آیین‌نامه‌ها

صفحه اصلی / آیین‌نامه‌ها / مبحث ششم مقررات ملی ساختمان (بارهای وارد بر ساختمان)
5-6 بار زنده

5-6 بار زنده

1-5-6 تعاریف

بار زنده: باری غیردائمی است که در حین بهره‌برداری از ساختمان با سایر سازه‌ها به آنها وارد شود. بار زنده شامل بارهای حین ساخت نمی‌شود.

بار زنده بام : باری غیردائمی است بر روی بام که در حین بهره‌برداری یا انجام تعمیرات به آن وارد شده یا توسط اشیاء متحرکی چون گلدان و لوازم دیگر که ارتباطی با استفاده از ساختمان در طول عمر بهره‌برداری آن ندارند، به آن اعمال شود. این بار شامل بارهای حین ساخت یا بارهای محیطی مانند برف و باران نمی‌شود.

بارحین ساخت: باری است که در ضمن انجام عملیات ساختمانی به طور موقت به ساختمان وارد می‌شود. مقدار این بار باید هماهنگ با فرایند اجرای ساختمان به طور مناسبی در طراحی و اجرا مورد نظر قرار گیرد.

سیستم جان‌پناه: سیستمی از قطعات شامل مانع، مهارها و ادوات اتصال به سیستم سازه‌ای است که در نزدیکی لبه‌های پرتگاهها با هدف به حداقل رساندن امکان سقوط افراد با تجهیزات با مصالح از آن نقاط به کار می‌رود.

سیستم جان‌پناه پارکینگ: سیستمی از قطعات، شامل موانع، مهارها و ادوات اتصال به سیستم سازه‌ای است که مانع از حرکت وسائل نقلیه به سمت لبه‌های بدون حفاظ پارکینگ یا برخورد آن به دیواره‌های پارکینگ یا راه عبور وسایل نقلیه می‌شوند.

سیستم میله دستگیره: یک میله به همراه مهارهای مربوطه و ادوات اتصال آن به سیستم سازه‌ای که برای تحمل بار با وزن، در مکان‌هایی مانند توالت، دوش و وان به کار می‌رود.

سیستم نرده: نرده‌ای که برای حفظ تعادل با طی مسیر با دست مورد استفاده قرار گرفته و شامل مهارها و اتصالات آن به سیستم سازه‌ای می‌باشد.

فضابند: سازه واره ایست که به طور کامل یا موضعی خودایستا بوده و دیوار و سقفی برای جلوگیری از ورود حشرات، نور آفتاب یا جریان باد داشته باشد. جنس دیوار و سقف می‌تواند ورق‌های شفاف پلاستیکی یا پلی کربنات، آلومینیوم، پلاستیک با توری باشد که فضایی مثل استخر، تاسیسات و تولیدات کشاورزی (گلخانه) یا محوطه برگزاری مراسم را از محیط اطراف جدا می‌کند.

نردبان ثابت: نردبانی که بطور دائمی به یک سازه، ساختمان با تجهیزات متصل شده باشد.

2-5-6 بار زنده گسترده یکنواخت کف‌ها و بام‌ها
1-2-5-6  بار زنده طراحی

بار زنده‌ای که در طراحی ساختمان‌ها و سایر سازه‌ها به کار می‌رود، باید بیشترین بار مورد انتظار برای کاربری مورد نظر بوده و در هیچ حالتی از حداقل بار زنده گسترده یکنواخت، L0، داده شده در جدول 6-5-1 با در نظر گرفتن میزان کاهش‌های مجاز کمتر نباشد.

2-2-5-6 ضوابط مربوط به تیغه‌ها و جداکننده‌ها

در ساختمان‌های اداری و یا سایر ساختمان‌هایی که در آنها احتمال استفاده از تیغه‌ها و جداکننده‌های داخلی با یا بدون جابجایی موقعیت آنها وجود دارد، باید وزن آنها بدون توجه به اینکه در نقشه‌ها نشان داده شده یا نشده باشند، منظور گردند.

در ساختمان‌هایی که جداکننده‌های سبک نظیر دیوارهای ساندویچی و ورق گچی با وزن هر متر مربع سطح کمتر از 0/4 کیلونیوتن بر متر مربع دیوار به کار برده می‌شوند، بار گسترده معادل وارد بر کف را می‌توان 0/5 کیلونیوتن بر متر مربع در نظر گرفت. در سایر موارد، بار گسترده معادل وزن جداکننده‌ها و تیغه‌ها بر کف را نباید کمتر از 1 کیلونیوتن بر متر مربع منظور نمود. بار گسترده معادل جداکننده‌ها در محاسبات جزو بار زنده محسوب می‌گردند اما در تعیین نیروی زلزله این بارها باید در محاسبه وزن موثر لرزه‌ای به بار مرده اضافه شوند.

چنانچه وزن هر متر مربع سطح تبعه‌ها از 1 کیلونیوتن بیشتر باشد، وزن آنها بعنوان بار مرده در نظر گرفته می‌شود. در مورد تیغه‌هایی که وزن هر متر مربع سطح آنها بیش از 2 کیلونیوتن باشد. لازم است بار مرده تیغه در محلی واقعی خود اعمال شود.

استثناء : اگر حداقل بار زنده، L0، از 4 کیلونیوتن بر متر مربع بیشتر باشد، نیازی به در نظر گرفتن بار زنده جدا کننده‌ها نیست.

3-2-5-6 نامناسب‌ترین وضع بارگذاری

در تیرهای یکسره و در قاب‌های نامعین در مواردی که بار زنده بیشتر از 4 کیلونیوتن بر متر مربع با بیشتر از یک و نیم برابر بار مرده است، موقعیت قرارگیری بار زنده در دهانه‌های مختلف باید طوری انتخاب شود که بیشترین اثر مورد نظر را در عضو سازه‌ای ایجاد نماید. برای این منظور کافی است علاوه بر حالت قرار دادن بار زنده در تمام دهانه‌ها، حالت‌های بارگذاری زیر نیز در نظر گرفته شوند:

الف- قرار دادن بار زنده در دو دهانه مجاور هم

ب- قرار دادن بار زنده در دهانه‌های یک در میان

3-5-6 بار زنده متمرکز کف‌ها و بام‌ها

کف‌ها، بام‌ها و سایر سطوح مشابه باید به نوعی طراحی شوند که بتوانند جدا از بارهای زنده گسترده یکنواخت، طبق مفاد بخش 6-5-2، بارهای متمرکز داده شده در جدول 6-5-1 را نیز چنانچه منجر به آثار بزرگ‌تر می‌شوند بنحوی ایمن تحمل نمایند. در صورت مشخص نبودن ابعاد بار متمرکز، بار وارده باید بصورت یکنواخت بر روی سطحی به ابعاد 750 × 750 میلیمتر توزیع شده و محل آن طوری در نظر گرفته شود که بیشترین اثر ناشی از بارگذاری را در اعضا ایجاد نماید.

4-5-6 بار زنده مشخص نشده کف‌ها

بار زنده کاربری‌ها و فصلهایی که در این فصل نام برده نشده‌اند و یا در مواردی که کاربری بخشی از ساختمان با موارد مندرج در جدول شماره 6-5-1 تطابق نداشته باشد. با در نظر گرفتن نکات زیر تعیین می‌شود. در هر حال مقدار این بار نباید کمتر از 1/5 کیلونیوتن بر متر مربع در نظر گرفته شود:

الف) وزن افرادی که احتمالاً در آنجا تجمع خواهند نمود.

ب) وزن تجهیزات و دستگاههائی که احتمالاً در آنجا قرار خواهند گرفت.

پ) وزن موادی که احتمالاً در آنجا بار خواهد شد.

ت) استفاده از مفاد آیین‌نامه‌های معتبر

5-5-6 کاهش بارهای زنده طبقات

مقادیر حداقل بارهای زنده گسترده (L) طبقات راکه در جدول 6-5-1 داده شده و می‌توان بر طبق ملاحظات بندهای 6-5-5-1 الی 6-5-5-5 برای محاسبه بار زنده طراحی (L) کاهش داد. ضوابط مربوط به کاهش بار زنده بام‌ها در بند 6-5-6 ارائه شده است.

1-5-5-6 کاهش در بارهای زنده گسترده یکنواخت

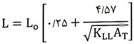
بار زنده گسترده اعصایی را که برای آنها، مقدار KLL AT برابر با 37 متر مربع یا بیشتر باشد، می‌توان با درنظر گرفتن محدودیتهای بندهای 6-5-5-2 تا 6-5-5-5، طبق رابطه (6-5-1) کاهش داد:

(1-5-6) 6-5-1

که در آن:

L : بار زنده طراحی کاهش یافته در هر متر مربع، وارد شده بر عضو

Lo: حداقل بار زنده گسترده یکنواخت در هر متر مربع، وارد شده بر عضو (از جدول 6-5-1)

KLL: ضریب موقعیت عضو (از جدول 6-5-2)

AT: سطح بارگیر (متر مربع)

L برای اعضایی که بار یک طبقه را تحمل می‌کنند نباید از 0/5Lo، و برای اعضایی که بار دو طبقه و یا بیشتر را تحمل می‌کنند از 0/4Lo  کمتر باشد.

2-5-5-6 بارهای زنده سنگین

کاهش بارهای زنده بیش از 5 کیلونیوتن بر متر مربع مجاز نمی‌باشد.

استثناء: کاهش بارهای زنده اعضائی که بار دو طبقه یا بیشتر را تحمل می‌کنند، به میزان 20٪ مجاز می‌باشد.

3-5-5-6 محل عبور یا پارک خودروهای سواری

بارهای زنده محل عبور و یا پارک خودروهای سواری کاهش داده نمی‌شود.

استثناء: کاهش بارهای زنده اعضائی که بار 2 طبقه یا بیشتر را تحمل می‌کنند، به میزان 20٪ مجاز می‌باشد.

4-5-5-6 محل اجتماع و ازدحام

بار زنده محل‌های اجتماع و ازدحام کاهش نمی‌یابد.

5-5-5-6 محدودیت‌های مربوط به دال‌های یکطرفه

حداکثر سطح بارگیر AT برای دال‌های یکطرفه برابر حاصلضرب دهانه دال در عرضی برابر با 1/5 برابر دهانه دال (در جهت عمود بر آن) می‌باشد.

6-5-6 کاهش بارهای زنده بام

حداقل بار زنده گسترده یکنواخت بام، Lo، در جدول 6-5-1 را می‌توان طبق ضوابط بندهای 6-5-6-1 و 6-5-6-2 کاهش داد.

1-6-5-6 بام‌های تخت، شیب‌دار و قوسی

بار زنده بام‌های معمولی تخت، شیب‌دار و قوسی و سایبان‌ها را می‌توان با استفاده از رابطه 6-5-2 کاهش داد. در سازه‌هایی مانند گلخانه نیز که در آن از داربست‌های مخصوص عبور کارگران و حمل مصالح در زمان نگهداری و تعمیر استفاده می‌شود، مقادیر بار زنده بام نباید کمتر از مقدار داده شده توسط رابطه 6-5-2 باشد.

(2-5-6) 6-5-2

که در این رابطه:

Lr: بار زنده طراحی کاهش یافته بام در هر متر مربع تصویر افقی سطح نگهداری شده توسط عضو

L0 : حداقل بار زنده گسترده یکنواخت کاهش نیافته بام در هر متر مربع تصویر افقی سطح نگهداری شده توسط عضو (جدول 6-5-1)

ضرایب کاهش R1 و R2 مطابق روابط زیر تعیین می‌شوند:

(3-5-6) 6-5-3

که در آن AT سطح بارگیر عضو (بر حسب متر مربع) می‌باشد.ضریب R2 از رابطه 6-5-4 محاسبه می‌شود.

(4-5-6) 6-5-4

که در آن، برای بام‌های شیب‌دار، S شیب سقف (به درصد)، و در بامهای قوسی و گنبدی، S معادل 267 برابر نسبت ارتفاع به طول دهانه قوس است .

2-6-5-6 بام‌های دارای کاربری ویژه

برای بامهایی که محل اجتماع و ازدحام بوده و دارای کاربری‌های خاصی چون باغ بام و غیره می‌باشند، می‌توان بارهای زنده یکنواخت آنها را طبق ضوابط بخش 6-5-5 کاهش داد.

7-5-6 بارهای وارد بر سیستم‌های جان‌پناه پارکینگ، سیستم میله دستگیره، سیستم جان‌پناه، سیستم نرده و نردبان ثابت
1-7-5-6 بار وارد بر سیستم‌های نرده وجان‌پناه

سیستم نرده یا جان‌پناه باید طوری طراحی شود که یک بار متمرکز 1 کیلونیوتن وارد بر هر نقطه و در هر امتداد از آن را به نحوی که سبب ایجاد حداکثر اثر بار بر روی اجزاء سازه‌ای مربوط شود، تحمل کرده و آن را توسط تکیه گاههای خود به سازه منتقل نماید. همچنین نرده و یا جان‌پناه باید طوری طراحی شود که یک بار گسترده 0/75 کیلونیوتن بر متر طول را در هر امتدادی در راستای نرده و یا جان‌پناه تحمل کند. این بار لازم نیست که بصورت همزمان با بار متمرکز فوق در نظر گرفته شود. در سیستم‌های نرده و جان‌پناه که در محل‌های ازدحام و اجتماع قرار می‌گیرند بار گسترده خطی فوق باید به 2/5 کیلونیوتن بر مترطول افزایش یابد.

میله‌های میانی نرده‌ها و قطعات پر کننده میان آنها باید برای تحمل یک بار افقی 0/25 کیلونیوتن به صورت عمود بر روی سطحی به ابعاد حداکثر 300 × 300 میلی متر (با احتساب فضای خالی بین میله‌های نرده) به نحوی که سبب ایجاد حداکثر اثرات ناشی از آن بارگذاری گردد، طراحی شوند. عکس‌العمل‌های ناشی از این بارگذاری لازم نیست که به سایر بارهای مذکور در این بند اضافه گردد.

2-7-5-6 بار وارد به میله دستگیره

میله دستگیره باید بنحوی طراحی شود که یک بار متمرکز 1/2 کیلونیوتن وارد بر هر نقطه و در هر امتدادی از آن، بنحوی که حداکثر اثرات ناشی از بار را ایجاد کند، تحمل نماید.

3-7-5-6 بار وارد به سیستم جان‌پناه پارکینگ

سیستم جان‌پناه پارکینگ و اتصالات آن به سازه اصلی، در محل پارک خودروهای سواری باید برای یک بار متمرکز 30 کیلونیوتن که بصورتی افقی و در هر امتدادی به سیستم جان‌پناه پارکینگ وارد شود، طراحی گردد. در طراحی این سیستم، بار متمرکز فوق باید روی سطحی کوچکتر یا مساوی با 300 × 300 میلی متر و در ارتفاعی بین 450 تا 700 میلیمتر از کف پارکینگ و یا شیبراهه، بنحوی که بیشترین اثر را ایجاد کند، وارد شود. این بار لازم نیست بصورت همزمان با هر کدام از بارهای گفته شده برای سیستم‌های نرده و یا جان‌پناه در بند 6-5-7-1، اعمال شود. سیستم جان‌پناه پارکینگ اتوبوس‌ها و کامیون‌ها باید بر طبق آیین‌نامه بارگذاری پل‌ها، نشریه شماره 139 دفتر امور فنی و تدوین معیارها، سازمان مدیریت و برنامه ریزی کشور طراحی شود.

4-7-5-6 بار وارد برنردبان ثابت

حداقل بار زنده روی نردبان ثابت برابر با یک بار متمرکز 1/35 کیلونیوتن است که باید در هر نقطه‌ای و هر امتدادی که بیشترین اثر بار را بر روی عضو مورد نظر ایجاد کند، وارد گردد. این بار باید در هر سه متر از طول نردبان اعمال شود. موقعی که انتهای بالایی پایه‌های نردبان ثابت از سقف طبقه و یا محل اتکا بالاتر قرار گیرد، بخش امتداد یافته هر پایه باید بتواند یک بار زنده متمرکز 0/45 کیلونیوتن در هر امتدادی و در هر ارتفاعی تا بالای پایه را تحمل کند.

8-5-6 بارهای ضربه‌ای

در بارهای زنده مشخص شده در بخشهای 6-5-2 الی 6-5-4 اثرات ناشی از ضربه، در حد متعارف، منظور شده است. در طراحی اجزاء سازه‌هایی که در آنها شرایط ارتعاش و ضربه بطور غیرمتعارف موجود است، باید ملاحظات لازم در نظر گرفته شود. در صورت عدم انجام تحلیل‌های دینامیکی، برای سازه‌های عنوان شده در بندهای 6-5-8-1 الی 6-5-8-3 بارها باید با ضرائب ضربه تعیین شده بشرح زیر افزایش داده شوند.

1-8-5-6 آویزهای کششی نگهدارنده کف‌ها و بالکن‌ها: بار زنده باید در ضریب 1/33 ضرب شود.

2-8-5-6 سازه‌های نگهدارنده ماشین‌آلات: وزن ماشین، ملحقات و بارهای متحرک آنها باید در ضرائب مشخص شده در زیر ضرب شوند. در صورت تعیین ضریب ضربه بزرگتر توسط شرکتهای سازنده، باید از آن ضریب برای افزایش بار استفاده شود.

الف- ماشین‌آلاتی که دارای محور دورانی می‌باشند: ضریب 1/2

ب- ماشین‌آلاتی که دارای حرکت رفت و برگشتی می‌باشند: ضریب 1/5

3-8-5-6 سازه‌های نگهدارنده آسانسورها: وزن اتاقک، ماشین‌آلات، وزنه تعادل و بار زنده ناشی از وزن مسافران و وسائل باید در ضریب 2 ضرب شود، مگر آنکه بارهای اسمی ارائه شده توسط سازنده در ضریبی حداقل برابر این مقدار ضرب شده باشد.

9-5-6 بارهای جراثقال

بار زنده جراثقال به بار بهره‌برداری آن بستگی دارد. در جراثقال‌های پل‌دار و جراثقال‌های تک ریلی، بارهای طراحی تیرهای زیرسری به همراه اتصالات و نشیمن گاه‌های آنها باید در برگیرنده حداکثر بار چرخ پل جراثقال، ضربه قائم و بارهای جانبی و طولی ناشی از حرکت جراثقال باشند.

1-9-5-6 حداکثر بار چرخ جراثقال

حداکثر بار چرخ در جراثقال‌های پل‌دار شامل، بار ناشی از وزن پل به علاوه مجموع بار بهره‌برداری جراثقال و وزن ارابه، در موقعیتی از قرار گیری ارابه بر روی زیرسری که بیشترین اثر را در آن ایجاد نماید، می‌باشد.

2-9-5-6 نیروی ضربه قائم

برای در نظر گرفتن اثر ضربه قائم یا نیروی ارتعاشی ایجاد شده، حداکثر بار چرخ جراثقال باید مطابق با درصدهای زیر افزایش یابد:

جراثقال‌های تک ریلی موتوردار          25%

جراثقال‌های پل‌دار موتوری کابین دار یا دارای کنترل از راه دور   25%

جراثقال‌های پل‌دار موتوری با کنترل آویزی     10%

جراثقال‌های پل‌دار یا تک ریلی بدون موتور با ارابه و بالابر دستی   0%

3-9-5-6 بار جانبی

بار جانبی تیر زیر سری جراثقال دارای ارابه‌های برقی باید برابر 20 درصد مجموع بار ضریب‌دار جراثقال و وزن ارابه و بالابر در نظر گرفته شود. این بار به صورت افقی و در امتداد عمود بر محور تیر زیرسری (به سمت تیر زیرسری و یا در خلاف آن) و در سطح تماس چرخ با تیر زیر سری در نظر گرفته شده و با توجه به جزییات سیستم حرکتی چرخها و به نسبت سختی جانبی تیرهای زیر سری طرفین و سازه نگهدارنده آن‌ها توزیع می‌شود.

4-9-5-6 نیروی طولی

نیروی طولی وارد بر تیر زیرسری جراثقال به جز جراثقال پل‌دار با چرخ دنده دستی باید برابر 10 درصد حداکثر بار چرخ جراثقال محاسبه شود. بار طولی باید به صورت افقی، در امتداد محور تیر زیرسری و در هر یک از جهات در سطح تماس چرخ با تیر زیر سری اثر داده شود.

جدول 6-5-1 حداقل بارهای زنده گسترده یکنواخت L0 و بار زنده متمرکز کف‌ها

ردیف نوع کاربری بار گسترده
کیلونیوتن بر متر مربع
بار متمرکز کیلونیوتن
1 بام‌ها    
1-1 بام معمولی تخت، شیب‌دار و قوسی (1)1/5 1/3
2-1 بام با پوشش سبک 0/5 1/3
3-1 بام باغ (بام دارای باغچه و گلخانه) 5
4-1 بام از نوع پوشش پارچه‌ای با سازه اسکلتی 0/25 (غیرقابل کاهش) 1/3
5-1 بام با امکان تجمع و ازدحام بسته به نوع کاربری
6-1 قاب نگهدارنده فضابند 0/25 (غیرقابل کاهش، فقط به اعضای قابلها وارد می‌شود) 1
2 سالن‌ها و محل‌های تجمع و ازدحام در انواع ساختمان‌ها    
1-2 سالن‌های عمومی و محل‌های تجمع دارای صندلیهای ثابت (چسبیده به کف) (3)3
2-2 سالن‌های عمومی و محل‌های تجمع فاقد صندلی‌های ثابت (3)5
3-2 سالن غذاخوری و رستوران (3)5
4-2 سینما و تئاتر (3)5
5-2 صحنه سینما و تئاتر (3)7/5
6-2 سالن اجرای مراسم گروهی، اجرای سرود و … (3)7/5
7-2 شبستان مساجد و تکایا (3)6
8-2 سالن انتظار و ملاقات (3)5
9-2 پایانه مسافربری (3)6  
3 راهروها، راه پله‌ها (4) و بالکن‌ها در انواع ساختمان‌ها    
1-3 راهرو در معرض تجمع و ازدحام واقع در طبقه همکف (ورودی) 5
2-3 راهرو در معرض تجمع و ازدحام واقع در سایر طبقات مطابق بار زنده اتاق‌های مجاور
3-3 راه پله و راهرو منتهی به دربهای خروجی (4)5 (14)1/3
4-3 راه پله اضطراری 5 1/3
5-3 راهرو دسترسی برای امور تعمیر و نگهداری تاسیسات 2 1/3
6-3 بالکن 1/5 برابر بار زنده کف اتاق متصل به آن. (لازم نیست بیش از 5 کیلونیوتن بر متر مربع در نظر گرفته شود)
4 ساختمان‌ها و مجتمع‌های مسکونی    
1-4 اتاق‌ها و سایر فضاهای خصوصی شامل (سرویس‌ها- انبار- راهروها) 2
5 هتل‌ها – فروشگاه‌ها    
1-5 اتاق‌ها و سایر فضاهای خصوصی هتل‌ها، مهمانسراها و خوابگاهها 2
2-5 فروشگاه کوچک و خرده فروشی طبقه همکف (ورودی) 5 4/5
3-5 فروشگاه کوچک و خرده فروشی کف سایر طبقات 3/5 4/5
4-5 فروشگاه عمده فروشی – همه طبقات (15)(3)6 4/5
6 ساختمان‌های آموزشی – فرهنگی و کتابخانه‌ها    
1-6 کلاس درس، آزمایشگاه‌های سبک 2/5 4/5
2-6 اتاق مطالعه 3 4/5
3-6 مخزن کتاب یا اتاق بایگانی با قفسه‌های ثابت 2/5 به ازای هر متر ارتفاع، حداقل 7/5 4/5
4-6 مخزن کتاب یا محل بایگانی با قفسه‌های متحرک 4 به ازای هر متر ارتفاع، حداقل 10 7
5-6 راهروهای طبقه همکف (ورودی) 5 4/5
6-6 راهروهای سایر طبقات 4 4/5
7 ساختمان‌های اداری    
1-7 دفتر کار معمولی 2/5 9
2-7 سالن انتظار و ملاقات- راهرو طبقه همکف (ورودی) 4/5 9
3-7 راهرو سایر طبقات 3/5 9
8 ساختمان‌های صنعتی    
1-8 کارگاه‌های صنعتی سبک (6)(3)(2)6 9
2-8 کارگاه‌های صنعتی متوسط (6)(3)(2)10 11
3-8 کارگاه‌های صنعتی سنگین (6)(3)(2)12 14
9 ورزشگاه‌ها و تأسیسات تفریحی    
1-9 سالن ورزشی سبک مانند تنیس روی میز بیلیارد و … (3)3/5
2-9 سالن ورزشی و تمرینات بدنی (3)5
3-9 ورزشگاه دارای صندلی ثابت (5)(3)5
4-9 ورزشگاه فاقد صندلی ثابت یا دارای نیمکت (3)6
10 بیمارستان‌ها و مراکز درمانی    
1-10 اتاق بیمار 2 4/5
2-10 اتاق عمل، آزمایشگاه‌ها 3 4/5
3-10 راهرو طبقه اول 5 4/5
4-10 راهرو سایر طبقات 4 4/5
11 محلهای عبور و پارک خودروها    
1-11 محل عبور و پارک خودروهایی با وزن حداکثر تا 40  کیلونیوتن (7)(3)(2)4 (7)15
2-11 محل عبور و پارک خودروهایی با وزن 40 تا 90 کیلونیوتن (8)(7)(3) (2)6 (7)30
3-11  معابر و بخش‌هایی از محوطه با امکان عبور کامیون (8) (8)
12 سایر موارد    
1-12 آشپزخانه صنعتی و رختشوی خانه‌ها (9)6
2-12 اتاق آسانسور 3/6 1/3 (بر روی سطحی برابر 50×50 میلی متر وارد شود)
3-12 اتاق هواساز – پمپ و نظایر آن (9)5
4-12 انبار سبک در فضای داخل سقف کاذب 1
5-12 انبارها (10)(2)-
6-12 سردخانه‌ها 5 به ازای هر متر ارتفاع مفید، حداقل 15
7-12 کف کاذب برای اتاق‌های کامپیوتر 5 9
8-12 کف کاذب در فضاهای اداری 2/5 9
9-12 محل فرود بالگرد (13)و(12)و (11)3
10-12 موتورخانه (9)8/5

یادداشت‌های جدول 6-5-1:

1) چنانچه مقدار بار زنده گسترده یکنواخت بام پس از کاهش مطابق بخش 6-5-6 به کمتر از 1 کیلونیوتن بر مترمربع برسد، اعضائی که تحت این بار قرار گرفته و وظیفه یکپارچگی و پیوستگی سقف را نیز به عهده دارند، باید مطابق بند 6-5-2-3 برای نامناسبترین وضع بارگذاری طراحی شوند.

2) اعضای خرپاها و تیرهای اصلی پوشش سالنهای صنعتی، پارکینگ‌های تعمیراتی، انبارها … باید علاوه بر بارهای زنده وارد به سقف، یک بار متمرکز برابر با 10 کیلونیوتن را بطور موضعی تحمل نمایند. این بار در خرپاها و در تیرها در هر نقطه اختیاری از عضو که بیشترین اثر را ایجاد کند وارد می‌شوند.

3) کاهش بار زنده برای این نوع کاربری طبق بخش 6-5-7 مجاز نمی‌باشد مگر اینکه استثنای خاصی در آن منظور شده باشد.

4) در راه پله‌هایی که کف پله‌ها رفتار طره‌ای مجزا دارند، کف پله‌ها باید برای یک بار متمرکز 2 کیلونیوتن که در انتهای طره وارد می‌شود نیز طراحی گردند. این بار لزومی ندارد همزمان با بار گسترده یکنواخت اعمال شود.

5) علاوه بر بارهای قائم، طراحی باید براساس بارهای افقی جانبی که به هر ردیف از صندلی‌ها به شرح زیر وارد می‌شود، انجام شود: 0/4 کیلونیوتن بر متر طول در راستای موازی ردیف صندلیها و 0/15 کیلونیوتن بر متر طول در راستای عمود بر ردیف صندلی. نیازی به اعمال همزمان این دو بارگذاری نمی‌باشد.

6) کف‌های تعمیرگاه‌ها، کارخانجات، کارگاه‌های صنعتی و فضاهایی از این قبیل که دارای تجهیزات و یا کاربری‌های خاص هستند، باید برای بار زنده متناسب با کاربری خود طراحی شوند.

7) کف پارکینگها ویا بخش‌هایی از یک ساختمان که برای پارک وسیله نقلیه مورد استفاده قرار می‌گیرد، براساس بار زنده گسترده یکنواخت ارائه شده در ردیفهای 11-1 و 11-2 و بارهای متمرکز نظیر همان ردیفها طراحی می‌شوند، اما لازم نیست این دو بار به طور همزمان اعمال شوند. سطح تأثیر بار متمرکز 120 × 120 میلیمتر فرض می‌شود.

پارکینگ‌های مکانیزه بدون دال یا سقف که به منظور پارک خودروهای سبک به کار می‌روند، براساس بار 10 کیلونیوتن به ازای هر چرخ باید طراحی شوند.

8) بارگذاری و طراحی کف‌ها برای عبور و پارک کامیونت، کامیون با اتوبوس با وزن بیش از 90 کیلونیوتن باید بر طبق آیین‌نامه بارگذاری پل‌ها، نشریه شماره 139 دفتر امور فنی و تدوین معیارها، سازمان مدیریت و برنامه ریزی کشور انجام شوند.

معابر و کف‌هایی که روی آنها احتمال عبور یا توقف ماشینهای آتشنشانی باشد، باید برای وزن کامیونت 90 کیلونیوتن طراحی شود، چنانچه در طراحی مقاومت در برابر حریق ساختمان، عبور یا توقف ماشین سنگینتری پیش بینی شده باشد وزن این ماشین در محاسبات منظور خواهد شد.

9) بارگذاری را می‌توان بر اساس مشخصات دستگاهها و توصیه‌های شرکتهای سازنده آنها انجام داد، مشروط بر آنکه مقدار بار در آشپزخانه‌ها کمتر از 5، در موتورخانه‌ها کمتر از 7/5 و در اتاق‌های هواساز کمتر از 5 کیلونیوتون بر مترمربع نباشد.

10) بار گسترده یکنواخت کف انبارها باید براساس جداول پیوست شماره 6-3 تعیین شود. چنانچه وضع مواد انبار شونده روشن نباشد، این بار باید با تخمین نوع انبار و مقایسه آن با جداول پیوست مذکور، برابر با مقادیر پیشنهاد شده در آن جدول در نظر گرفته شود. این بار در هر صورت نباید کمتر از 6 کیلونیوتن بر متر مربع منظور شود.

11) بار زنده کف جایگاه بالگردهایی با وزن عملیاتی کمتر از 14 کیلونیوتن، 2 کیلونیوتن بر متر مربع در نظر گرفته شود.

این بار قابل کاهش نیست. وزن و ظرفیت بالگرد باید توسط مرجع ذیصلاح اعلام شود.

12) دو بار متمرکز منفرد به فاصله 2/45 متر باید به کف جایگاه بالگرد (محل قرارگیری چرخ‌ها) اعمال گردد. مقدار هر یک از این بارها برابر 75٪ وزن عملیاتی بالگرد می‌باشد.

محل قرار گیری این دو بار باید طوری باشد که بیشترین اثر را بر سازه وارد نماید.

این بارها باید در سطحی به ابعاد 200 × 200 میلی متر وارد شده و نباید با سایر بارهای زنده متمرکز و گسترده همزمان وارد شود.

13) یک بار متمرکز منفرد با مقدار 13/5 کیلونیوتن در سطحی به ابعاد 120 × 120 میلی متر در محلی که بیشترین اثر را در عضو ایجاد کند، اعمال گردد. نیازی به در نظر گرفتن همزمان این بار با سایر بارهای زنده گسترده و متمرکز نمی‌باشد.

14) بار متمرکز پله‌ها در سطحی به ابعاد 50 × 50 میلی متر و غیرهمزمان با بارهای یکنواخت اعمال شود.
15) برای فروشگاه‌های عمده فروشی بزرگ مقدار بار گسترده باید با هماهنگی شرکت‌های تجهیز کننده فروشگاه تعیین شود. در هر حال این مقدار از بار گسترده جدول نباید کمتر باشد.

جدول 6-5-2 ضریب موقعیت عضو برای بار زنده KLL

ردیف  عضو سازه‌ای KLL
1 ستون داخلی 4
2 ستون خارجی بدون دال‌های طره‌ای 4
3 ستون کناری با دال طره‌ای 3
4  ستون گوشه‌ای با دال طره‌ای 2
5 تیر کناری بدون دال طره‌ای 2
6 تیر داخلی 2
7 بقیه اعضاء ذکر نشده شامل:
1-7 تیر کناری با دال طره‌ای 1
2-7 تیر طره‌ای 1
3-7 دال یک طرفه 1
4-7 دال دو طرفه 1
5-7 اعضایی که فاقد قابلیت انتقال پیوسته برش در جهت عمود بر دهانه خود باشند. 1

مشخصات آیین‌نامه

تعداد فصول: 16 فصل
سال انتشار: 1398
ویرایش: چهارم

جستجو در آیین‌نامه‌ها

ناشرین آیین‌نامه‌ها

مقررات ملی ساختمان

قوانین، آیین‌نامه‌ها، شیوه‌نامه‌ها، دستورالعمل‌ها و بخشنامه‌های ساختمان

نظام مهندسی ساختمان

ضوابط، بخشنامه‌ها، نشریه‌ها و معیار‌های فنی نظام مهندسی ساختمان

مرکز تحقیقات راه، مسکن و شهرسازی

قوانین، آیین‌نامه‌ها و بخشنامه‌های مرکز تحقیقات راه، مسکن و شهرسازی

سازمان برنامه و بودجه کشور

ضوابط، بخشنامه‌ها و قوانین سازمان برنامه و بودجه کشور

سازمان ملی استاندارد ایران

استانداردهای کمیته‌های مختلف سازمان ملی استاندارد ایران

سازمان تامین اجتماعی کشور

مقررات و آیین‌نامه‌های درمانی و بیمه‌ای سازمان تامین اجتماعی کشور

ضوابط فنی و اجرایی شهرداری‌ها

ضوابط، بخشنامه‌ها، نشریه‌ها و معیار‌های فنی شهرداری‌های کشور

ضوابط فنی و اجرایی وزارت بهداشت

ضوابط، بخشنامه‌ها، نشریه‌ها و معیار‌های فنی وزارت بهداشت

ضوابط فنی و اجرایی وزارت نیرو-آبفا

ضوابط، بخشنامه‌ها، نشریه‌ها و معیار‌های فنی وزارت نیرو-آبفا

ضوابط سازمان بنادر و دریانوردی

ضوابط، بخشنامه‌ها، نشریه‌ها و معیار‌های فنی سازمان بنادر و دریانوردی

ضوابط فنی و اجرایی وزارت نفت

ضوابط، بخشنامه‌ها، نشریه‌ها و معیار‌های فنی وزارت نفت

قوانین و مقررات مالیاتی کشور

قوانین، مقررات، ضوابط و دستورالعمل‌هاى مالیاتى سازمان مالیات كشور

تازه‌ترین فصل‌ها

واژه‌نامه

مبحث هفدهم مقررات ملی ساختمان (سامانه گاز طبیعی در ساختمان)

پیوست ۶ دسته‌بندی نوع دستگاه‌‌‌های گازسوز

مبحث هفدهم مقررات ملی ساختمان (سامانه گاز طبیعی در ساختمان)

پیوست 5 شکل‌ها

مبحث هفدهم مقررات ملی ساختمان (سامانه گاز طبیعی در ساختمان)

پیوست 4 جدول‌ها

مبحث هفدهم مقررات ملی ساختمان (سامانه گاز طبیعی در ساختمان)

پیوست 3 ایمنی و ضوابط بهره‌برداری و نگهداری از سیستم لوله‌‌کشی گاز

مبحث هفدهم مقررات ملی ساختمان (سامانه گاز طبیعی در ساختمان)

پیوست 2 نمونه محاسبات

مبحث هفدهم مقررات ملی ساختمان (سامانه گاز طبیعی در ساختمان)

پیوست 1 راهنمای ایمنی

مبحث هفدهم مقررات ملی ساختمان (سامانه گاز طبیعی در ساختمان)