آیین‌نامه‌ها

صفحه اصلی / آیین‌نامه‌ها / مبحث ششم مقررات ملی ساختمان (بارهای وارد بر ساختمان)
7-6 بار برف

7-6 بار برف

1-7-6 کلیات

ساختمان‌ها و سایر سازه‌های موضوع این مبحث باید برای بار برف طراحی شوند. برای این منظور پس از محاسبه بار برف بام، لازم است حالت‌های مختلف بارگذاری شامل بار برف متوازن و نامتوازن، برف بخشی، انباشتگی برف و برف لغزنده طبق ضوابط این فصل در نظر گرفته شود.

2-7-6 بار برف بام

بار برف بر روی بام، Pr، با توجه به بار برف مبنا، شیب و دمای بام، برف‌گیری و اهمیت سازه برای هر متر مربع تصویر افقی سطح آن، از رابطه 6-7-1 تعیین می‌شود:

(1-7-6) Pr=IsCnChCsPs

که در آن:

Ps = بار برف مبنا طبق بخش 6-7-3

ls = ضریب اهمیت بار برف طبق جدول 6-1-2

Cn = ضریب برف‌گیری طبق بخش 6-7-4

Ch = ضریب شرایط دمایی طبق بخش 6-7-5

Cs = ضریب شیب طبق بخش 6-7-6 می‌باشند.

3-7-6 بار برف مبنا

بار برف مبنا، Ps، باری است که بر اساس آمار موجود در منطقه، احتمال فراگذشت از آن در سال دو درصد باشد (دوره بازگشت 50 سال).

بار برف مبنا در مناطق مختلف کشور را باید با توجه به تقسیم‌بندی مشخص شده در جدول 6-7-1 و یا شکل 6-7-1، حداقل برابر با مقادیر زیر در نظر گرفت:

منطقه 1- برف بسیار کم (نادر)      0/25 کیلونیوتن بر متر مربع

منطقه 2- برف کم     0/5 کیلونیوتن بر متر مربع

منطقه 3- برف متوسط     1 کیلونیوتن بر متر مربع

منطقه 4 – برف زیاد     1/5 کیلونیوتن بر متر مربع

منطقه 5 – برف سنگین     2 کیلونیوتن بر متر مربع

منطقه 6- برف فوق سنگین     3 کیلونیوتن بر متر مربع

این بار را می‌توان با انجام مطالعات دقیق‌تر آماری برای منطقه مورد نظر نیز تعیین نمود، ولی مقدار آن نباید کمتر از 0/8 مقادیر فوق در نظر گرفته شود.

جدول 6-7-1 تقسیم‌بندی شهرهای کشور از نظر بار برف

ردیف شهر منطقه
1 آستارا 5
2 اراک 4
3 اردبیل 5
4 اردستان 2
5 ارومیه 4
6 اسلام اباد غرب 4
7 اصفهان 3
8 الیگودرز 5
9 امیدیه 1
10 انار 2
11 اهر 4
12 اهواز 2
13 ایرانشهر 1
14 ایلام 4
15 ایوان غرب 3
16 آبادان 2
17 آباده 3
18 آبعلی 5
19 آستانه اشرفیه 5
20 انزلی 4
21 بافت 3
22 بافق 2
23 بانه 5
24 بجنورد 4
25 بروجرد 4
26 بستان 2
27 بشرویه 2
28 بم 2
29 بندرعباس 1
30 بندر لنگه 1
31 بوشهر 1
32 بیجار 4
33 بیرجند 2
34 پیرانشهر 5
35 تبریز 4
36 تربت جام 4
37 تربت حیدریه 3
38 تکاب 4
39 تهران 4
40 جاسک 1
41 جلفا 4
42 جیرفت 2
43 چابهار 1
44 خاش 1
45 خدابنده 4
46 خرم آباد 4
47 خرم دره 4
48 خلخال 5
49 خور بیابانک 1
50 خور بیرجند 2
51 خوی 4
52 داران 5
53 درود 5
54 دزفول 3
55 دهلران 3
56 دو گنبدان 2
57 رامسر 4
58 رامهرمز 2
59 رباط پشت بام 2
60 رشت 5
61 رفنسجان 3
62 روانسر 4
63 زابل 2
64 زرینه اوباتو 5
65 زنجان 4
66 سبزوار 3
67 سراب 4
68 سراوان 1
69 سرپل ذهاب 3
70 سرخس 3
71 سردشت 6
72 سقز 5
73 سمنان 3
74 سنندج 4
75 سیرجان 4
76 شاهرود 3
77 شهر بابک 3
78 شهرکرد 4
79 شیراز 3
80 طبس 2
81 فردوس 2
82 فسا 3
83 فیروز کوه 4
84 قائن 2
85 قراخیل 4
86 قروه 4
87 قزوین 4
88 قم 3
89 قوچان 4
90 کاشان 3
91 کاشمر 2
92 کرج 4
93 کرمان 3
94 کرمانشاه 4
95 کنگاور 4
96 کهنوج 1
97 کوهرنگ 6
98 گرگان 3
99 گرمسار 3
100 گلپایگان 5
101 گلمکان 4
102 گناباد 2
103 لار 1
104 ماکو 4
105 مراغه 4
106 مریوان 5
107 مسجدسلیمان 3
108 مشهد 4
109 ملایر 4
110 مهاباد 4
111 میانه 4
112 نایین 2
113 نهاوند 4
114 نهبندان 2
115 نیشابور 4
116 همدان 4
117 یاسوج 4
118 یزد 2
4-7-6 ضریب برف‌گیری

ضریب برف‌گیری، Cn، با توجه به اثر ناهمواری محیط و ساخت و ساز اطراف و میزان برف‌گیری بام ساختمان بر اساس جدول 6-7-2، در نظر گرفته می‌شود. برای مناطق 1 الى 3 بار برف، این ضریب برابر یک در نظر گرفته می‌شود.

جدول 6-7-2 ضریب برف‌گیری، Cn

نوع ناحیه بام برف‌ریز بام نیمه‌برف‌گیر بام برف‌گیر
پرتراکم 0/9 1/0 1/1
باز 0/8 0/9 1/0

در جدول 6-7-2، بام برف‌ریز بامی است که بالاتر از محیط اطراف می‌باشد و محافظتی از اطراف وجود ندارد. اگر واحدهای تأسیساتی بزرگ بر روی بام وجود داشته باشند یا ارتفاع دست انداز بام و سایر برجستگی‌ها از روی بام بیشتر از ارتفاع برف متوازن، hb=Pr/γ، باشد، در این صورت آن بام نمی‌تواند در گروه بام برف‌ریز قرار گیرد. موانع اطراف ساختمان تا فاصله ده برابر h0 می‌توانند برای برف بام آن ساختمان محافظت ایجاد کرده و در آن صورت بام را نمی‌توان در گروه بام برف‌ریز دانست. h0، فاصله قائم از روی مرتفع‌ترین مانع تا روی بام می‌باشد. وزن مخصوص برف، γ، را می‌توان از رابطه 6-7-2 محاسبه کرد.

(2-7-6) γ= 0/43Ps+2/2      kN/m3

بام برف‌گیر بامی است که از تمام جوانب، پایین‌تر از موانع متصل به آن و یا موانع اطراف می‌باشد. بام‌های غیربرف‌گیر و غیربرف‌ریز، بام‌های نیمه‌برف‌گیر محسوب می‌شوند. نوع ناحیه که در جدول 6-7-2 برای تعیین ضریب برف‌گیری استفاده می‌شود، باید بیانگر شرایط پیش بینی شده در دوره عمر مفید ساختمان مورد نظر باشند. برای هر جهت باد، نوع ناحیه بر اساس مشخصات هریک از دو قطاع 45 درجه در دو طرف جهت مورد نظر باد تعیین و هر کدام که بیشترین اثر را دارد انتخاب می‌شود. دو ناحیه به صورت زیر تعریف می‌شوند:

ناحیه پرتراکم– مناطق با تراکم ساختمانی شهری یا در مجاورت جنگل‌های انبوه شامل ناهمواری و موانع متعدد و متراکم با ارتفاع 9 متر یا بیشتر

ناحیه باز– محدوده‌ای که در آن ساختمان‌ها، درختان با موانع دیگر به صورت پراکنده قرار گرفته و یا در مجاورت دریاچه، دریا، ساحل باز یا همراه با پوشش‌های گیاهی کم ارتفاع واقع شده است. ضمنا مناطقی که در آنها تراکم ساختمان‌ها یا موانع یا ارتافع آنها شرایط ناحیه پرتراکم را نداشته باشند، مشابه ناحیه باز تلقی می شوند.

5-7-6 ضریب شرایط دمایی

ضریب شرایط دمایی، Ch، از جدول 6-7-3، با توجه به شرایط مورد انتظار ساختمان در سال‌های عمر مفید تعیین می‌شود.

 جدول 6-7-3 ضریب شرایط دمایی، Ch

تمام ساختمان‌ها به جز موارد زیر 1/0
ساختمان‌هایی که همیشه در دمای کمی بالاتر از صفر درجه سانتی‌گراد نگهداری می‌شوند. 1/1
ساختمان‌های بدون گرمایش و ساختمان‌هایی که زیر بام آنها باز است 1/2
ساختمان‌هایی که همیشه دمای آنها زیر صفر درجه نگهداشته می‌شود. 1/3
6-7-6 ضریب شیب

برای بام‌های مسطح، ضریب شیب، Cs، برابر واحد می‌باشد. برای بام‌های شیب‌دار ضریب شیب بر حسب زاویه شیب، α، به صورت زیر تعیین می‌شود:

(3-7-6-الف) 6-7-3-الف
(3-7-6-ب) 6-7-3-ب
(3-7-6-پ) 6-7-3-پ

زاویه α0، طبق بند 6-7-6-1، با توجه به شرایط سطح شیب‌دار مشخص می‌شود.

1-6-7-6 اگر سطح بام لغزنده بوده و لغزش برف بر روی سطح شیب‌دار بدون مانع باشد و همچنین فضای کافی پایین‌تر از لبه بام برای ریزش برف موجود باشد، مقدار α0 برای Ch=1 برابر پنج درجه، برای Ch=1/1 برابر ده درجه و برای مقادیر بیشتر Ch برابر پانزده درجه خواهد بود. بام‌های لغزنده شامل پوشش‌های فلزی، سنگبرگ، شیشه‌ای و پوشش لاستیکی، پلاستیکی و قیراندود با سطوح صاف و هموار می‌باشند. غشاهای دارای سطوح آجدار را نمی‌توان صاف در نظر گرفت . ورقه‌های پوشش آسفالتی و چوبی لغزنده محسوب نمی‌شوند.

در صورت عدم وجود شرایط لغزنده یا مانع دار بودن بام، مقدار α0 برای Ch=1 برابر °30 و برای Ch های بیشتر برابر °45 می‌باشد.

2-6-7-6 در بام‌های قوسی ضریب اثر شیب باید با توجه به شیب قوس در طول آن تعیین گردد. برای این منظور کافی است قوس به صورت یک چند ضلعی درنظر گرفته شود و ضریب اثر شیب برای هر یک از اضلاع بر حسب زاویه ضلع با افق و بر طبق بند 6-7-6 تعیین گردد. تعداد قطعات در هر نیمه قوس نباید از سه قطعه کمتر باشد. برای قسمت‌های با شیب بیشتر از هفتاد درجه بار برف در نظر گرفته نشده و این نواحی جزو تقسیمات قوس درنظر گرفته نمی‌شود.

3-6-7-6 برای بام‌های کنگره‌ای و شیب‌دار دندانه‌ای ضریب شیب برای کلیه سطوح برابر یک خواهد بود.

4-6-7-6 برای طراحی طره لبه پایین بام، که در آن امکان تجمع برف وجود دارد، مقدار Pr باید دو برابر شود. طول ناحیه تجمع برف برابر طول طره خواهد بود ولی این طول مطابق شکل 6-7-1 لازم نیست از بر دیوار زیر سقف به سمت بیرون بیشتر از 1/5 متر در نظر گرفته شود. برای محاسبه Pr در این ناحیه، ضریب Cs برابر یک در نظر گرفته می‌شود. در صورتی که طول طره از 1/5 متر بیشتر باشد، در طول اضافی ضریب Ch بر اساس شرایط حرارتی این ناحیه محاسبه می‌شود.

مقدار با برف بر روی طره لبه پایین بام

شکل 6-7-1 مقدار با برف بر روی طره لبه پایین بام

7-7-6 بارگذاری‌های متوازن و نامتوازن

بارگذاری متوازن حالتی از بارگذاری برف بر روی بام ساختمان است که اثرات وزش باد یا نور خورشید، که باعث افزایش یا کاهش بار برف در بخش‌هایی از بام می‌شود را در نظر نمی‌گیرد. به واسطه وزش باد یا نور خورشید بر روی بام‌های شیب‌دار، امکان کاهش بارهای برف در وجوه رو به باد یا رو به خورشید و افزایش این بارها در نواحی پشت به باد وجود دارد. این موضوع موجب توزیع نامتوازن بار برف بر روی این نوع بام‌ها می‌شود. بنابراین علاوه بر بارگذاری متوازن برف، اثر بارگذاری نامتوازن برف نیز باید بطور جداگانه در نظر گرفته شود. در تعیین بار نامتوازن امکان وزش باد از تمام جوانب باید بررسی گردد. در نظر گرفتن حالت بار نامتوازن برف برای بام‌های تخت لازم نیست.

1-7-7-6 بام‌های با شیب دو و یا چند طرفه

برای بام‌های با شیب دو یا چند طرفه، بارگذاری متوازن و نامتوازن برف مطابق شکل 6-7-2 انجام می‌شود. در نظر گرفتن بار نامتوازن برف برای بام‌های با شیب کمتر از 4% و شیب بیشتر از 60% لازم نیست.

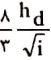
برای بام‌های با فاصله افقی بین تاج و پای شیب (W) کمتر از 6 متر با تیرهای با تکیه‌گاه ساده بین تاج و پای شیب، بار نامتوازن یکنواخت برف در قسمت پشت به باد مطابق شکل با شدت IsPs و در قسمت رو به باد بدون بار برف در نظر گرفته شود. برای سایر بام‌ها، بار نامتوازن شامل بار گسترده  0/3Pr در سمت بادگیر و در سمت پشت به باد Pr به اضافه سربار به شدت اضافه سربار سطح افقی بر واحد سطح افقی و در فاصله افقی  اضافه سربار فاصله افقی از تاج شیب به سمت پای شیب خواهد بود. i، بیانگر شیب سقف (تانژانت زاویه شیب) مطابق شکل می‌باشد. ارتفاع انباشت برف، hd بر حسب متر از رابطه زیر بدست می‌آید:

(4-7-6) 6-7-4

در رابطه فوق، lu برابر با W در قسمت رو به باد بر حسب متر می‌باشد. چنانچه W کمتر از 6 متر باشد، lu برابر 6 متر در نظر گرفته می‌شود.

بار متوازن و نامتوازن برف در بام‌های با شیب دو یا چند طرفه

شکل 6-7-2 بار متوازن و نامتوازن برف در بام‌های با شیب دو یا چند طرفه

2-7-7-6 بام‌های قوسی

برای بام‌های قوسی، بارگذاری متوازن و نامتوازن برف مطابق شکل 6-7-3 انجام می‌شود. در این بام‌ها، اگر شیب خط رابط از تاج به پای قوس (با نقطه‌ای که شیب خط مماس بر قوس در آن نقطه 70 درجه باشد) کمتر از ده درجه و یا بیشتر از 60 درجه باشد، منظور کردن بار نامتوازن ضروری نیست. در غیر این صورت، در بارگذاری بار نامتوازن برای بخش رو به باد، بار برف در نظر گرفته نخواهد شد و برای قسمت پشت به باد، توزیع بار برف مطابق شکل خواهد بود. برای بخش‌هایی از بام با شیب بیشتر از 70 درجه بار برف لحاظ نخواهد شد. در توضیحات زیر و شکل 6-7-3 مقدار Pr با Cs=1 محاسبه شده است.

بار متوازن و نامتوازن در بام‌های قوسی

شکل 6-7-3 بار متوازن و نامتوازن در بام‌های قوسی

الف- اگر شیب پای بام کمتر یا برابر 30 درجه باشد، مقدار شدت بار در تصویر افقی بام در پای شیب از مقدار 2PrCs/Cn،  محاسبه شده برای شیب پای بام، بطور خطی به مقدار 0/5Pr، در تاج کاهش خواهد یافت (شکل الف).

ب- اگر شیب پای بام بین 30 و 70 درجه باشد، مقدار شدت بار برف در تصویر افقی بام از  0/5Pr (با Cs=1) در تاج بطور خطی تا مقدار 2PrCs/Cn (محاسبه شده برای شیب 30 درجه) در محل شیب 30 درجه افزایش داده شده و سپس به مقدار 2PrCs/Cn  در پای بام (محاسبه شده برای شیب پای بام) به طور خطی کاهش داده می‌شود (شکل ب).

پ- اگر شیب پای بام بیشتر از 70 درجه باشد. برای ناحیه پایین‌تر از شیب 70 درجه بار برف صفر در نظر گرفته شده و برای بقیه بام مطابق حالت ب عمل خواهد شد(شکل پ).

اگر در کمتر از یک متری پای بام، زمین و یا بام دیگری قرار دارد، برای دو حالت ب و پ، مقدار شدت بار برف برای ناحیه با شیب بیشتر از 30 درجه کاهش داده نشده و برابر مقدار محاسبه شده در شیب 30 درجه تا لبه بام درنظر گرفته خواهد شد. (قسمت خط چین در اشکال ب وپ)

3-7-7-6 بام‌های دندانه دار، کنگره‌ای و تاوه چین دار

در این گونه بام‌ها، اگر شیب بیشتر از 3 درصد باشد، بار برف نامتوازن در نظر گرفته می‌شود. مقدار بار متوازن برای این گونه بام‌ها مطابق شکل 6-7-4 برابر Pr با لحاظ Cs=1 می‌باشد (بند 6-7-6-3). شدت بار برف نامتوازن در تصویر افقی، از نصف مقدار بار برف متوازن در نقاط تاج بطور خطی به مقدار 2Pr/Cn در نقاط قعر بام (با لحاظ Cs=1) افزایش می‌یابد.

بار متوازن و نامتوازن در بام‌های دندانه دار

شکل 6-7-4 بار متوازن و نامتوازن در بام‌های دندانه‌دار

4-7-7-6 گنبدها

گنبد و یا پوشش‌های مدور مشابه به چهار ربع (قطاع نود درجه) در پلان تقسیم شده و قطاع پشت به باد به طور جداگانه مطابق شکل 6-7-5، و مشابه بند 6-7-7 بصورت پشت به باد بارگذاری می‌شود. از هر لبه مشترک قطاع مورد نظر با قطاع مجاور، بار برف به تدریج بصورت خطی تا مقدار صفر در ربع قطاع مجاور کاهش داده می‌شود. زاویه کل بخش بارگذاری شده پشت به باد در مجموع 135 درجه خواهد بود. برای بخش رو به باد باقی مانده که زاویه کل آن 225 درجه در پلان است، بار برف لحاظ نخواهد شد.

بار متوازن و نامتوازن در بام‌های گنبدی یا مدور

شکل 6-7-5 بار متوازن و نامتوازن در بام‌های گنبدی یا مدور

8-7-6 نامناسبترین وضع بارگذاری

برای بام‌های دارای تیرهای ممتد چند دهانه، مطابق شکل 6-7-6 سه حالت زیر در نظر گرفته شود:

– بار کامل برف متوازن بر روی هر یک از دهانه‌های انتهایی و نیم بار برف متوازن بر روی سایر دهانه‌ها (شکل الف)

– نیم بار برف متوازن بر روی هر یک از دهانه‌های انتهایی و بار کامل برف متوازن بر روی سایر دهانه‌ها (شکل ب)

– تمام ترکیب‌های ممکن بار کامل برف متوازن بر روی دو دهانه مجاور و نیم بار برف متوازن بر روی سایر دهانه‌ها (شکل پ)

* از آنجایی که در صورت وجود تیر طره، تکیه‌گاه سمت چپ وجود نخواهد داشت، این تکیه‌گاه در شکل به صورت خط چین نمایش داده شده است.

نامناسب‌ترین وضع بارگذرای تیرهای ممتد در بام

شکل 6-7-6 نامناسب‌ترین وضع بارگذرای تیرهای ممتد در بام

بخش طره به صورت یک دهانه جداگانه لحاظ می‌شود. اعمال ضوابط این بخش برای اعضای عمود بر خط الرأس سقف شیب‌دار دو طرفه با شیب بیشتر از چهار درصد ضروری نیست. برای سایر انواع سازه‌ها (غیر از تیرهای ممتد)، امکان ایجاد بیشترین اثر ناشی از بارگذاری بخشی، از طریق کاهش بار برف متوازن به نصف در بخش‌هایی از بام باید بررسی شود.

9-7-6 انباشتگی برف در بام‌های پایین‌تر

برای مناطق 4، 5 و 6 بار برف، بام باید برای تحمل بارهای انباشته شده برف ناشی از سایه و باد قسمت‌های بالاتر همان ساختمان یا بلندی‌ها و ساختمان‌های مجاور طراحی شود.

1-9-7-6 بام پایین‌تر در ساختمان‌های با بام پله‌ای

مطابق شکل 6-7-7 برف بر اثر وزش باد ممکن است از قسمت بالاتر بام ساختمان بر روی بام پایین‌تر آن ریزش کند (انباشت پشت به باد) و یا باد در جهت مقابل بار برف را بر روی بام پایین‌تر در مجاورت قسمت بلندتر انباشته سازد (انباشت رو به باد). مقدار انباشت بار برف مطابق شکل 6-7-8 به بار متوازن اضافه خواهد شد. چنانچه شرط 0/2> hc/hb برقرار باشد، نیازی به درنظر گرفتن انباشتگی برف نیست. hb=Pr/γ، ارتفاع بار برف متوازن و hc برابر ارتفاع نزدیک‌ترین نقطه بام مجاور بالاتر از روی برف متوازن روی بام پایین‌تر می‌باشد. هر دو امکان انباشت پشت به باد و رو به باد باید مطابق حالت‌های الف و ب در نظر گرفته شود:

الف- در حالت پشت به باد، شدت بار برف انباشت برابر مقدار Pd=γhd  در پای دیوار قسمت بلندتر خواهد بود. hd از رابطه 6-7-4 بدست می‌آید و در آن رابطه lu بیانگر طول بام بالاتر می‌باشد.

وجه‌های رو به باد و پشت به باد

شکل 6-7-7 وجه‌های رو به باد و پشت به باد

نمایش برف انباشته شده بر بام پایین‌تر

شکل 6-7-8 نمایش برف انباشته شده بر بام پایین‌تر

ب- برای حالت رو به باد، طول بام پایین‌تر برابر lu در نظر گرفته شده و سه چهارم مقدار حاصل از رابطه 6-7-4، برای hd به عنوان ارتفاع برف انباشت بر روی بام مورد نظر در مجاورت بخش بلندتر در نظر گرفته می‌شود. اگر این مقدار از مقدار hd حالت الف بیشتر بود، نتیجه حالت الف ملاک بارگذاری انباشت برف خواهد بود.

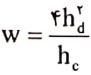
چنانچه مقدار hd محاسبه شده مساوی یا کمتر از hc باشد، طول توزیع مثلثی انباشت برف برابر W=4hd و اگر مقدار hd از hc بیشتر بود، مقدار طول انباشتگی از رابطه (6-7-5) بدست می‌آید.

(5-7-6) 6-7-5

ارتفاع انباشت مثلثی در پای ناحیه بلندتر مقدار حداکثر hd را داشته و ارتفاع انباشت برف به طور خطی به صفر در فاصله w از آن کاهش داده می‌شود. مقدار w از مقدار 8hc بیشتر در نظر گرفته نخواهد شد. اگر w از طول بام مورد نظر، lr، بیشتر باشد مقدار ارتفاع برف در لبه انتهایی بام برابر hd(w-lr)/w بوده و برف انباشت توزیع ذوزنقه‌ای خواهد داشت.

2-9-7-6 بام پایین‌تر در ساختمان مجاور

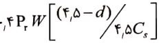
اگر فاصله افقی دو ساختمان، d، بیشتر از 6 متر یا بیشتر از 6 برابر اختلاف تراز بام آنها، h، باشد، نیازی به در نظر گرفتن بار انباشتگی برف بر روی بام پایین‌تر نمی‌باشد. در غیر اینصورت مطابق شکل 6-7-9 بار انباشتگی بر روی بام پایین‌تر بر اساس قسمت الف بند 6-7-9-1، برای حالت پشت به باد، با اختیار ارتفاع انباشت برف برابر کمترین مقادیر hd (بر اساس طول بام ساختمان بلندتر) و 6/(6h-d) محاسبه می‌شود. طول ناحیه مثلثی برابر مقدار کمتر 6hd و (6h-d) درنظر گرفته می‌شود. h بیانگر اختلاف تراز لبه بام بلندتر با لحاظ دست انداز و روی لبه بام پایین بدون لحاظ دست انداز می‌باشد.

برای حالت رو به باد (شکل 6-7-10) محاسبه بر اساس قسمت ب بند 6-7-9-1 انجام می‌شود. در مجاورت ساختمان بلندتر مقدار حداکثر انباشت فرض شده و از توزیع مثلثی حاصل، بخشی از توزیع برف انباشت که در بین دو ساختمان قرار می‌گیرد از بارگذاری حذف می‌گردد.

بار انباشتگی برف پشت به باد روی بام پایین‌تر ساختمان مجاور

شکل 6-7-9 بار انباشتگی برف پشت به باد روی بام پایین‌تر ساختمان مجاور

بار انباشتگی برف رو به باد روی بام پایین‌تر ساختمان مجاور

شکل 6-7-10 بار انباشتگی برف رو به باد روی بام پایین‌تر ساختمان مجاور

10-7-6 انباشتگی برف در اطراف قسمت‌های بالا آمده و دست انداز بام

برای مناطق 4، 5 و 6 بار برف، انباشتگی برف در اطراف قسمت‌های بالا آمده از بام از قبیل خرپشته و فضاهای تأسیساتی و پشت دست انداز اطراف بام باید مطابق بند 6-7-9-1 در نظر گرفته شود. ارتفاع حداکثر انباشت برف را می‌توان سه چهارم مقدار حاصل از رابطه 6-7-5 در نظر گرفت. در مورد دست اندازها، طول بام در جهت عمود بر دست انداز برای lu منظور خواهد شد، ولی در مورد قسمت‌های بالا آمده از بام، مقدار بزرگتر طول رو به باد و طول پشت به باد بر روی بام برای lu منظور خواهد شد. اگر عرض وجه قسمت بالا آمده بر روی بام کمتر از 4/5 متر داشته باشد، برای آن لحاظ بار برف انباشت لازم نیست.

11-7-6 برف لغزنده

در مناطق 4، 5 و 6 بار برف، بار حاصل از لغزش برف از بام شیب‌دار بالاتر و ریختن آن به سقف پایین‌تر باید برای بام‌های لغزنده با شیب بیشتر از دو درصد و برای سایر بام‌های با شیب بیشتر از 15 درصد در نظر گرفته شود. مقدار کل بار بر واحد طول در راستای لبه پایین بام بالاتر برابر 0/4PrW/Cs بر روی بام پایین در نظر گرفته می‌شود. W، فاصله افقی لبه پایین تا خط الرأس سقف شیب‌دار بالاتر است. این بار بطور یکنواخت از بر لبه پایین بام بالاتر تا فاصله 4/5 متر از آن بر روی بام پایین به صورت نواری توزیع می‌شود. اگر طول بام پایینی کمتر از 4/5  متر باشد، مقدار بار به نسبت طول بام بر 4/5 متر کاهش می‌یابد. برای دو سازه مجاور، بار برف لغزنده در صورتی در نظر گرفته می‌شود که h/d>1 و d<4.5 متر باشد (h و d مطابق شکل 6-7-9). طول نوار بار برف لغزیده بر روی بام پایین‌تر برابر (4/5 - d) متر بوده و مقدار بار برف بر واحد طول نوار برابر مقدار بار برف بر واحد طول نوار در نظر گرفته خواهد شد.

بار برف لغزنده به بار متوازن اضافه می‌شود و اثر آن به صورت همزمان با برف نامتوازن، انباشتگی برف، بارگذاری بخشی برف و اثر باران به برف درنظر گرفته نمی‌شود.

12-7-6 سربار باران بر برف

در مناطق 2 و 3 بار برف، برای بام با شیب کمتر از 15/W درجه (W فاصله افقی لبه پایین تا خط الرأس سقف شیب‌دار بر حسب متر می‌باشد)، سربار باران به مقدار 125 کیلونیوتن بر متر مربع به بار برف متوازن اضافه خواهد شد. این بار لازم نیست همراه با اثر انباشتگی، لغزش، بار برف نامتوازن یا بار بارگذاری بخشی برف در نظر گرفته شود.

13-7-6 ناپایداری برکه‌ای و انباشتگی آب

در طراحی بام باید ناپایداری برکه‌ای شدن بررسی شود. برای بام‌های با شیب کمتر از دو درصد و بام‌های با امکان انباشتگی آب، به دلیل گرفتگی آبرو، تغییرشکل بام بر اثر بار کامل برف، با لحاظ اثر برکه‌ای شدن، محاسبه و ارزیابی می‌شود.

14-7-6 بام‌های ساختمان‌های موجود

در مناطق 5 و 6 بار برف، در صورت ساخت ساختمان جدید بصورت چسبیده یا در فاصله کمتر از 6 متر از ساختمان موجود، علاوه بر طراحی ساختمان جدید برای بار برف، اثرات اضافه شدن بار برف بر بام ساختمان موجود باید بررسی شود. ضمناً در مناطق 3 و 4 بار برف نیز در صورت ساخت ساختمان جدید بصورت چسبیده به ساختمان موجود (به عنوان نمونه مطابق شکل 6-7-11)، اثر انباشتگی برف بر روی ساختمان‌های جدید و موجود باید در نظر گرفته شود.

اثر بام‌های موجود بر بار برف

شکل 6-7-11 اثر بام‌های موجود بر بار برف

مشخصات آیین‌نامه

تعداد فصول: 16 فصل
سال انتشار: 1398
ویرایش: چهارم

جستجو در آیین‌نامه‌ها

ناشرین آیین‌نامه‌ها

مقررات ملی ساختمان

قوانین، آیین‌نامه‌ها، شیوه‌نامه‌ها، دستورالعمل‌ها و بخشنامه‌های ساختمان

نظام مهندسی ساختمان

ضوابط، بخشنامه‌ها، نشریه‌ها و معیار‌های فنی نظام مهندسی ساختمان

مرکز تحقیقات راه، مسکن و شهرسازی

قوانین، آیین‌نامه‌ها و بخشنامه‌های مرکز تحقیقات راه، مسکن و شهرسازی

سازمان برنامه و بودجه کشور

ضوابط، بخشنامه‌ها و قوانین سازمان برنامه و بودجه کشور

سازمان ملی استاندارد ایران

استانداردهای کمیته‌های مختلف سازمان ملی استاندارد ایران

سازمان تامین اجتماعی کشور

مقررات و آیین‌نامه‌های درمانی و بیمه‌ای سازمان تامین اجتماعی کشور

ضوابط فنی و اجرایی شهرداری‌ها

ضوابط، بخشنامه‌ها، نشریه‌ها و معیار‌های فنی شهرداری‌های کشور

ضوابط فنی و اجرایی وزارت بهداشت

ضوابط، بخشنامه‌ها، نشریه‌ها و معیار‌های فنی وزارت بهداشت

ضوابط فنی و اجرایی وزارت نیرو-آبفا

ضوابط، بخشنامه‌ها، نشریه‌ها و معیار‌های فنی وزارت نیرو-آبفا

ضوابط سازمان بنادر و دریانوردی

ضوابط، بخشنامه‌ها، نشریه‌ها و معیار‌های فنی سازمان بنادر و دریانوردی

ضوابط فنی و اجرایی وزارت نفت

ضوابط، بخشنامه‌ها، نشریه‌ها و معیار‌های فنی وزارت نفت

قوانین و مقررات مالیاتی کشور

قوانین، مقررات، ضوابط و دستورالعمل‌هاى مالیاتى سازمان مالیات كشور

تازه‌ترین فصل‌ها

واژه‌نامه

مبحث هفدهم مقررات ملی ساختمان (سامانه گاز طبیعی در ساختمان)

پیوست ۶ دسته‌بندی نوع دستگاه‌‌‌های گازسوز

مبحث هفدهم مقررات ملی ساختمان (سامانه گاز طبیعی در ساختمان)

پیوست 5 شکل‌ها

مبحث هفدهم مقررات ملی ساختمان (سامانه گاز طبیعی در ساختمان)

پیوست 4 جدول‌ها

مبحث هفدهم مقررات ملی ساختمان (سامانه گاز طبیعی در ساختمان)

پیوست 3 ایمنی و ضوابط بهره‌برداری و نگهداری از سیستم لوله‌‌کشی گاز

مبحث هفدهم مقررات ملی ساختمان (سامانه گاز طبیعی در ساختمان)

پیوست 2 نمونه محاسبات

مبحث هفدهم مقررات ملی ساختمان (سامانه گاز طبیعی در ساختمان)

پیوست 1 راهنمای ایمنی

مبحث هفدهم مقررات ملی ساختمان (سامانه گاز طبیعی در ساختمان)