقی، نمایانگر مساحتی از بام است که برای طراحی انتخاب می‌شود.

ضرایب ترکیبی فشار و مکش خارجی CpCg برای طراحی پوشش‌ها و اجزاء بام‌های شیبدار یکطرفه

شکل 6-10-9- ضرایب ترکیبی فشار و مکش خارجی CpCg برای طراحی پوشش‌ها و اجزاء بام‌های شیبدار یکطرفه

یادداشت‌های مربوط به شکل 6-10-9:
1) محور افقی، نمایانگر مساحتی از بام است که برای طراحی انتخاب می‌شود.
2) برای شیب‌های کمتر از °30 از شکل 6-10-6 استفاده شود.

ضرایب ترکیبی فشار و مکش خارجی CpCg برای طراحی پوشش‌ها و اجزاء بام‌های دندانه‌ای یکطرفه

شکل 6-10-10- ضرایب ترکیبی فشار و مکش خارجی CpCg برای طراحی پوشش‌ها و اجزاء بام‌های دندانه‌ای یکطرفه

یادداشت‌های مربوط به شکل 6-10-10:
1) محور افقی، نمایانگر مساحتی از بام است که برای طراحی انتخاب می‌شود.
2) ضریب CpCg در گوشه‌های پوشش، برای دهانه تیپ A با بقیه دهانه‌ها تفاوت دارد.
3) برای شیب بام کمتر از °10 از شکل 6-10-6 استفاده شود.

10-10-6 ضریب اثر تندباد و فشار برای اجزاء پوشش بام و دیوارها و نمای ساختمان‌های با بام پله‌ای تخت

در ساختمان‌های با بام پله‌ای تخت، اگر مطابق شکل 6-10-11 مقدار h1 بزرگ‌تر از 0/3H و همینطور بزرگ‌تر از 3متر بوده و W1 ،W2 یا W3 بزرگ‌تر از 0/25W بوده و کوچکتر از 0/75W باشد، ضرایب CpCg (بند 6-10-9) که برای محاسبه فشار (مکش) روی سطوح باید منظور شوند عبارتند از :

الف- فشار (مکش) اعمال شده روی سطوح بام بالا و پایین با استفاده از ضریب CpCg تعریف شده در شکل 6-10-6 (بام‌ها) محاسبه خواهدشد. تنها در نواری به عرض b روی بام پایینتر، مقادیر فشار مثبت با استفاده از ضریب CpCg مربوط به دیوارها در شکل 6-10-5 محاسبه می‌شود. عرض b معادل 1/5h1  بوده اما از 30 متر تجاوز نمی‌کند.

ب – برای محاسبه فشار (مکش) روی کلیه دیوارها ضریب CpCg تعریف شده در شکل 6-10-5 به کار می‌رود.

نسبت ابعادی ساختمان‌های با بام پله‌ای تخت

شکل 6-10-11- نسبت ابعادی ساختمان‌های با بام پله‌ای تخت

11-10-6 ضریب اثر باز شو Cpi

مقادیر فشار (مکش) داخلی روی اجزاء پوششی داخلی و بام‌ها و همینطور فشار و مکش داخلی کلی وارد بر سازه باربر اصلی با استفاده از رابطه 6-10-3-ب و با انتخاب Cpi تعریف شده در این بند محاسبه می‌شوند.

ضریب اثر بازشو، Cpi، متناسب باهوابندی ساختمان و مقدار بازشوهای بدنه آن، در سه گروه ذیل دسته‌بندی می‌شود.

گروه 1: ساختمان‌های بدون بازشوهای بزرگ و قابل توجه، ساختمان‌های با نسبت ابعادی بزرگتر از واحد که اسماً هوابندی شده‌اند و تهویه هوا از طرق مکانیکی صورت می‌گیرد و یا مجموعه بازشوهای کوچک بدنه و بام ساختمان کمتر از 0/1 درصد مساحت کل بدنه ساختمان باشد.

مقدار Cpi در این حالت بین 0/15- تا 0 می‌باشد. Cpi=0  تنها زمانی خواهد بود که بازشوها در کاهش بارهای خارجی باد مؤثر باشند.

گروه 2: ساختمان‌هایی که بازشوهای آنها هنگام طوفان شکسته یا باز نخواهند شد، ساختمان‌های با پنجره‌های معمولی قابل بازشو

در این حالت Cpi=-0/45 تا Cpi=0/3 می‌باشد.

گروه 3: ساختمان‌های با بازشوهای بزرگ که احتمال ورود باد به داخل ساختمان بالا است، ساختمان‌های صنعتی با درهای بزرگ یا هواکش، یا درهایی که ممکن است در زمان طوفان شکسته یا باز شوند، سرپوشیده‌های سه طرف بسته و همچنین ساختمان‌هایی که باید بعد از طوفان عملکرد آنها حفظ شود.

در این حالت Cpi=-0/7 تا Cpi=0/7  اختیار خواهد شد.

در طراحی سازه‌ای اکثر ساختمان‌ها، کافیست مقادیر حدی ضریب بازشو گروه مربوطه به طور جداگانه در نظر گرفته شود. برای انتخاب حالت فشار یا مکش، با توجه به جهت باد و موقعیت بازشوهای عمده می‌توان از شکل 6-10-12 استفاده کرد.

فشارهای داخلی می‌توانند تحت تأثیر تهویه مکانیکی و اثر “دودکش” در اثر تفاضل درجه حرارت بیرون و داخل ایجاد شوند. سیستم‌های تهویه مکانیکی در بهره‌برداری معمولی ایجاد فشاری کمتر از 0/1 کیلونیوتون بر متر مربع ایجاد می‌کنند. در صورتیکه اثر “دودکش” به سبب اختلاف دمای 40 درجه سلسیوس می‌تواند 0/2 کیلونیوتون بر مترمربع در هر 100 متر ارتفاع ساختمان فشار ایجاد کند.

ضریب اثر بازشو Cpi

شکل 6-10-12- ضریب اثر بازشو Cpi

12-10-6  ضریب هم راستایی باد Cd

ضریب هم راستایی باد به منظور در نظر گرفتن احتمال هم راستایی جهت باد، ساختمان و ضریب فشار مربوط در همان

جهت باد پیشبینی شده است. بجز در ساختمان‌ها و حالات زیر، ضریب هم راستایی Cd برابر با 0/85 اختیار می‌شود.

1-دودکش‌ها، منابع و ساختمان‌های مشابه با مقطع مربع Cd=0/9، با مقطع دایره یا هشت ضلعی Cd=0/95

2- پایه‌های انتقال نیرو (برجهای خرپایی) با مقطع مثلث، مربع و مستطیل Cd=0/85، با سایر مقاطع Cd=0/95

13-10-6 بارگذاری‌های بخشی وارد بر سازه باربر اصلی

اثر تغییرات فشار در بادهای متلاطم، مثل کم شدن فشار (مکش) روی بخشی از ساختمان، وزش قطری باد و یا اثرات بام‌های گنبدی و قوسی می‌تواند در ساختمان تولید پیچش نموده یا به دلیل ایجاد بارگذاری دو جهته در برخی از اعضاء سازه‌ای تولید تلاش‌هایی در چند جهت کند.

در مورد ساختمان‌هایی که طبق ضوابط بند 6-10-9 بارگذاری شده‌اند، بارگذاری بخشی الزامی نیست.

در ساختمان‌هایی که طبق بند 6-10-8 محاسبه می‌شود، ترکیبات بارگذاری الف تا ت در شکل 6-10-13 باید در تحلیل و طراحی اجزاء سازه‌ای منظور شوند.

بارگذاری بخشی سازه اصلی باربر (در پلان)

شکل 6-10-13- بارگذاری بخشی سازه اصلی باربر (در پلان)

14-10-6 ضوابط عمومی طراحی ساختمان‌ها و سازه‌ها برای باد
1-14-10-6 کنترل لغزش

مقاومت کل سازه در مقابل رانش روی زمین باید به وسیله اصطکاک شالوده‌ها بر روی زمین، مقاومت ایجاد شده توسط خاک مقابل شالوده و یا مهارهای جانبی دیگر که به همین منظور تعبیه شده، تأمین شود. ضریب اطمینان موجود در برابر رانش تحت بار باد (بدون اعمال ضریب بار) نباید کمتر از 1/5 در نظر گرفته شود.

2-14-10-6 کنترل واژگونی

در طراحی سازه‌ها برای باد، کل سازه باید از نظر واژگونی پایدار باشد. لنگر واژگونی مؤثر بر سازه باید نسبت به محور واقع بر فصل مشترک وجه انتهایی شالوده با صفحه زیر آن، در سمت پشت به باد، تعیین گردد. ضریب اطمینان موجود در مقابل واژگونی (بدون اعمال ضریب بار) نباید کمتر از 1/75 اختیار شود. در محاسبه لنگر مقاوم در مقابل واژگونی می‌توان وزن شالوده و خاک روی آن را نیز به حساب آورد.

15-10-6 کنترل سازه ساختمان‌ها در برابر باد سطح بهره‌برداری

به منظور جلوگیری از آسیب دیدن اجزاء غیرسازه‌ای، حداکثر تغییرشکل جانبی نسبی ساختمان‌ها در ترکیب بار 1 بند 6-2-5-2، باید به 0/0025 ارتفاع هر طبقه محدود شود. در این ترکیب بار، Wser، بار باد سطح بهره‌برداری است که بر مبنای دوره بازگشت ده ساله باد در منطقه محاسبه می‌شود. برای تعیین این سرعت می‌توان از 0/8 سرعت مبنای باد (بند 6-10-2) استفاده نمود.

جدول 6-10-1 : سرعت مبنای باد

ردیف نام ایستگاه سرعت مبنای باد (V)
کیلومتر بر ساعت
فشار مبنا (q)
کیلونیوتن بر مترمربع
1 آب بر 90 0.38
2 آبادان 90 0.38
3 آباده 120 0.68
4 آبدانان 110 0.57
5 آبعلی 120 0.68
6 آستارا 130 0.8
7 آشتیان 80 0.3
8 آغاجاری 100 0.47
9 آلاشت 100 0.47
10 آمل 110 0.57
11 آوج 100 0.47
12 ابرکوه 100 0.47
13 اراک 100 0.47
14 اردبیل 140 0.93
15 اردستان 110 0.57
16 اردل 120 0.68
17 ارسنجان 80 0.3
18 ارومیه 100 0.47
19 ازنا 100 0.47
20 استهبان 90 0.38
21 اسفراین 90 0.38
22 اسلام اباد غرب 90 0.38
23 اشنویه 100 0.47
24 اصفهان 110 0.57
25 اقلید 130 0.8
26 الشتر 100 0.47
27 الیگودرز 110 0.57
28 امیدیه(شهر) 120 0.68
29 امیدیه(فرودگاه) 130 0.8
30 انار 100 0.47
31 اهر 120 0.68
32 اهواز 110 0.57
33 ایذه 80 0.3
34 ایرانشهر 120 0.68
35 ایزدخواست 90 0.38
36 ایلام 100 0.47
37 ایمان آباد (جنوب خرم آباد) 110 0.57
38 ایوان 110 0.57
39 بابلسر 100 0.47
40 بافت 110 0.57
41 بافق 120 0.68
42 بانه 110 0.57
43 بجنورد 140 0.93
44 برازجان 80 0.3
45 بروجرد 110 0.57
46 بروجن 90 0.38
47 بستان 110 0.57
48 بستان آباد 100 0.47
49 بشرویه 80 0.3
50 بلده 80 0.3
51 بم 110 0.57
52 بناب 80 0.3
53 بندرامیرآباد 100 0.47
54 بندر انزلی 120 0.68
55 بندر ترکمن 90 0.38
56 بندر دیر 90 0.38
57 بندر دیلم 80 0.3
58 بندر لنگه 90 0.38
59 بندر ماه شهر 100 0.47
60 بندر عباس 100 0.47
61 بهاباد 120 0.68
62 بهبهان 90 0.38
63 بوانات 110 0.57
64 بوشهر (فرودگاه) 100 0.47
65 بوشهر (ساحلی) 120 0.68
66 بوکان 90 0.38
67 بوئین زهرا 90 0.38
68 بیار جمند 90 0.38
69 بیجار 110 0.57
70 بیرجند 90 0.38
71 بیله سوار 90 0.38
72 پارس آباد 100 0.47
73 پارسیان 90 0.38
74 پل دختر 90 0.38
75 پل سفید 90 0.38
76 پیرانشهر 110 0.57
77 تازه آباد (کرمانشاه) 120 0.68
78 تاکستان 110 0.57
79 تالش 130 0.8
80 تبریز 110 0.57
81 تخت جمشید 80 0.3
82 تربت جام 90 0.38
83 تربت حیدریه 90 0.38
84 تفرش 80 0.3
85 تکاب 90 0.38
86 تهران 100 0.47
87 تویسرکان 90 0.38
88 جاجرم 110 0.57
89 جاسک 100 0.47
90 جزیره ابوموسی 80 0.3
91 جزیره‌ی سیری 100 0.47
92 جزیره قشم 100 0.47
93 جزیره کیش 100 0.47
94 جزیره لاوان 90 0.38
95 جلفا 110 0.57
96 جم 80 0.3
97 جهرم 80 0.3
98 جوانرود 90 0.38
99 جیرفت 110 0.57
100 جیرنده 110 0.57
101 چابهار 90 0.38
102 چالدارن 90 0.38
103 چوپانان 80 0.3
104 چیتگر 100 0.47
105 حاجی آباد (خراسان جنوبی) 80 0.3
106 حاجی آباد (هرمزگان) 110 0.57
107 حسینیه 100 0.47
108 خاش 90 0.38
109 خدابنده 110 0.57
110 خرم آباد 90 0.38
111 خرم درّه 90 0.38
112 خلخال 90 0.38
113 خمین 80 0.3
114 خنداب 100 0.47
115 خواف 90 0.38
116 خوانسار 110 0.57
117 خور بیرجند 130 0.8
118 خوروبیابانک 90 0.38
119 خوی 110 0.57
120 خیرآباد(جنوب شرقی بناب) 100 0.47
121 داراب 110 0.57
122 داران 90 0.38
123 دامغان 110 0.57
124 درّه شهر 100 0.47
125 درگز 80 0.3
126 درود 110 0.57
127 درودزن 90 0.38
128 دزفول 120 0.68
129 دلیجان 100 0.47
130 دماوند 90 0.38
131 ده دز 80 0.3
132 دهدشت 80 0.3
133 دهلران 110 0.57
134 دو گنبدان 110 0.57
135 دیلمان 90 0.38
136 راسک 100 0.47
137 رامسر 110 0.57
138 رامهرمز 80 0.3
139 رباط پشت بادام 90 0.38
140 رشت 100 0.47
141 رفسنجان 120 0.68
142 روانسر 100 0.47
143 رودان 90 0.38
144 رودسر 10 0.57
145 زابل 130 0.8
146 زاهدان 130 0.8
147 زرّینه 110 0.57
148 زرقان 90 0.38
149 زرند 100 0.47
150 زرین دشت 90 0.38
151 زرین شهر 80 0.3
152 زنجان 90 0.38
153 ساری 100 0.47
154 سامان 130 0.8
155 ساوه 110 0.57
156 سبزوار 100 0.47
157 سپیدان 80 0.3
158 سرپل ذهاب 100 0.47
159 سراب 110 0.57
160 سرابله (ایلام) 80 0.3
161 سرارود (کرمانشاه) 110 0.57
162 سراوان 100 0.47
163 سرایان(خراسان جنوبی) 80 0.3
164 سربیشه 90 0.38
165 سرخش 110 0.57
166 سردشت 120 0.68
167 سرعین 100 0.47
168 سقز 110 0.57
169 سلفچگان 130 0.8
170 سلماس 110 0.57
171 سمنان 90 0.38
172 سمیرم 110 0.57
173 سنقر 120 0.68
174 سنندج 100 0.47
175 سهند 130 0.8
176 سومار 120 0.68
177 سی سخت 100 0.47
178 سیاه بیشه 130 0.8
179 سیرجان 100 0.47
180 سیلاخور 100 0.47
181 شادگان 90 0.38
182 شازند 100 0.47
183 شاهرود 90 0.38
184 شاهین دژ 120 0.68
185 شهداد 100 0.47
186 شهر بابک 110 0.57
187 شهرضا 110 0.57
188 شهرکرد 90 0.38
189 شهمیرزاد 110 0.57
190 شوشتر 120 0.68
191 شیراز 90 0.38
192 صفا شهر (فارس) 110 0.57
193 صفی آباد (دزفول) 120 0.68
194 طالقان 120 0.68
195 طبس 100 0.47
196 عقدا 110 0.58
197 غرق آباد (استان مرکزی) 100 0.47
198 فراشبند 80 0.3
199 فردوس 80 0.3
200 فردوگاه امام خمینی 130 0.8
201 فریدون شهر 90 0.38
202 فریمان 110 0.57
203 فسا 100 0.47
204 فیروزآباد (فارس) 80 0.3
205 فیروزآباد (اردبیل) 100 0.47
206 فیروزکوه 110 0.57
207 قائم شهر 90 0.38
208 قائن 90 0.38
209 قراخیل 90 0.38
210 قره ضیاالدین 90 0.38
211 قروه 100 0.47
212 قزوین 110 0.57
213 قصر شیرین 90 0.38
214 قم 100 0.47
215 قوچان 90 0.38
216 قیروکارزین 80 0.3
217 کازرون 80 0.3
218 کاشان 100 0.47
219 کاشمر 80 0.3
220 کامیاران 90 0.38
221 کبوتر اباد (اصفهان) 120 0.68
222 کجور 90 0.38
223 کرج 110 0.57
224 کرمان 130 0.8
225 کرمانشاه 90 0.38
226 کلاله (گلستان) 100 0.47
227 کلیبر 120 0.68
228 کمیجان 80 0.3
229 کنارک(فرودگاه) 100 0.47
230 کنگاور 90 0.38
231 کهریز (آذربایجان غربی) 110 0.57
232 کهک 100 0.47
233 کهنوج 130 0.8
234 کوه دشت 130 0.8
235 کوهرنگ 110 0.57
236 کوهین 100 0.57
237 کیاسر 100 0.57
238 کیاشهر 100 0.47
239 گاریز (یزد) 90 0.38
240 گچساران 110 0.57
241 گرگان 100 0.47
242 گرمسار 110 0.57
243 گرمی 100 0.47
244 گل مکان 110 0.57
245 گلپایگان 100 0.47
246 گلوگاه 110 0.57
247 گناباد 90 0.38
248 گنبد کاووس 100 0.47
249 گیلان غرب 120 0.68
250 لار 100 0.47
251 لاله زار (کرمان) 100 0.47
252 لامرد 90 0.38
253 لاهیجان 100 0.47
254 لردگان 100 0.47
255 لومار 100 0.47
256 ماسوله 10 0.57
257 ماکو 110 0.57
258 مانه و سملقان (خراسان شمالی) 120 0.68
259 ماه نشان 110 0.57
260 محلات 80 0.3
261 مراغه 120 0.68
262 مراوه تپّه 120 0.68
263 مرند 100 0.47
264 مروست 100 0.47
265 مریوان 120 0.68
266 مسجد سلیمان 100 0.47
267 مشکین شهر 140 0.93
268 مشهد 90 0.38
269 معلم کلایه 120 0.68
270 ملایر 120 0.68
271 ملکان 90 0.38
272 منجیل 140 0.93
273 مهاباد 100 0.47
274 مهران 130 0.8
275 مهریز 100 0.47
276 مورچه خورت 90 0.38
277 میاندوآب 100 0.47
278 میانه 100 0.47
279 میبد 110 0.57
280 میرجاوه 80 0.3
281 میمه 80 0.3
282 میناب 90 0.38
283 نائین 90 0.38
284 نجف آباد 80 0.3
285 نطنز 110 0.57
286 نقده 140 0.93
287 نهاوند 120 0.68
288 نهبندان 100 0.47
289 نورآباد(لرستان) 120 0.68
290 نورآباد (ممسنی) 100 0.47
291 نوشهر 110 0.57
292 نیر 100 0.47
293 نیریز 80 0.3
294 نیشابور 90 0.38
295 نیکشهر 100 0.47
296 هرات(یزد) 110 0.57
297 هرسین 90 0.38
298 هریس 110 0.57
299 هشتگرد 110 0.57
300 همدان 110 0.57
301 هندیجان 80 0.3
302 ورامین 100 0.47
303 ورزنه 100 0.47
304 یاسوج 110 0.57
305 یزد 110 0.57

مشخصات آیین‌نامه

تعداد فصول: 16 فصل
سال انتشار: 1398
ویرایش: چهارم

جستجو در آیین‌نامه‌ها

ناشرین آیین‌نامه‌ها

مقررات ملی ساختمان

قوانین، آیین‌نامه‌ها، شیوه‌نامه‌ها، دستورالعمل‌ها و بخشنامه‌های ساختمان

نظام مهندسی ساختمان

ضوابط، بخشنامه‌ها، نشریه‌ها و معیار‌های فنی نظام مهندسی ساختمان

مرکز تحقیقات راه، مسکن و شهرسازی

قوانین، آیین‌نامه‌ها و بخشنامه‌های مرکز تحقیقات راه، مسکن و شهرسازی

سازمان برنامه و بودجه کشور

ضوابط، بخشنامه‌ها و قوانین سازمان برنامه و بودجه کشور

سازمان ملی استاندارد ایران

استانداردهای کمیته‌های مختلف سازمان ملی استاندارد ایران

سازمان تامین اجتماعی کشور

مقررات و آیین‌نامه‌های درمانی و بیمه‌ای سازمان تامین اجتماعی کشور

ضوابط فنی و اجرایی شهرداری‌ها

ضوابط، بخشنامه‌ها، نشریه‌ها و معیار‌های فنی شهرداری‌های کشور

ضوابط فنی و اجرایی وزارت بهداشت

ضوابط، بخشنامه‌ها، نشریه‌ها و معیار‌های فنی وزارت بهداشت

ضوابط فنی و اجرایی وزارت نیرو-آبفا

ضوابط، بخشنامه‌ها، نشریه‌ها و معیار‌های فنی وزارت نیرو-آبفا

ضوابط سازمان بنادر و دریانوردی

ضوابط، بخشنامه‌ها، نشریه‌ها و معیار‌های فنی سازمان بنادر و دریانوردی

ضوابط فنی و اجرایی وزارت نفت

ضوابط، بخشنامه‌ها، نشریه‌ها و معیار‌های فنی وزارت نفت

قوانین و مقررات مالیاتی کشور

قوانین، مقررات، ضوابط و دستورالعمل‌هاى مالیاتى سازمان مالیات كشور

تازه‌ترین فصل‌ها

واژه‌نامه

مبحث هفدهم مقررات ملی ساختمان (سامانه گاز طبیعی در ساختمان)

پیوست ۶ دسته‌بندی نوع دستگاه‌‌‌های گازسوز

مبحث هفدهم مقررات ملی ساختمان (سامانه گاز طبیعی در ساختمان)

پیوست 5 شکل‌ها

مبحث هفدهم مقررات ملی ساختمان (سامانه گاز طبیعی در ساختمان)

پیوست 4 جدول‌ها

مبحث هفدهم مقررات ملی ساختمان (سامانه گاز طبیعی در ساختمان)

پیوست 3 ایمنی و ضوابط بهره‌برداری و نگهداری از سیستم لوله‌‌کشی گاز

مبحث هفدهم مقررات ملی ساختمان (سامانه گاز طبیعی در ساختمان)

پیوست 2 نمونه محاسبات

مبحث هفدهم مقررات ملی ساختمان (سامانه گاز طبیعی در ساختمان)

پیوست 1 راهنمای ایمنی

مبحث هفدهم مقررات ملی ساختمان (سامانه گاز طبیعی در ساختمان)