4-8 ساختمانهای بنایی مسلح
1-4-8 کلیات
این فصل شامل حداقل ضوابط برای طراحی و ساخت ساختمانهای بنایی مسلح میباشد. در طراحی و اجرای ساختمانهای بنایی مسلح، علاوه بر رعایت الزامات عمومی ذکر شده در فصل سوم، رعایت ضوابط این فصل الزامی میباشد.
1-1-4-8 تعریف
ساختمان مصالح بنایی مسلح نوعی ساختمان بنایی است که اعضای سازهای آن شامل دیوار، تیر، ستون و یا جرز با قرار گرفتن میلگردهای فولادی درون هسته بتنی و یا درون حفرههای واحدهای بنایی سوراخ دار که توسط ملات یا دوغاب پر شده باشند، مسلح شوند (شکل 8-4-1). سقف این ساختمانها میتواند از نوع تیرچه بلوک، تاق ضربی، بتن آرمه، کامپوزیت و یا هر نوع سقف مناسب دیگری که در ساخت ساختمانهای بتن آرمه و فولادی استفاده میشود، باشد.
2-1-4-8 محدوده کاربرد
حداکثر ارتفاع ساختمانهای بنایی مسلح 15 متر از تراز پایه یا حداکثر 5 طبقه با احتساب زیر زمین میباشد.
3-1-4-8 مصالح
مصالح مصرفی باید با کلیه مقررات و ضوابط ارائه شده در مبحث پنجم مقررات ملی ساختمان و فصل دوم و چهارم این مبحث مطابقت داشته باشند.
4-1-4-8 طراحی
در این فصل، ضوابط طراحی ساختمان بنایی مسلح به روش مقاومت نهایی ارائه شده است. در طراحی به روش مقاومت نهایی، رعایت ضوابط مندرج در بند 8-4-6 و دیگر ضوابط مندرج در این فصل الزامی است. طراحی ساختمان بنایی مسلح به روش تنش مجاز، بر مبنای ضوابط مندرج در پیوست 8-پ-2، مجاز میباشد.
شکل 8-4-1 نمونههایی از دیوار بنایی مسلح
2-4-8 بارگذاری
1-2-4-8 ضوابط بار
١- بارهای طراحی باید منطبق بر الزامات مندرج در مبحث ششم مقررات ملی ساختمان و ضوابط مندرج در این بخش محاسبه شوند. میزان کاهش سر بار نیز بر اساس مبحث ششم مقررات ملی ساختمان مجاز است.
2- برای انتقال بارهای وارده به زمین، مسیرهای بار باید پیوسته و دارای مقاومت و سختی کافی باشند.
2-2-4-8 مقاومت در برابر بارهای جانبی
طراحی ساختمان بنایی مسلح باید به نحوی انجام شود که ساختمان علاوه بر تحمل بارهای ثقلی، در برابر بارهای جانبی، نظیر بار ناشی از باد و زلزله، مقاومت لازم را دارا باشد و قادر به تحمل تغییر شکلهای ناشی از آنها نیز باشد.
3-2-4-8 انتقال بار در اتصال اعضای قائم و افقی
انتقال بار در اتصال بین اعضای قائم و افقی باید بر اساس الزامات زیر باشد.
1- دیوارها، ستونها و جرزها باید برای مقاومت در برابر بارها، لنگرها و برشها در محل اتصال به اعضای افقی طراحی شوند.
2- تأثیر تغییر شکل جانبی و انتقالی اعضای تأمین کننده تکیه گاه جانبی باید لحاظ شود.
٣- ابزارهایی که برای اتصال اعضا استفاده میشوند باید برای نیروهای ایجاد شده در آنها طراحی شوند.
4-2-4-8 توزیع بارهای جانبی
نیروهای جانبی باید بین عناصر باربر جانبی به نسبت سختی آنها توزیع شده و الزامات این بخش را برآورده سازند.
١- بالهای دیوارهای متقاطع، که بر اساس بند 8-4-6-10 طراحی شدهاند، باید در محاسبه سختی در نظر گرفته شوند.
2- توزیع بار باید تأثیر پیچش افقی سازه ناشی از عدم تقارن سازهای را در بر گیرد.
5-2-4-8 تأثیر عوامل دیگر
تأثیر نیروها و یا تغییر شکلهای ناشی از ارتعاشات، ضربه، جمع شدگی، انبساط، تغییر درجه حرارت، نشستهای غیریکنواخت و تغییر مکانهای غیر همسان نیز، در صورت لزوم، باید در طراحی مد نظر قرار گیرند.
6-2-4-8 ترکیب بارها
در طراحی اعضای سازهای به روش مقاومت نهایی، حداکثر تلاشهای ناشی از ترکیبهای مختلف بار باید بر مبنای ضوابط مبحث ششم مقررات ملی ساختمان مورد استفاده قرار گیرند.
7-2-4-8 ضریب رفتار
ضریب رفتار برای ساختمان بنایی مسلح جهت طراحی به روش مقاومت نهایی برابر با چهار (Ru=4) میباشد.
8-2-4-8 تغییرمکان نسبی طبقه
رعایت محدودیت تغییر مکان نسبی طبقات بر اساس ضوابط این بند الزامی است. تغییر مکان نسبی طبقه عبارت است از اختلاف تغییر مکانهای افقی مرکز جرم کف و سقف در هر طبقه. در صورت وجود نامنظمی در پلان، بیشترین اختلاف تغییر مکانهای لبه ساختمان در کف و سقف طبقه به عنوان تغییر مکان نسبی طبقه محسوب میشود. چنان چه تغییر مکان طبقه در اثر پیچش زیاد باشد، مقدار تغییر مکان نسبی باید شامل اثر پیچش نیز باشد. در محاسبه سختی اعضا برای محاسبه تغییر مکان لازم است از مقطع ترک خورده عضو استفاده شود.
1-8-2-4-8 محاسبه تغییر مکان نسبی طبقه
تغییر مکان نسبی هر طبقه (ΔM) طبق رابطه 8-4-1 محاسبه میشود.
| (1-4-8) | ΔM = CdΔeu |
در این رابطه:
Cd = ضریب افزایش تغییر مکان که برای ساختمان بنایی مسلح برابر 3/0 منظور میشود.
Δeu = جابجایی نسبی طبقه تحت اثر زلزله طرح با استفاده از روشهای تحلیل خطی.
2-8-2-4-8 تغییر مکان نسبی مجاز طبقه
تغییر مکان نسبی مجاز هر طبقه ناشی از بارهای جانبی (Δa) برای دیوارهای طره و دوسر گیردار، به ترتیب 0/01hs و 0/007hs میباشد. اگر دوره تناوب طبیعی ساختمان برابر یا بیشتر از 0/7 ثانیه باشد، تغییر مکان نسبی مجاز باید 20 درصد کمتر از مقادیر داده شده در این بند در نظر گرفته شود.
9-2-4-8 سختی جانبی
در تراز هر طبقه، حداقل 80 درصد سختی جانبی طبقه باید توسط دیوارهای باربر برشی تأمین شود.
3-4-8 تحلیل
تحلیل ساختمان بنایی مسلح باید بر اساس ضوابط این بند انجام پذیرد.
1-3-4-8 مدلهای سازهای ساده شده
برای تحلیل ساختمان بنایی مسلح میتوان از مدلهای سازهای ساده شده استفاده نمود و تحلیل به روش دستی و یا با استفاده از نرم افزارهای معتبر قابل انجام میباشد. مدل سازهای ساختمان از مجموعهای از اعضا و اجزاء به شرح زیر تشکیل میشود.
1-1-3-4-8 عضو میلهای
عضو میلهای به عضوی اطلاق میشود که در آن یکی از ابعاد (طول یا ارتفاع) به مقدار قابل ملاحظهای بزرگتر از دو بعد دیگر باشد. در این عضو، فاصله بین دو مقطع با لنگرهای خمشی صفر باید حداقل دو برابر ارتفاع عضو باشد. تیرها و ستونها از جمله اعضای میلهای میباشند.
2-1-3-4-8 عضو صفحهای
عضو صفحهای به عضوی اطلاق میشود که در آن یکی از ابعاد (ضخامت) به مقدار قابل ملاحظهای کوچکتر از دو بعد دیگر باشد. دالها، دیوارها، جرزها، تیر تیغهها و پوستهها از جمله اعضای صفحهای میباشند که به صورت زیر تعریف میشوند:
الف) دال:
دال عضو صفحهای است که علاوه بر تحمل بارهای ثقلی میتواند بارهای جانبی را با عملکرد دیافراگمی انتقال دهد. عضو صفحهای در صورتی دال محسوب میشود که تحت بار گسترده، فاصله بين مقاطع با انحنای صفر آن حداقل چهار برابر ضخامت آن باشد.
ب) دیوار:
دیوار عضو صفحهای است که علاوه بر تحمل بارهای ثقلی و جانبی درون صفحه خود میتواند بارهای خارج از صفحه را نیز تحمل نماید.
پ) جرز و تیرتیغه:
جرز و تیرتیغه اعضای دیواری شکل هستند که نشیمنگاههای آنها غیر پیوسته است. این اعضا علاوه بر نیروهای درون صفحه خود، تحت تأثیر خمش و برش خارج از صفحه نیز قرار میگیرند.
ت) پوسته:
پوسته عضو صفحهای است که بیشتر تحت اثر بارهای عمود بر صفحه خود قرار گرفته و به علت شکل هندسی، نیروهای مؤثر درون صفحه آن در مقایسه با خمش و برش خارج از صفحه قابل ملاحظه است.
3-1-3-4-8 عضو سه بعدی
عضو سه بعدی به عضوی اطلاق میشود که در آن هیچ یک از ابعاد اختلاف قابل ملاحظهای با دو بعد دیگر نداشته باشند.
2-3-4-8 روش تحلیل
در این مبحث، در تحلیل ساختمان بنایی مسلح تمام تلاشها در مقاطع مختلف اعضا با فرض خطی بودن رفتار مصالح و کوچک بودن تغییر شکلهای ایجاد شده و بر اساس تئوری ارتجاعی تعیین میشوند. این روش تحلیل را میتوان در انواع ساختمانهای بنایی و در طراحی به روش مقاومت نهایی مورد استفاده قرار داد.
4-4-8 الزامات میلگردگذاری
در این بخش الزامات ویژه میلگردگذاری در تیرها، ستونها، جرزها و دیوارها آورده شده است.
1-4-4-8 الزامات میلگردها
١- اندازه قطر میلگرد اصلی نباید از 28 میلیمتر بیشتر باشد
2- در دیوار و جرز، قطر میلگرد اصلی نباید بیشتر از یک هشتم ضخامت اسمی دیوار یا یک چهارم هر یک از موارد زیر باشد:
الف- بعد کوچک حفره
ب- ضخامت هسته مسلح
3- درصد نسبی میلگردهای اصلی در هر حفره یا هسته مسلح دیوار نباید بیش از 4 درصد در محلهای بدون وصله و 8 درصد در محل وصله میلگردها باشد. هم چنین در یک حفره دیوار نباید بیش از 2 میلگرد جایگذاری شود.
تعریف: درصد نسبی میلگرد، نسبت سطح مقطع میلگرد به مساحت حفره و یا هسته مسلح معادل میباشد.
2-4-4-8 فاصله میلگردها
1- فاصله آزاد بین میلگردهای موازی، بجز در ستونها و جرزها، نباید کمتر از قطر اسمی میلگردها یا 25 میلیمتر، هر کدام که بیشتر است، باشد.
2- در ستونها و جرزها، فاصله آزاد بین میلگردهای اصلی نباید از هیچ یک از دو مقدار 1/5 برابر قطر اسمی میلگرد و 40 میلیمتر کمتر باشد.
٣- محدودیت فواصل آزاد بین میلگردها باید برای فاصله ازاد بین یک وصله پوششی و وصلهها یا میلگردهای مجاور نیز رعایت شود.
4- فاصله آزاد بین یک میلگرد اصلی و هر سطح واحد بنایی نباید کمتر از 15 میلیمتر باشد. برای میلگرد بستر که در بند بستر قرار میگیرد، این فاصله حداقل 6 میلیمتر میباشد.
3-4-4-8 مهار میلگردهای خمشی
1- فشار یا کشش محاسبه شده در میلگرد در هر مقطع از اعضای سازهای باید در هر طرف آن مقطع به وسیله طول گیرایی مستقیم، قلاب با وسایل مکانیکی، یا ترکیبی از آنها تأمین شود. از قلابها نباید برای مهار میلگردهای تحت فشار استفاده کرد.
2- لازم است انتهای میلگرد کششی را یا به وسیله قلاب استاندارد خم شده در ارتفاع جان مهار کرد و یا با میلگرد موجود در وجه مخالف عضو به صورت پیوسته اجرا نمود.
٣- مقاطع بحرانی برای مهار میلگرد در اعضای خمشی عبارتند از نقاط تنش حداکثر و نقاطی در طول دهانه که در آن نقاط میلگرد مجاور قطع یا خم میشود.
4- میلگرد باید از نقطهای که از نظر مقاومت خمشی دیگر به آن نیازی نیست تا فاصلهای برابر با بزرگترین دو مقدار عمق مؤثر عضو و 12 برابر قطر اسمی میلگرد امتداد یابد، مگر در تکیهگاههای ساده و در انتهای آزاد اعضای طرهای.
5- میلگرد خمشی نباید در یک ناحیه کششی قطع شود، مگر اینکه یکی از شرایط زیر برآورده شود:
الف – برش در نقطه قطع میلگرد از دو سوم ظرفیت برشی، با در نظر گرفتن مقاومت میلگردهای برشی موجود، فراتر نرود.
ب- سطح مقطع میلگرد امتداد یافته حداقل دو برابر مقدار لازم برای خمش در نقطه قطع باشد و برش از سه چهارم ظرفیت برشی مقطع فراتر نرود.
6- میلگردهای فشاری در اعضای خمشی باید توسط تنگ و در صورت نیاز بست مهار شوند. قطر تنگ یا بست نباید کمتر از 6 میلیمتر و فاصله بین آنها نباید بیشتر از 16 برابر قطر اسمی میلگرد یا 48 برابر قطر تنگ یا بست باشد. این تنگها و بستها باید در طولی که در آن به فولاد فشاری نیاز هست به کار روند.
1-3-4-4-8 مهار میلگرد لنگر مثبت
1- حداقل یک سوم میلگردهای لنگر مثبت در اعضای با تکیه گاه ساده و یک چهارم میلگردهای لنگر مثبت در اعضای پیوسته باید در امتداد همان وجه عضو به داخل تکیه گاه امتداد یابند. در تیرها چنین میلگردهایی باید حداقل 150 میلیمتر به داخل تکیه گاه امتداد یابند.
2- هرگاه عضو خمشی قسمتی از یک سیستم اصلی مقاوم در برابر بار جانبی است، میلگردهای لنگر خمشی مثبت، که طبق مورد 1 لازم است به داخل تکیه گاه امتداد یابند، باید به گونهای مهار شوند که بتوانند در بر تکیه گاه به مقاومت تسلیم (fy) برسند.
2-3-4-4-8 مهار میلگرد لنگر منفی
1- میلگرد لنگر منفی در یک عضو پیوسته (سراسری)، گیر دار یا طرهای باید به وسیله طول مهاری، قلاب و یا مهار مکانیکی در داخل عضو تکیه گاهی، یا با عبور از آن، مهار شود.
2- حداقل یک سوم کل میلگرد کششی تأمین شده برای لنگر منفی در یک تکیه گاه باید در آن سوی نقطه عطف و حداقل به اندازه عمق مؤثر عضو یا یک شانزدهم طول آزاد دهانه، دارای طول مهاری باشد.
3-3-4-4-8 طول مهاری
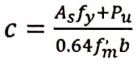
طول مهاری مورد نیاز میلگرد در کشش و فشار باید با استفاده از رابطه 8-4-2 محاسبه شود، اما نباید از 300 میلیمتر کمتر در نظر گرفته شود.
| (2-4-8) |
در معادله فوق، مقدار K نباید از حداقل پوشش بنایی و یا 9 برابر قطر میلگرد، هر کدام کمتر است، بیشتر باشد. همچنین مقدار γ باید برای میلگردهای با قطر 10 تا 16 میلیمتر برابر با 1، برای میلگردهای با قطر 18 تا 22 میلیمتر برابر با 1/3 و برای میلگردهای با قطر 25 میلیمتر و بیشتر برابر با 1/5 در نظر گرفته شود. طول مهاری میلگردهای با پوشش اپوکسی باید 1/5 برابر مقدار محاسبه شده از رابطه 8-4-2 در نظر گرفته شود.
4-4-4-8 مهار میلگردهای برشی
1- میلگرد برشی باید به اندازه عمق عضو، منهای پوشش میلگرد، ادامه یابد. میلگرد برشی باید در هر دو انتها بر اساس تنش محاسباتی مهار شود.
2- به غیر از محل تقاطع دیوارها، انتهای یک میلگرد افقی برشی باید دور میلگرد قائم لبه دیوار با یک قلاب 180 درجه مهار شود.
3- در محل تقاطع دیوارها، میلگرد افقی برشی باید دور میلگرد قائم لبه دیوار با یک قلاب استاندارد 90 درجه خم شده و در دیوار متقاطع به طور افقی حداقل به اندازه طول مهاری ادامه یابد.
4- انتهای میلگردهای برشی (خاموت) تک شاخه و U شکل باید به یکی از روشهای زیر مهار شود:
الف – توسط یک قلاب استاندارد با طول مدفون موثری معادل نصف طول مهاری (0/5ld) ساق میلگرد برشی. طول مدفون مؤثر برابر است با فاصله بین وسط ارتفاع مؤثر مقطع (2/d) تا ابتدای خم قلاب.
ب- برای میلگرد به قطر 16 میلیمتر و کمتر، توسط خم 135 درجه حول میلگردهای طولی با طول مدفون موثری معادل یک سوم طول مهاری (0/33ld) ساق میلگرد برشی.
5- هر خم یک میلگرد برشی U شکل باید یک میلگرد طولی را در بر گیرد.
6- طول وصله ساقهای میلگردهای برشی U شکل یا تک شاخه که یک واحد بسته را تشکیل میدهند برابر 1/7dd میباشد.
7- میلگردهای طولی که به عنوان میلگرد برشی خم میشوند، اگر به داخل یک ناحیه کششی امتداد یابند باید با میلگرد طولی آن ناحیه وصله شوند و چنانچه به داخل ناحیه فشاری امتداد یابند باید بعد از نیمه ارتفاع مؤثر عضو (2/d) مهار شوند.
5-4-4-8 تنگهای ستون مسلح
تنگهای ستون باید با ضوابط زیر مطابقت داشته باشند:
1- میلگردهای طولی باید توسط تنگهایی به قطر حداقل 6 میلیمتر بسته شوند.
2- فاصله قائم تنگها نباید از کمترین مقادیر زیر، بیشتر شود:
الف – 16 برابر قطر میلگردهای طولی
ب- 48 برابر قطر تنگ
پ- کوچکترین بعد عضو فشاری
٣- تنگها باید به گونهای قرار گیرند که میلگردهای طولی، حداقل یک در میان، توسط دو ساق تنگ مهار شوند. زاویه داخلی بین دو ساق نباید از 135 درجه بیشتر باشد. در صورتی که فاصله آزاد بین میلگردهای طولی بیش از 150 میلیمتر باشد، باید به وسیله تنگ اضافی مهار شود.
4- تنگها باید با فواصل تعیین شده در تمام طول عضو قرار داده شوند. فاصله اولین تنگ از سطح فوقانی شالوده یا دال طبقه تحتانی و آخرین تنگ از زیر پایینترین میلگردهای دال یا کتیبه سرستون طبقه فوقانی نباید از نصف فواصل تعیین شده بیشتر باشد.
5- در مواردی که تیرها یا دستکها از چهار طرف به یک ستون متصل میشوند، میتوان تنگها را در مقطعی که حداکثر 75 میلیمتر پایینتر از میلگرد طولی تحتانی کم عمقترین عضو متصل میباشد، متوقف کرد.
6-4-4-8 پوشش میلگرد و سیم
1- برای میلگرد باید حداقل پوشش بنایی زیر تأمین شود
الف- در مواردی که نمای بنایی در معرض خاک یا هوای بیرونی قرار دارد، پوشش میلگردهای به قطر بزرگتر از 16 میلیمتر برابر با 50 میلیمتر و برای میلگردهای به قطر 16 میلیمتر یا کمتر، برابر با 40 میلیمتر در نظر گرفته شود.
ب- در مواردی که نمای بنایی در معرض خاک یا هوای بیرونی قرار ندارد، پوشش میلگرد برابر 40 میلیمتر در نظر گرفته شود.
2- میلگرد طولی بستر باید کاملاً در ملات مدفون شود. حداقل پوشش بنایی برای حالتی که در معرض خاک با هوای بیرونی باشد برابر با 20 میلیمتر و برای حالتی که در معرض خاک یا هوای بیرونی نباشد برابر با 15 میلیمتر میباشد.
3- در صورتی که بنایی در معرض خاک یا هوای بیرونی قرار داشته باشد و یا در دیوارهای داخلی که در معرض میانگین رطوبت نسبی بیش از 75 درصد باشند، باید از میلگرد یا سیم فولادی ضد زنگ و یا دارای روکش گالوانیزه یا اپوکسی استفاده شود.
7-4-4-8 قلاب
در مورد قلاب موارد زیر باید رعایت شود:
١- کاربرد قلاب در مناطق کششی تیر مجاز نمیباشد، مگر در انتهای تیرهای دوسر ساده و طرهای یا در تکیه گاه انتهایی تیرهای سرتاسری و گیردار.
2- در صورت وجود کشش، طول معادل برای قلاب استاندارد 13 برابر قطر میلگرد میباشد.
٣- قلابها را نباید در مهار میلگردهای تحت فشار مؤثر دانست.
4- از هر وسیله مکانیکی که قادر باشد میلگرد را بدون آسیب رساندن به واحد بنایی به نحو مناسب مهار کند، میتوان به جای قلاب استفاده کرد. در صورت استفاده از این وسایل مکانیکی، لازم است کفایت آنها از طریق انجام آزمایشهای معتبر به تأیید برسد.
1-7-4-4-8 قلابهای استاندارد
قلاب استاندارد در کشش باید برای تأمین مهار در طول مدفونی معادل le در نظر گرفته شود:
| (3-4-8) | le = 13db |
همچنین، قلابهای استاندارد باید موارد زیر را برآورده کنند:
١- خم 180 درجه و اضافه طولی معادل 4 برابر قطر میلگرد که نباید از 65 میلیمتر کمتر باشد.
2- خم 90 درجه و اضافه طولی معادل 12 برابر قطر میلگرد
3- برای میلگرد برشی و تنگ با قطر 16 میلیمتر یا کمتر. خم 90 درجه یا خم 135 درجه و اضافه طولی برابر 6 برابر قطر میلگرد که نباید کمتر از 65 میلیمتر باشد.
8-4-4-8 حداقل قطر خم برای میلگرد
قطر داخلی خم میلگرد، به جز برای تنگها، نباید از مقادیر مندرج در جدول 8-4-1 کمتر باشد. برای تنگهای ساخته شده از میلگرد با قطر 16 میلیمتر و کوچکتر، قطر داخلی خم نباید از 4 برابر قطر میلگرد کمتر باشد. برای میلگردهای بزرگتر از 16 میلیمتر، قطر خم باید مطابق با مقادیر مندرج در جدول 8-4-1 باشد.
جدول 8-4-1 حداقل قطر داخلی خم
| قطر میلگرد (db) | تنش جاری شدن (MPa) | حداقل قطر خم |
| 10 تا 22 میلیمتر | 240 | 5db |
| 10 تا 25 میلیمتر | 340 تا 400 | 6db |
| بزرگتر از 25 میلیمتر | 340 تا 400 | 8db |
9-4-4-8 وصله میلگردها
وصله میلگردها باید مطابق یکی از موارد زیر باشد:
1- وصله پوششی: حداقل طول وصله پوششی برای میلگردها بزرگترین مقدار 300 میلیمتر و مقدار محاسبه شده برای طول مهاری بر اساس رابطه (8-4-2) است.
٢- وصله جوشی: یک وصله جوشی باید حداقل 125 درصد مقاومت تسلیم (fy) میلگرد در کشش و یا فشار را تأمین کند.
٣- وصله مکانیکی: یک وصله مکانیکی باید حداقل 125 درصد مقاومت تسلیم (fy) میلگرد در کشش و یا فشار را تأمین کند.
10-4-4-8 دسته کردن میلگردها
بجز در تیرهای عمیق، میلگرد تسليح نباید در هیچ عضو بنایی به صورت دسته شده استفاده شود.
5-4-8 الزامات اجرای بنایی
در اجرای اعضای بنایی رعایت نکات زیر الزامی است:
1- در ساخت هر لایه یا جداره بنایی از یک نوع واحد بنایی استفاده شود.
2- قبل از اجرا، لازم است واحدهای مصالح بنایی زنجاب شوند تا آب ملات را به خود جذب نکنند.
٣- اجرای بنایی باید با ملات ماسه سیمان یا حداقل ملات ماسه سیمان – آهک (باتارد) با نسبت اختلاط مندرج در بند 8-2 -2-6 و با اطمینان از تأمین مقاومت فشاری تعیین شده در این بند انجام شود.
4- در چینش عضو بنایی، هر واحد مصالح بنایی حداقل به اندازه یک چهارم طول خود با واحدهای رگ قبلی هم پوشانی داشته باشد.
5- امتداد رگها کاملاً افقی باشد.
6- بندهای قائم در دو رگ متوالی، در یک امتداد نبوده و شاقولی باشند.
7- ضخامت بندهای افقی و قائم ملات نباید کمتر از 10 میلیمتر و بیشتر از 12 میلیمتر باشد.
چنان چه میلگرد بستر یا بست دیوار در بند قرار داده شوند، میتوان ضخامت بند را، با توجه به قطر میلگرد یا بست و حداقل 6 میلیمتر پوشش ملات، حداکثر تا 20 میلیمتر افزایش داد.
8- بندهای قائم باید از ملات پر شوند.
9- هر رگ دیوار چینی باید در تمام دیوارهای ساختمان هم زمان اجرا شده و در یک سطح بالا آورده شود. همچنین، استفاده از روش هشت گیر در ساخت دیوارهای ممتد و متقاطع مجاز نمیباشد.
10- دیوار چینی باید کاملاً شاقولی باشد.
11- اگر دیوار چینی به طور همزمان میسر نباشد، میتوان قسمتهایی از دیوار را به صورت لاریز ساخت.
12- دیوارهای چند جداره که برای عملکرد مرکب طراحی میشوند و دارای هسته میانی میباشند باید به یکی از دو صورت زیر اجرا شوند:
الف- جدارههای بنایی توسط أجر كله به یکدیگر وصل شوند.
ب- جدارههای بنایی توسط بست دیوار به یکدیگر وصل شوند.
13- آجرهای کله که برای اتصال جدارههای اعضای بنایی استفاده میشوند، باید الزامات زیر را تأمین نمایند.
الف – مجموع سطح أجرهای کله باید حداقل 4 درصد سطح عضو باشد و به صورت یکنواخت توزیع شده باشند.
ب- آجرهای کلهای که جدارههای مجاور عضو بنایی را متصل میکنند، باید حداقل 75 میلیمتر در لایه میانی عضو مدفون شوند.
14- بستهایی که برای اتصال جدارههای عضو بنایی بکار برده میشوند باید ضوابط زیر را برآورده نمایند:
الف – تیم به قطر 4 میلیمتر: حداقل یک بست در هر 0/25 متر مربع سطح عضو
ب- تیم به قطر 5 میلیمتر: حداقل یک بست در هر 0/50 متر مربع سطح عضو
حداکثر فاصله بین بستها در امتداد افقی 900 میلیمتر و در امتداد قائم 600 میلیمتر میباشد.
پ- استفاده از بستهای دیواری مستطیلی برای اتصال جدارهها با هر نوع مصالح بنایی مجاز است.
ت- استفاده از بستهای Z شکل برای اتصال جدارههای عضو بنایی که در ساخت آن از واحدهای بنایی توخالی استفاده نشده است، مجاز میباشد.
ج- از بستهای نردبانی یا خرپایی که به عنوان میلگرد بستر استفاده میشوند نیز میتوان به جای بست دیوار استفاده کرد.
15- اعضای بنایی باید پس از اجرا حداقل به مدت سه روز به صورت ممتد مرطوب نگه داشته شوند.
6-4-8 طراحی بر مبنای روش مقاومت نهایی
طراحی اعضای بنایی مسلح بر مبنای روش مقاومت نهایی بر اساس ضوابط مندرج در این بخش انجام میشود. کلیه اجزای سازهای باید در حالت مقاومت نهایی محاسبه شوند و در هر مقطع باید رابطه عمومی زیر همواره برقرار باشد:
| (4-4-8) | φSn ≥ Su |
در این رابطه، Su نیروی ایجاد شده در مقطع تحت بارهای ضریبدار، Sn مقاومت اسمی مقطع و φ ضریب کاهش مقاومت است. مقاومت اسمی مقطع باید متناسب با مشخصات هندسی و مکانیکی مقطع عضو در برابر آن نیرو و با توجه به شرایط تعادل نیروها و سازگاری تغییرشکلها محاسبه شود. نیروهای ایجاد شده در مقطع نیز شامل نیروی محوری، لنگر خمشی و نیروی برشی با توجه به تحلیل سازه تحت ترکیبات بار، موضوع بند 8-4-2-6، محاسبه میشوند.
1-6-4-8 فرضیات طراحی
روش طراحی مقاومت نهایی بر فرضیات زیر استوار است:
1- میلگرد کاملاً توسط بنایی در بر گرفته شده و سازگاری کرنش بین بنایی و میلگرد وجود دارد، به طوری که بارهای اعمالی به صورت مرکب تحمل میشوند.
2- مقاومت اسمی مقاطع بنایی مسلح برای ترکیب خمش و بار محوری باید بر اساس أعمال شرایط تعادل و سازگاری کرنشها باشد.
٣- توزیع کرنش در عمق مقطع، خطی در نظر گرفته میشود.
4- حداکثر کرنش قابل استفاده در دورترین تار فشاری بنایی برابر با 0/0035 برای بنایی آجر رسی و 0/0025 برای بنایی بلوک سیمانی فرض میشود.
5- مقدار تنش میلگرد در محدوده ارتجاعی از حاصل ضرب مدول ارتجاعی در کرنش میلگرد به دست میآید ولی نباید از تنش تسلیم (fy) بیشتر در نظر گرفته شود. برای کرنشهای بزرگتر از کرنش تسلیم، تنش در میلگرد باید مستقل از کرنش و برابر با مقاومت تسلیم در نظر گرفته شود.
6- در محاسبات خمش و نیروهای محوری باید از مقاومت کششی بنایی صرف نظر کرد، ولی برای محاسبه خیز، مقاومت کششی بنایی باید در نظر گرفته شود.
٧- تنش بنایی در دورترین تار فشاری برابر با 0/80 مقاومت مشخصه بنایی (f’m) است که در ناحیه فشاری و تا عمق 0/8 فاصله بین تار فشاری حداکثر و محور خنثی به صورت یکنواخت توزیع میشود.
2-6-4-8 مقاومت اسمی
1-2-6-4-8 مقاومت خمش اسمی
مقاومت خمشی اسمی (Mn) یک مقطع باید بر اساس فرضیات طراحی بند 8-4-6-1 و ضوابط این بخش تعیین شود. کمترین مقاومت خمشی اسمی در امتداد عضو نباید کمتر از یک چهارم حداکثر مقاومت خمشی اسمی در امتداد عضو باشد.
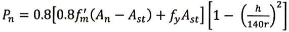
2-2-6-4-8 مقاومت محوری اسمی
مقاومت محوری اسمی (Pn) یک مقطع باید بر اساس فرضیات طراحی بند 8-4-6-1 و ضوابط این بخش تعیین شود.
مقاومت محوری اسمی نباید از مقدار محاسبه شده توسط رابطه 8-4-5 یا رابطه 8-4-6 فراتر رود.
الف – برای اعضایی که مقدار h/r در آنها از 100 کمتر است:
| (5-4-8) |
ب- برای اعضایی که مقدار h/r در آنها برابر و یا بیشتر از 100 است:
| (6-4-8) |
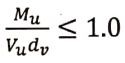
3-2-6-4-8 مقاومت برشی اسمی
مقاومت برشی اسمی (Vn) باید با استفاده از رابطه 8-4-7 و روابط 8-4-8 یا 8-4-9 محاسبه شود.
| (7-4-8) | Vn = Vnm + Vns |
Vn باید محدودیتهای بندهای (الف) تا (ت) را تأمین نماید:
الف- در جایی که Mu/Vudv≤0/25 است:
| (8-4-8) |
ب- در جایی که Mu/Vudv≥1/0 است:
| (9-4-8) |
پ- حداکثر مقدار Vn، در شرایطی که نسبت Mu/Vudv بین دو مقدار 0/25 و 1/0 باشد، را میتوان با استفاده از درون یابی خطی بدست آورد.
ت- مقدار Mu/Vudv باید به صورت یک عدد مثبت در نظر گرفته شود.
1-3-2-6-4-8 مقاومت برشی اسمی بنایی
مقاومت برشی تأمین شده توسط بنایی (Vnm) باید با استفاده از رابطه 8-4-10 محاسبه شود.
| (10-4-8) |
2-3-2-6-4-8 مقاومت برشی اسمی میلگرد
مقاومت برشی تأمین شده توسط میلگرد برشی (Vns) باید با استفاده از رابطه 8-4-11 محاسبه شود.
| (11-4-8) |
3-3-2-6-4-8 مقاومت اسمی لهیدگی بنایی
مقاومت اسمی لهیدگی بنایی باید از حاصل ضرب مساحت لهیدگی در 0/8f’m محاسبه شود. مساحت لهیدگی برای بارهای متمرکز نباید از مقادیر زیر بیشتر شود:
الف-
ب-
3-6-4-8 ضرایب کاهش مقاومت
ضرایب کاهش مقاومت برای استفاده در محاسبه مقاومت طراحی بر اساس مقادير داده شده در جدول 8-4 -2 در نظر گرفته میشوند.
جدول 8-4-2 ضرایب کاهش مقاومت عضو
| عضو | شرایط | ضریب کاهش مقاومت |
| پیچ مهاری | جاری شدن فولاد پیچ مهاری | 0/9 |
| سایر شکستها | 0/5 | |
| اعضای بنایی مسلح | لهیدگی | 0/6 |
| اعضای بنایی مسلح | خمش، نیروی محوری یا ترکیب خمش و نیروی محوری | 0/9 |
| اعضای بنایی مسلح | برش | 0/8 |
4-6-4-8 حداکثر میلگردهای کششی خمشی
1-4-6-4-8 برای عضو خمشی بنایی، حداکثر سطح مقطع میلگردهای کششی خمشی با در نظر گرفتن تعادل نیروهای محوری مقطع و رعایت شرایط زیر محاسبه میشود:
1- توزیع کرنش در مقطع باید به صورت خطی، متناظر با کرنش در دورترین میلگرد کششی، معادل 1/5 برابر کرنش تسلیم و کرنش فشاری حداکثر در بنایی، مطابق مورد 4 بند 8-4-6-1، در نظر گرفته شود.
2- فرضیات طراحی بند 8-4-6-1 باید اعمال شوند.
٣- تنش در هر میلگرد باید برابر حاصل ضرب مدول ارتجاعی فولاد در کرنش آن میلگرد در نظر گرفته شود و نباید بیش از fy منظور شود.
4- نیروهای محوری باید بر اساس ترکیب بار D+0.75L+0.525E محاسبه شوند.
5- تأثیر میلگردهای فشاری با یا بدون میلگردهای مهار جانبی را میتوان برای محاسبه حداکثر میلگرد کششی خمشی در نظر گرفت.
2-4-6-4-8 برای دیوار برشی بنایی مسلح تحت نیروهای درون صفحه که در آن Mu/Vudv≥1/0 است، توزیع کرنش باید متناظر با کرنش در دورترین میلگرد کششی معادل 4 برابر کرنش تسلیم و کرنش فشاری حداکثر در بنایی، مطابق مورد 4 بند 8-4-6-1، در نظر گرفته شود.
5-6-4-8 طراحی تیر
در طراحی تیر باید الزامات فصل سوم و الزامات این بخش در نظر گرفته شود. نیروهای طراحی تیر باید بر اساس تحلیلی که در آن تأثیر سختی نسبی اعضای سازهای در نظر گرفته شده است، بدست آمده باشند. تأثیر ترک خوردگی بر سختی عضو باید لحاظ شود.
1-5-6-4-8 الزامات عمومی
1- نیروی محوری فشاری ضریب دار در تیر نباید از 0/05Anf’m فراتر رود.
2- تیر باید کاملاً با ملات یا دوغاب بنایی پر شود.
2-5-6-4-8 الزامات ابعادی
١- عرض تیر نباید کمتر از 150 میلیمتر باشد.
2- عمق تیر نباید کمتر از 200 میلیمتر باشد.
3- طول دهانه تیر، که به صورت یکپارچه با تکیهگاهها اجرا نشده باشد، باید برابر دهانه خالص به علاوه عمق تیر در نظر گرفته شود اما لازم نیست از فاصله مرکز به مرکز تکیهگاهها بیشتر شود.
4- در تیرهای پیوسته، برای محاسبه لنگر خمشی، طول دهانه باید برابر فاصله مرکز به مرکز تکیهگاهها در نظر گرفته شود.
5- وجه فشاری تیر باید دارای تکیه گاه جانبی مناسب در فواصل حداکثر 32 برابر عرض تیر یا 120b2/d، هر کدام کمتر باشد، در نظر گرفته شود.
6- طول نشیمن تیر در راستای دهانه نباید از 100 میلیمتر کمتر باشد.
3-5-6-4-8 کنترل خیز
تیر بنایی باید به گونهای طراحی شود که سختی کافی برای محدود ساختن تغییرشکلهایی را که تأثیر نامطلوب بر مقاومت و بهره برداری سازه دارند داشته باشد. چگونگی محاسبه خیز و محدودیتهای آن بر مبنای بندهای زیر میباشد.
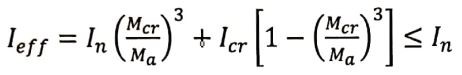
1-3-5-6-4-8 محاسبه خیز
خیز تیر بنایی مسلح باید با استفاده از رابطه مناسب بار تغییر شکل با در نظر گرفتن شرایط انتهایی مناسب محاسبه شود. در صورت عدم محاسبه مقدار سختی بر اساس روشهای تحلیلی جامعتر، خیزانی باید با استفاده از گشتاور دوم مؤثر مقطع (Ieff) به شرح زیر محاسبه شود:
| (12-4-8) |
1- در تیرهای پیوسته، گشتاور دوم مؤثر مقطع (Ieff) را میتوان متوسط مقادیر محاسبه شده توسط رابطه (8-4-12) برای مقاطع بحرانی لنگر خمشی مثبت و منفی در نظر گرفت.
2- برای تیر با مقطع یکنواخت، گشتاور دوم مؤثر مقطع (Ieff) را میتوان از رابطه (8-4-12)، محاسبه شده در وسط دهانه برای دهانه دوسر ساده و در تکیه گاه برای دهانه طرهای، به دست آورد.
٣- لنگر نظیر ترک خوردگی (Mcr) را میتوان با استفاده از مدول گسیختگی (fr) در جدول 8-2-6 به دست آورد.
2-3-5-6-4-8 محدودیت خیز
١- خیز محاسبه شده برای تیر نباید از 600/l (طول دهانه = l)، تحت بارهای بهره برداری مرده و زنده، فراتر رود.
2- خیز تیر زمانی که طول دهانه آن از 8 برابر عمق مؤثر آن (d) بیشتر نشود نیاز به کنترل ندارد.
4-5-6-4-8 میلگردهای طولی
میلگردهای طولی تیر باید علاوه بر الزامات مندرج در بند 8-4-4، الزامات زیر را نیز بر آورده نمایند:
١- اختلاف در قطر میلگردهای طولی یک تیر نباید از یک شماره میلگرد فراتر رود. حداکثر دو شماره میلگرد باید در یک تیر به کار رود.
2- مقاومت خمشی اسمی یک تیر نباید کمتر از 1/3 لنگر نظیر ترک خوردگی تیر (Mcr) باشد. مدول گسیختگی (fr) برای این محاسبات باید از جدول 8-2-6 محاسبه شود.
3- در صورتی که فولاد کششی تأمین شده در تمامی مقاطع حداقل یک سوم بیش از مقدار مورد نیاز از تحلیل باشد، الزامی به رعایت مورد (2) نمیباشد.
5-5-6-4-8 میلگردهای عرضی
میلگرد عرضی باید در جایی که نیروی برشی ضریب دار (Vu) از مقاومت برشی تأمین شده توسط بنایی (φVnm) بیشتر باشد، استفاده شود. نیروی برشی ضریبدار (Vu) باید آثار بار جانبی را نیز در برگیرد. زمانی که میلگرد عرضی لازم باشد ضوابط زیر باید رعایت شوند:
1- میلگرد عرضی باید یک میلگرد تک شاخه بوده و در هر انتهای آن یک قلاب 180 درجه ایجاد شود.
2- میلگرد عرضی باید حول میلگردهای طولی قلاب شود.
٣- حداقل مساحت میلگرد عرضی برابر با 0/0007bdv است.
4- اولین میلگرد عرضی نباید در فاصلهای بیش از یک چهارم عمق مؤثر تیر (dv) نسبت به انتهای تیر اجرا شود.
5- فاصله بین میلگردهای عرضی نباید از نصف عمق مؤثر تیر بیشتر شود.
6-6-4-8 طراحی تیر
عمیق در طراحی تیر عمیق باید علاوه بر موارد 5 و 6 بند 8-4-6-5-2، الزامات این بخش نیز رعایت شود.
1-6-6-4-8 طول مؤثر دهانه
طول مؤثر دهانه (Ieff) باید برابر فاصله مرکز به مرکز تکیهگاهها یا 1/15 برابر دهانه آزاد، هر کدام کمتر است، در نظر گرفته شود.
2-6-6-4-8 بازوی لنگر داخلی
در صورتی که بازوی لنگر داخلی (z) بین نیروهای فشاری و کششی با روشی جامع محاسبه نشده باشد، این مقدار میتواند به روش زیر محاسبه شود:
الف – برای دهانههای ساده:
- اگر 1 < Ieff/dv ≤ 2 باشد، در این صورت z=0/2(Ieff+2dv)
- اگر Ieff/dv ≤ 1 باشد، در این صورت z=0/6Ieff
ب- برای دهانههای پیوسته:
- اگر 1 < Ieff/dv ≤ 3 باشد، در این صورت z=0/2(Ieff+1/5dv)
- اگر Ieff/dv ≤ 1 باشد، در این صورت z=0/5Ieff
3-6-6-4-8 میلگردهای خمشی
میلگرد خمشی باید در ناحیه کششی تیر در عمقی برابر نصف كل عمق تیر (dv) قرار گیرد. حداکثر فاصله میلگردهای خمشی افقی نباید از یک پنجم عمق كل تیر و یا 400 میلیمتر، هر کدام تر است، بیشتر شود. استفاده از میلگردهای دسته شده به عنوان میلگردهای خمشی افقی در تیرهای عمیق مجاز است. میلگردهای خمشی افقی باید برای تأمین مقاومت تسلیم میلگرد در بر تکیهگاهها مهار شوند.
4-6-6-4-8 میلگردهای برشی
میلگرد برشی باید در جایی که نیروی برشی ضریب دار (Vu) از مقاومت برشی تأمین شده توسط بنایی (φVnm) بیشتر باشد، استفاده شود. نیروی برشی ضریب دار (Vu) باید آثار بار جانبی را نیز در برگیرد. زمانی که میلگرد عرضی لازم باشد، الزامات زیر باید رعایت شود:
١- حداقل سطح مقطع میلگردهای برشی قائم برابر با 0/0007bdv باشد.
٢- میلگردهای برشی افقی باید سطح مقطعی برابر یا بیشتر از نصف مساحت میلگردهای قائم برشی داشته باشند. این میلگردها باید به طور مساوی در دو وجه تیر، زمانی که عرض تیر از 200 میلیمتر بیشتر باشد، به طور یکنواخت توزیع شوند.
٣- فاصله میلگردهای برشی نباید از یک پنجم کل عمق تیر یا 400 میلیمتر فراتر رود.
5-6-6-4-8 مجموع میلگردها
مجموع سطح مقطع میلگردهای افقی و قائم باید حداقل 0/001 سطح مقطع ناخالص تیر عمیق (bdv) باشد.
7-6-4-8 طراحی ستون
در طراحی ستون باید الزامات فصل سوم و الزامات این بخش در نظر گرفته شود. نیروهای طراحی ستون باید بر اساس تحلیلی که در آن تأثیر سختی نسبی اعضای سازهای در نظر گرفته شده است، به دست آمده باشد. در محاسبه سختی جانبی باید مشارکت تمامی تیرها، جرزها و ستونها در نظر گرفته شود. تأثیر ترک خوردگی بر سختی عضو باید لحاظ شود.
1-7-6-4-8 الزامات عمومی
ستون باید کاملاً با ملات یا دوغاب بنایی پر شود.
2-7-6-4-8 الزامات ابعادی
1- بعد مقطع ستون در هر جهت نباید از 300 میلیمتر کمتر باشد.
2- بعد بزرگ مقطع ستون نباید از 3 برابر بعد کوچک مقطع بیشتر باشد.
٣- فاصله آزاد بین تکیهگاههای جانبی ستون نباید از 30 برابر بعد کوچک مقطع ستون بیشتر باشد.
4- نسبت ارتفاع ستون به کوچکترین بعد آن نباید از 20 بیشتر باشد.
3-7-6-4-8 میلگردهای طولی
١- حداقل تعداد میلگردهای طولی ستون برابر با چهار میباشد. حداقل یک میلگرد باید در هر گوشه ستون قرار گیرد.
2- مساحت میلگرد طولی نباید از 0/04An بیشتر باشد.
٣- مساحت میلگرد طولی نباید از 0/005An کمتر باشد.
4-7-6-4-8 میلگردهای عرضی (تنگ)
میلگردهای عرضی به صورت تنگ باید بر اساس ضوابط بند 8-4-4-5 و الزامات زیر انتخاب و اجرا شوند.
١- فاصله میلگردهای عرضی ستون نباید از 200 میلیمتر بیشتر باشد. میلگردهای عرضی باید از نوع تنگهای ویژه به قطر حداقل 10 میلیمتر با ضوابط زیر باشد.
2- تنگ ویژه ستون باید در دو انتها دارای قلاب ویژه باشد. حداقل طول این قلاب باید 6 برابر قطر میلگرد یا 100 میلیمتر، هر کدام که بیشتر است، بوده و زاویه خم آن 135 درجه باشد. این قلابها باید میلگرد طولی ستون را در بر گیرند و به درون ستون نفوذ کنند. قلابها باید الزامات بند 8-4-4-7 را نیز تأمین نمایند.
8-6-4-8 طراحی جرز
در طراحی جرز باید الزامات فصل سوم و الزامات این بخش در نظر گرفته شود. نیروهای طراحی جرز باید بر اساس تحلیلی که در آن تأثیر سختی نسبی اعضای سازهای در نظر گرفته شده است، به دست آمده باشند. نیروی فشاری ضریب دار روی جرز نباید از 0/3Anf’m فراتر رود.
1-6-8-4-8 الزامات ابعادی
1- طول اسمی جرز نباید کمتر از 3 برابر و بیشتر از 6 برابر ضخامت جرز باشد.
2- در صورتی که نیروی محوری ضریب دار در موقعیت لنگر خمشی حداکثر کمتر از 0/05f’mAg باشد، میتوان طول اسمی جرز را برابر با ضخامت جرز در نظر گرفت.
٣- ارتفاع آزاد جرز نباید بیشتر از 5 برابر طول اسمی جرز باشد.
4- ضخامت اسمی جرز نباید کمتر از 150 میلیمتر و بیشتر از 400 میلیمتر باشد.
5- فاصله آزاد بین تکیهگاههای جانبی یک جرز نباید از 25 برابر ضخامت جرز بیشتر باشد. در صورتی که فاصله بین تکیهگاههای جانبی یک جرز بزرگتر از 25 برابر ضخامت جرز باشد، طراحی جرز باید بر اساس ضوابط مربوط به طراحی دیوار انجام پذیرد.
2-8-6-4-8 میلگردهای طولی
جرزی که تحت نیروهای رفت و برگشتی درون صفحه قرار دارد باید به طور متقارن حول محور خنثی میلگردگذاری شود. میلگردگذاری طولی جرز باید مطابق با موارد زیر باشد:
1- در هر کدام از حفرههای انتهایی جرز باید حداقل یک میلگرد تعبيه شود.
2- مساحت میلگرد طولی نباید از 0/0007bdv کمتر باشد.
3- میلگرد طولی باید به صورت یکنواخت در عمق جرز توزیع شود.
3-8-6-4-8 میلگردهای عرضی
میلگردهای عرضی باید در جایی که نیروی برشی ضریب دار (Vu) از مقاومت برشی تأمین شده توسط بنایی (φVnm) بیشتر باشد، استفاده شود. نیروی برشی ضریب دار (Vu) باید آثار بار جانبی را نیز در بر گیرد. زمانی که میلگرد عرضی لازم باشد، رعایت ضوابط زیر الزامی است:
1- میلگرد عرضی باید دور میلگردهای طولی انتهایی، با یک قلاب 180 درجه مهار شود.
2- در محل تقاطع با دیوار، میتوان میلگرد عرضی را با یک قلاب استاندارد 90 درجه دور میلگرد قائم دیوار مهار نمود.
9-6-4-8 طراحی دیوار
در طراحی دیوار بنایی مسلح باید الزامات فصل سوم و الزامات این بخش در نظر گرفته شود. نیروهای طراحی دیوار باید با در نظر گرفتن تأثیر سختی نسبی اعضای سازهای تحلیل شده و به دست آیند. تأثیر ترک خوردگی بر سختی عضو باید لحاظ شود.
1-9-6-4-8 الزامات ابعادی
1- ضخامت اسمی دیوار سازهای مسلح نباید از 150 میلیمتر کمتر باشد. در مورد دیوار باربر بنایی مسلح با واحد مصالح بنایی آجر سوراخدار، ضخامت اسمی 100 میلیمتر مجاز است، به شرط آنکه الزامات زیر برآورده شود:
الف – مقاومت واحد سطح خالص بیشتر از 5/5 مگاپاسکال باشد،
ب- نسبت لاغری بزرگتر از 25 نباشد،
پ- واحدها در پیوند ممتد قرار داشته باشند،
ت- اندازه قطر میلگرد بیشتر از 12 میلیمتر نباشد و
ج- حداکثر یک میلگرد با یک وصله در هر سوراخ قرار گیرد.
2- نسبت ارتفاع به عرض دیوار سازهای مسلح نباید از مقادیر مندرج در جدول 8-3-1 بیشتر باشد.
2-9-6-4-8 میلگردگذاری دیوار
کلیه دیوارها باید در دو راستای افقی و قائم میلگردگذاری شوند. در میلگردگذاری دیوارها رعایت ضوابط زیر الزامی است:
١- مساحت میلگرد افقی و قائم هر کدام نباید کمتر از 0/0007 مساحت کل مقطع، به ترتیب، قائم و عرضی دیوار باشد. همچنین، مجموع مساحت میلگردهای افقی و قائم باید حداقل 0/002 مساحت کل مقطع عرضی دیوار باشد.
2- حداقل 130 میلیمتر مربع از میلگردهای قائم باید در گوشهها، در محدوده 400 میلیمتری بازشوها، 200 میلیمتری درزهای انقطاع و 200 میلیمتری انتهای دیوار قرار داده شوند. میلگردهای قائم کنار بازشوها لازم نیست برای بازشوهای با عرض کوچکتر از 400 میلیمتر تأمین شوند، مگر اینکه میلگردهای طولی توسط این بازشو قطع شده باشند. در این صورت، لازم است به اندازه میلگردهایی که قطع میشوند، میلگرد مازاد در دو طرف بازشو قرار داده شود. این میلگردها باید به اندازه 600 میلیمتر در هر طرف از گوشه بازشو فراتر روند. چنان چه فضای کافی برای این امر تأمین نباشد، لازم است انتهای این میلگردها با خم 90 درجه قلاب شوند و یا با قلاب 180 درجه به میلگردهای افقی مهار شوند.
٣- میلگردهای افقی که در بستر قرار میگیرند باید حداقل دو میلگرد طولی، هر کدام به قطر حداقل 6 میلیمتر باشند.
4- لازم است در بالا و پایین بازشو میلگرد افقی تعبیه شود و حداقل به مقدار 600 میلیمتر یا 40 برابر قطر میلگرد، هر کدام که بیشتر است، پس از باز شو ادامه داده شود. بالاترین میلگرد افقی نباید پایینتر از 300 میلیمتر از زیر سقف تعبیه شود. میلگرد افقی کنار بازشو لازم نیست برای بازشوهای کوچکتر از 400 میلیمتر تأمین شود، مگر اینکه میلگردهای طولی توسط این بازشو قطع شده باشند. در این صورت، لازم است به اندازه میلگردهایی که قطع میشوند، میلگرد مازاد در بالا و پایین بازشو قرار داده شود. این میلگردها باید به اندازه 600 میلیمتر در هر طرف از گوشه بازشو فراتر روند. چنانچه فضای کافی برای این امر تأمین نباشد، لازم است انتهای این میلگردها با خم 90 درجه قلاب شوند و یا با قلاب 180 درجه به میلگردهای قائم مهار شوند.
5- فاصله میلگردهای قائم نباید از یک سوم طول دیوار، یک سوم ارتفاع دیوار و یا 600 میلیمتر بیشتر شود.
6- فواصل میلگردهای افقی نباید از یک سوم طول دیوار، یک سوم ارتفاع دیوار و یا 600 میلیمتر فراتر رود. این میلگردها باید به طور یکنواخت در دیوار پخش شده و در دوغاب مدفون شوند.
7- قطر میلگرد نباید از 10 میلیمتر کمتر باشد (به غیر از میلگرد بستر که ممکن است به عنوان تمام یا بخشی از حداقل میلگرد مورد نیاز، در نظر گرفته شود).
8- میلگردها باید در اطراف گوشههای دیوار و در محل تقاطع دیوارها به صورت پیوسته قرار داده شوند، مگر اینکه دیوارهای متقاطع از یکدیگر جدا باشند.
9- فقط میلگردهای افقی که در دیوار یا عضو به صورت پیوسته قرار دارند باید در محاسبه سطح میلگرد افقی منظور شوند.
10- انتهای میلگردهای برشی افقی باید دور میلگردهای قائم با قلاب استاندارد مهار شوند.
3-9-6-4-8 میلگردگذاری دیوار جدا از سیستم لرزهای سازه
دیوار بنایی که جزئی از سیستم باربر جانبی نیست، باید در راستای درون صفحه خود از سیستم باربر جانبی مجزا شود، مگر در مواردی که برای باربری ثقلی به آن نیاز است. اتصالات جداکننده باید بر اساس سازگاری تغییر مکانهای جانبی نسبی طبقات طرح شوند. دیوار جدا از سیستم لرزهای سازه باید دارای حداقل میلگرد افقی برابر با 0/0007 مساحت مقطع عرضی دیوار باشد. این ضابطه باید با توزیع یکنواخت میلگرد بستر یا با میلگردهای افقی که فاصله آنها از یکدیگر بیش از 600 میلیمتر نباشد و بطور کامل در ملات یا دوغاب مدفون باشند، برآورده شود.
4-9-6-4-8 طراحی دیوار برای بارهای خارج از صفحه
الزامات این بخش برای طراحی دیوار در برابر بارهای خارج از صفحه میباشد. محاسبات لنگر و تغییر شکل در این بند بر اساس شرایط تکیه گاه ساده در بالا و پایین دیوار میباشند. برای شرایط دیگر تکیه گاهی و گیرداری، لنگر و تغییر شکل باید با استفاده از اصول تحلیل سازه محاسبه شوند. همچنین، تنش محوری ضریب دار دیوار باید الزامات رابطه 8-4-13 را برآورده سازد.
| (13-4-8) |
چنانچه نسبت ارتفاع مؤثر به ضخامت اسمی (h/t) از 30 فراتر رود، تنش محوری ضریب دار نباید از 0/05f’m بیشتر شود.
الف – لنگر و نیروی محوری ضریب دار:
لنگر و نیروی محوری ضریبدار باید در وسط ارتفاع دیوار محاسبه شده و در طراحی استفاده شود. لنگر ضریب دار (Mu) در وسط ارتفاع دیوار باید با استفاده از رابطه 8-4-14 محاسبه شود.
| (14-4-8) |
که:
| (15-4-8) | Pu = Puw + Puf |
تغییرشکل ناشی از بارهای ضریبدار (δu) باید از روابط 8-4-17 و 8-4-18 با جایگزینی Mser با Mu و δs با δu به دست آید.
ب- مقاومت محوری، خمشی و برشی اسمی:
مقاومت محوری، خمشی و برشی اسمی با استفاده از ضوابط بند 8-4-6-2 به دست میآیند.
پ – کنترل خیز وسط ارتفاع:
خیز افقی وسط ارتفاع (δs) تحت بارهای محوری و جانبی بهره برداری (بدون ضريب) باید به رابطه 8-4-16 محدود شود:
| (16-4-8) | δs = 0.007h |
اثرات P-Δ باید در محاسبه خیز لحاظ شوند. خیز وسط ارتفاع باید با استفاده از رابطه 8-4-17 یا 8-4-18 محاسبه شود:
الف- برای Mser≤Mcr :
| (17-4-8) |
ب- برای Mn < Mser < Mcr
| (18-4-8) |
در روابط (8-4-17) و (8-4-18):
١- لنگر نظیر ترک خوردگی دیوار باید با استفاده از مدول گسیختگی (fr)، ارائه شده در جدول 8-2-6 ، محاسبه شود.
2- تار خنثی برای محاسبه ممان اینرسی مقطع ترک خورده (Icr) باید بر اساس فرضیات طراحی (بند 8-4-6-1) محاسبه شود. تأثیر بارهای محوری را میتوان در محاسبه Icr لحاظ کرد.
3- در غیاب تحلیلهای جامعتر برای محاسبه سختی، ممان اینرسی مقطع ترک خورده برای یک دیوار باید با استفاده از روابط 8-4-19 و 8-4-20 محاسبه شود.
| (19-4-8) |
که در آن :
| (20-4-8) |
5-9-6-4-8 طراحی دیوار برای بارهای درون صفحه
طراحی دیوار برای تلاشهای ناشی از بارهای درون صفحه مطابق با ضوابط این بخش میباشد.
1-5-9-6-4-8 طراحی برای خمش و نیروی محوری
طراحی دیوار برای لنگر خمشی و نیروی محوری درون صفحه بر اساس ضوابط زیر انجام میشود.
١- لنگر خمشی حداکثر در دیواری که با یک انحنا تغییر شکل میدهد در پای دیوار محاسبه شده و در دیواری که با دو انحنا تغییر شکل میدهد میتوان آن را از حاصل ضرب نیروی برشی ضریب دار درون صفحه دیوار در نصف ارتفاع آزاد دیوار محاسبه کرد.
2- مقاومت خمشی و محوری اسمی باید بر اساس بندهای 8-4-6-2-1 و 8-4-6-2-2 محاسبه شوند.
3- میلگردهای طولی خمشی، یا به صورت یکنواخت در طول دیوار و یا به صورت متقارن در دو انتهای دیوار و یا درون المانهای مرزی دیوار، با رعایت الزامات آرایش میلگردها، مندرج در بند 8-4-4 ، قرار داده شوند.
4- چنان چه دیوار برشی بر اساس الزامات بند 8-4-6-9-5-3 طراحی شده باشد، الزامات مربوط به حداکثر میلگرد مندرج در بند 8-4-6-4 نباید در نظر گرفته شود.
2-5-9-6-4-8 طراحی برای برش
طراحی دیوار برای نیروی برش درون صفحه بر اساس ضوابط زیر انجام میشود:
١- مقاومت برشی طراحی باید از برش متناظر با 1/25 برابر مقاومت خمشی اسمی، Mu، المان بیشتر باشد.
2- مقاومت برشی اسمی باید بر اساس بند 8-4-6-2-3 محاسبه شود.
3- چنان چه نیروی برشی ضریب دار از مقاومت اسمی برشی بنایی کمتر باشد، باید میلگرد برشی حداقل بر اساس ضوابط بند 8-4-6-9-2 استفاده شود.
4- چنان چه نیروی برشی ضریب دار از مقاومت اسمی برشی بنایی بیشتر باشد، باید میلگرد برشی بر اساس بند 8-4-6-2-3 محاسبه شود.
5- میلگردهای برشی Av ، به صورت افقی در دیوار تعبیه میشوند.
6- علاوه بر میلگردهای برشی افقی، لازم است میلگردهای قائم به میزان حداقل یک سوم Av در دیوار تعبیه شوند. این میلگردها باید به صورت یکنواخت در دیوار پخش شده و نباید فاصله بین آنها از 600 میلیمتر بیشتر شود.
3-5-9-6-4-8 المانهای مرزی دیوار
کنترل نیاز به المان مرزی:
1- اجرای المانهای مرزی در دیوارهای تحت برش درون صفحه که یکی از شرایط زیر را دارا باشند الزامی نمیباشد :
الف- برای دیوارهای با مقطع متقارن: Pu≤0/1Agf’m
برای دیوارهای با مقطع نامتقارن: Pu≤0/05Agf’m
ب-
پ-
Pu از ترکیب بارهای لرزهای و ثقلی بدست میآید.
2- چنان چه المانهای مرزی بر اساس مورد 1 نیاز باشد، الزامات زیر باید بر آورده شود:
الف- المانهای مرزی باید از دورترین تار فشاری حداقل به اندازه بزرگترین (c-0/1 lw) و (2/c) ادامه یابند.
ب- در مقاطع بالدار، المان مرزی باید شامل عرض مؤثر بال در فشار بوده و به اندازه حداقل 300 میلیمتر در جان ادامه یابد.
پ- میلگردهای عرضی المان مرزی باید به اندازه حداقل طول مهاری میلگردهای المان مرزی در زیر دیوار ادامه یابند، مگر اینکه المان مرزی به پی ختم شود، که در این صورت میلگردهای عرضی باید حداقل 300 میلیمتر در پی ادامه یابند.
ت- میلگردهای افقی دیوار باید برای رسیدن به مقاومت تسلیم (fy) درون هسته المان مرزی مهار شوند.
المان مرزی برای دیوار تک انحنا:
چنانچه دیواری با یک انحنا دچار خمش شود، به طوری که حالت حدی رفتار خمشی در آن با تسلیم میلگردهای پایین دیوار کنترل شود و بر اساس شروط فوق نیاز به المان مرزی داشته باشد، لازم است بر اساس ضوابط زیر در آن المان مرزی اجرا نمود:
1- چنان چه شرط زیر حاکم باشد نیازی به اجرای المان مرزی نمیباشد.
| (21-4-8) |
2- میلگردهای المان مرزی باید در راستای قائم از مقطع بحرانی به اندازه حداقل lw و Mu/4Vu ادامه یابند.
المان مرزی برای سایر دیوارها:
در سایر دیوارهایی که نیاز به المان مرزی دارند، چنان چه تنش فشاری در دورترین تار مقطع دیوار بیش از 0/2f’m باشد، باید المانهای مرزی در دو انتهای دیوار و لبه بازشوها تعبیه شوند. المان مرزی در جایی که تنش فشاری از 0/15f’m کمتر باشد لازم نیست ادامه یابد. تنشها باید تحت بارهای ضریبدار، شامل بار زلزله و با استفاده از تحلیل ارتجاعی خطی و مقاطع ناخالص محاسبه شوند. برای دیوارهای بال دار، عرض مؤثر بال مطابق بند 8-4-6-10-1 تعریف میشود.
10-6-4-8 دیوارهای متقاطع
دیوارهای متقاطع باید الزامات زیر را برآورده سازند.
1-10-6-4-8 الزامات عمومی
1- واحدهای مصالح بنایی باید دارای چینشی با هم پوشانی مناسب باشند.
2- مشارکت بالها در مقابله با بارهای وارده باید در نظر گرفته شود.
٣- عرض مؤثر بال در هر سمت جان باید کمترین مقادیر زیر در نظر گرفته شود:
الف – عرض واقعی بال در هرسمت،
ب- چنان چه بال در فشار باشد: شش برابر ضخامت اسمی بال،
پ- چنان چه بال در کشش خمشی باشد: سه چهارم ارتفاع دیوار (کف تا کف).
4- طراحی برای برش، شامل انتقال برش در سطوح تماس باید بر اساس بند 8-4-6-9 صورت گیرد.
2-10-6-4-8 الزامات اتصال دیوارهای متقاطع
اتصال دیوارهای متقاطع باید بر اساس الزامات زیر انجام شود:
1- در دیوارهای ممتد، میلگردهای افقی دیوارها باید بدون قطع و یا وصله شدن در محل اتصال، به طول حداقل برابر 500 میلیمتر از بر اتصال، ادامه داشته باشند.
2- در تقاطعی که یک و یا هر دو دیوار ادامه نمییابند، میلگردهای افقی دیواری که ادامه نمییابد باید با خم 90 درجه، به طول حداقل برابر 500 میلیمتر از بر اتصال، در دیوار متقاطع مهار شوند.
علاوه بر الزامات فوق، باید حداقل یکی از الزامات زیر نیز در تقاطع اجرا شود.
١- واحدهای بنایی در تمام ارتفاع محل تماس باید با هم پوشانی مناسب به یکدیگر قفل شوند.
2- دیوارها با استفاده از اتصالات فولادی که در داخل هسته میانی و یا حفره واحد بنایی دوغاب شده قرار میگیرند، مطابق ضوابط زیر در ارتفاع مهار شوند:
الف – اتصال فولادی باید دارای حداقل سطح مقطع 200 میلیمتر مربع و طول 700 میلیمتر باشد.
ب- حداکثر فاصله اتصالات فولادی 1/2 متر میباشد.
3- تیرچه اتصال مسلح در فواصل حداکثر 1/2 متر تأمین شود. مساحت میلگرد در هر تیرچه اتصال نباید کمتر از 200 میلیمتر مربع در هر متر ارتفاع دیوار باشد. میلگردها باید در هر سمت اتصال مهار شوند.
11-6-4-8 پیچ مهار
پیچ مهار باید بر اساس ضوابط این بند طراحی شود.
1-11-6-4-8 مقاومت اسمی بدست آمده از آزمایش
1- حداقل پنج نمونه پیچ مهار باید بر اساس استانداردهای معتبر تحت آزمایش قرار گیرند. شرایط بارگذاری در آزمون باید بیانگر شیوه استفاده مورد انتظار از پیچ مهار باشد.
2- مقاومت اسمی پیچ مهار نباید از 65 درصد میانگین نیروی متناظر با زوال نمونهها حاصل از آزمون بیشتر در نظر گرفته شود.
2-11-6-4-8 مقاومت اسمی محاسباتی
مقاومت اسمی پیچ مهار سردار و پیچ مهار خمیده مدفون در ملات یا دوغاب بر اساس ضوابط زیر به دست میآید.
1-2-11-6-4-8 مقاومت کششی اسمی پیچ مهار سردار
مقاومت کششی اسمی پیچ مهار سردار (Ban) با استفاده از رابطه 8-4-22 (چنانچه مقاومت کششی با شکست کششی مصالح بنایی کنترل شود) و یا رابطه 8-4-23 (چنان چه مقاومت کششی با تسليم فولاد کنترل شود)، به دست میآید. مقاومت کششی محوری طراحی (ϕBan) نیز از حاصل ضرب ضریب کاهش مقاومت در کمترین مقدار به دست آمده از روابط 8-4-22 و 8-4-23 به دست میآید.
| (22-4-8) | |
| (23-4-8) |
2-2-11-6-4-8 مقاومت کششی اسمی پیچ مهار خمیده
مقاومت کششی اسمی پیچ مهارخميده مدفون (Ban) با استفاده از رابطه 8-4-24 (چنان چه مقاومت کششی با شکست کششی مصالح بنایی کنترل شود)، یا رابطه 8-4-25 (چنان چه مقاومت کششی با بیرون کشیده شدن پیچ مهار کنترل شود) و یا رابطه 8-4-26 (چنانچه مقاومت کششی با تسلیم فولاد کنترل شود) به دست میآید. مقاومت کششی محوری طراحی نیز (ϕBan) از حاصل ضرب ضریب کاهش مقاومت در کمترین مقدار به دست آمده از روابط 8-4-24 الی 8-4-26 به دست میآید.
| (24-4-8) | |
| (25-4-8) | |
| (26-4-8) |
در رابطه (8-4-25)، eb فاصله بین ابتدای خم پیچ مهار تا انتهای قلاب پیچ میباشد.
3-2-11-6-4-8 مقاومت برشی پیچ مهار سردار و خمیده
مقاومت برشی اسمی پیچ مهار سردار و خمیده با استفاده از رابطه 8-4-27 (چنانچه مقاومت برشی با شکست کششی مصالح بنایی کنترل شود) یا رابطه 8-4-28 (چنانچه مقاومت برشی با خرد شدن مصالح بنایی کنترل شود) یا رابطه 8-4-29 (چنانچه مقاومت برشی با بیرون کشیده شدن پیچ مهار کنترل شود) یا رابطه 8-4-30 (چنانچه مقاومت برشی با تسلیم فولاد کنترل شود) به دست میآید. مقاومت برشی طراحی (ϕBvn) نیز از حاصل ضرب کمترین مقدار به دست آمده از روابط 8-4-27 الی 8-4-30 در ضریب کاهش مقاومت به دست میآید.
| (27-4-8) | |
| (28-4-8) | |
| (29-4-8) | |
| (30-4-8) |
4-2-11-6-4-8 پیچ مهار تحت ترکیب کشش محوری و برش
پیچ مهاری که تحت ترکیب کشش محوری و برش قرار دارد باید رابطه 8-4-31 را برآورده نماید.
| (31-4-8) |
12-6-4-8 طراحی و اجرای پی
پی ساختمان بنایی مسلح با در نظر گرفتن تلاشهای محوری، خمشی، برشی و لهیدگی ناشی از اعمال بارهای ثقلی و جانبی وارد از عناصر قائم ساختمان، به صورت پی بتن مسلح نواری و یا مرکب و بر اساس ضوابط مندرج در مبحث نهم مقررات ملی ساختمان طراحی میشود. در اجرای پی، تعبیه میلگرد ریشه برای کلیه میلگردهای عمودی عناصر قائم دیوار، جرز و ستون، با سطح مقطعی حداقل برابر سطح مقطع میلگرد قائم و با در نظر گرفتن ضوابط مندرج در مبحث نهم مقررات ملی ساختمان، الزامی است.
13-6-4-8 طراحی و اجرای دال و دیافراگم
دال کفها و سقف ساختمان بنایی مسلح میتواند از انواع تیرچه بلوک، بتن آرمه و یا هر دال مهندسی دیگری، که توان و یکپارچگی لازم جهت انتقال نیروهای ثقلی و جانبی به عناصر مقاوم ساختمان را داشته باشد، انتخاب شود. تحلیل و طراحی دال و دیافراگم، بسته به نوع آن، بر اساس ضوابط زیر انجام میپذیرد.
1-13-6-4-8 دال تیرچه بلوک
دال تیرچه بلوک اساساً یک دال بنایی مسلح است. این دال در ابتدا برای پوشش سقف در ساختمانهای بنایی مسلح (به ویژه بنایی مسلح با بلوک سیمانی) ابداع گردید، هر چند در حال حاضر از آن برای پوشش سقف در ساختمانهای دیگر، از جمله ساختمانهای بتن آرمه و فولادی نیز استفاده میشود. طراحی سقف تیرچه بلوک باید بر مبنای دستورالعملها و استانداردهای معتبر انجام پذیرد. در اجرای سقف تیرچه بلوک، رعایت ضوابط زیر الزامی است.
١- سقف باید از طریق تیرچهها و میلگرد اتصال به نحو مناسب به اعضای باربر بنایی مسلح متصل شود.
2- میلگردهای حرارتی مورد استفاده در بتن پوشش سقف باید حداقل به قطر 6 میلیمتر بوده و در فواصل حداکثر 250 میلیمتر، به صورت کاملاً کشیده، در جهت عمود بر تیرچهها، قرار داده شوند. رعایت فاصله حداقل 20 میلیمتر بین شبکه میلگرد پوشش بتن و سطح بلوکها و همچنین حداقل 20 میلیمتر پوشش بتن روی شبکه میلگرد حرارتی الزامی است.
٣- ضخامت پوشش بتن روی بلوکها نباید از 50 میلیمتر کمتر و از 70 میلیمتر بیشتر باشد.
4- چنان چه دهانه تیرچهها از 4 متر بیشتر باشد، لازم است تیرچهها به وسیله کلاف عرضی که عرض مقطع آن حداقل 100 میلیمتر باشد به هم متصل شوند. این کلاف باید دارای حداقل 2 میلگرد آجدار سراسری، هر کدام به قطر حداقل 10 میلیمتر (یکی در بالا و یکی در پائین مقطع کلاف) باشد.
5- در صورت وجود طره در سقف، لازم است در بالای طره میلگردهایی حداقل به اندازه میلگردهای پایین طره و به طول حداقل 1/5 متر تعبیه شوند.
2-13-6-4-8 دال بتنآرمه
در ساختمانهای بنایی مسلح، لازم است طراحی و اجرای کفها و سقف بتن آرمه بر اساس ضوابط مندرج در مبحث نهم مقررات ملی ساختمان انجام شود.
3-13-6-4-8 دال تاق ضربی
در ساختمانهای بنایی مسلح، لازم است اجرای کفها و سقف تاق ضربی بر اساس ضوابط بند 8-5-5-8-1 انجام شود.
7-8-9 اجرای اعضای بنایی مسلح
روشهای گوناگونی برای اجرای اعضای بنایی آجری، بلوک سیمانی و یا ترکیب این دو وجود دارد. نمونههایی از روشهای اجرایی اعضای بنایی مسلح در بند 8-ر-4-7 راهنمای این مبحث آورده شده است.
8-8-9 الزامات غیرسازهای
1-8-4-8 نماسازی
در نماسازی ساختمان باید الزامات بند 8-3-5-6 رعایت شود.
2-8-4-8 دیوار جداگر
در ساختمانهای بنایی مسلح، دیوار جداگر، به عنوان یک عضو غیرسازهای میتواند از نوع بنایی مسلح، بنایی غیرمسلح و یا انواع دیگر باشد. در ساخت دیوارهای جداگر بنایی، الزامات زیر باید رعایت شود:
1-2-7-4-8 دیوار جداگر بنایی مسلح
1- دیوار غیرسازهای جداگر بنایی مسلح باید برای لنگرهای خارج از صفحه ناشی از اینرسی لرزهای خود محاسبه و طراحی شود.
2- عرض دیوار جداگر آجری نباید از 100 میلیمتر و عرض دیوار جداگر بلوک سفالی یا بتنی نباید از 80 میلیمتر کمتر باشد. دیوار جداگر آجری باید صرفاً با آجر سوراخ دار و ملات ماسه – سیمان ساخته شود.
٣- ارتفاع دیوار جداگر بنایی مسلح از تراز کف مجاور نباید از 4 متر یا چهل برابر عرض دیوار بیشتر باشد. در صورت تجاوز از این حد، باید با استفاده از مهارهای افقی مناسب، مانند کلاف (مطابق بند 8-5-5-6-3)، این الزام محقق شود. مهار افقی باید در طول دیوار به طور پیوسته ادامه یافته و به نزدیکترین عناصر قائم سازهای مهار شود. در تحلیل و طراحی دیوار جداگر، میتوان سهم باربری مهارهای افقی را لحاظ نمود.
4- طول آزاد دیوار جداگر بنایی مسلح، بین دو عضو سازهای مسلح، نباید از 5 متر یا پنجاه برابر عرض دیوار بیشتر باشد. در صورت تجاوز از این حد، باید با استفاده از مهارهای قائم مناسب، مانند دیوار یا جرز بنایی مسلح متعامد و یا ستون بنایی مسلح و یا کلاف (مطابق بند 8-5-5-6-3)، این الزام محقق شود. مهار قائم باید در تمام ارتفاع دیوار به طور پیوسته ادامه یافته و به نزدیکترین عناصر افقی سازهای مهار شود. در تحلیل و طراحی دیوار جداگر، میتوان سهم باربری مهارهای قائم را لحاظ نمود.
5- دیوار غیرسازهای جداگر باید به نحو مناسب به اعضای سازهای مانند دیوار، جرز، ستون، تیر، کف و پی متصل شوند. برای این منظور، لازم است میلگردهای دیوار جداگر در اعضای سازهای مهار شوند.
6- برای اتصال دیوار جداگر به اعضای سازهای باید از طرحهایی استفاده شود که صدمات وارد به دیوار جداگر در اثر تغییر شکل اعضای سازهای به حداقل برسد.
2-2-8-4-8 دیوار جداگر بنایی غیرمسلح
دیوار غیرسازهای بنایی غیر مسلح باید الزامات بند 8-3-5-1 را برآورده نماید.
3-8-4-8 پلکان
در ساخت پلکان، باید الزامات بند 8-3-5-4 رعایت شود.
4-8-4-8 آسانسور و بالابر
نصب آسانسور و بالابر در ساختمانهای بنایی مسلح، با رعایت ضوابط مندرج در مبحث پانزدهم مقررات ملی ساختمان مجاز میباشد. علاوه بر آن باید الزامات فصل سوم این مبحث (بند 8-3-5-5) نیز رعایت شود.
5-8-4-8 کف سازی
در کف سازی طبقات و بام باید الزامات بند 8-3-5-2 رعایت شود.
6-8-4-8 تاسیسات
تاسیسات ساختمانهای بنایی مسلح باید بر مبنای ضوابط مندرج در مباحث مربوطه مقررات ملی ساختمان طراحی و نصب شوند. علاوه بر آن باید الزامات بند 8-3-5-12 نیز رعایت شود.
7-8-4-8 دیوار محوطه
در ساختمانهای بنایی مسلح، دیوار محوطه، به عنوان یک عضو غیرسازهای میتواند از نوع بنایی مسلح، بنایی غیر مسلح و یا انواع دیگر باشد. در ساخت دیوار محوطه بنایی، باید الزامات بند 8-3-6 رعایت شود.