آیین‌نامه‌ها

صفحه اصلی / آیین‌نامه‌ها / آیین‌نامه طراحی ساختمان‌ها در برابر زلزله (استاندارد 2800)
پیوست 6: طراحی لرزه‌ای و اجرای اجزای غیرسازه‌ای معماری

پیوست 6: طراحی لرزه‌ای و اجرای اجزای غیرسازه‌ای معماری

آبان 1393

پ6-1-ضوابط‌ اجزای غیرسازه‌ای معماری
پ6-1-1 مقدمه‌

در فصل‌ چهارم این‌ استاندارد ضوابط‌ طراحی‌ مهار لرزه‌ای اجزای غیرسازه‌ای ساختمان‌ها بیان شده است‌. در این‌ پیوست‌ راهکارهایی‌ برای طراحی‌ و مهار لرزه‌ای اجزای غیرسازه‌ای معماری ارائه‌ شده است‌. رعایت‌ جزییات ارائه‌ شده در این‌ پیوست‌ الزامی‌ است‌ ولی‌ مهندس طراح می‌تواند از سایر راهکارها، در صورتی‌که‌ محاسبات مربوط به‌ طراحی‌ و مهار لرزه‌ای براساس ضوابط‌ فصل‌ چهارم انجام شود و اهداف این‌ پیوست‌ را برآورده نماید، استفاده کند. نمونه‌هایی‌ از جزییات مهار لرزه‌ای اجزای غیرسازه‌ای مکانیکی‌، الکتریکی‌ و بیمارستانی‌ در نشریه‌ 743 سازمان برنامه‌ و بودجه‌ کشور ارائه‌ شده است‌.

پ6-1-2- انواع اجزای غیرسازه‌ای معماری

اجزای غیرسازه‌ای معماری ساختمان شامل‌ موارد زیر است‌:

  1. دیوار خارجی
  2. تیغه‌ و دیوار داخلی‌
  3. جان‌پناه
  4. راه‌پله‌
  5. سقف‌ کاذب
  6. نما
  7. سایر موارد
پ6-1-3- بارها و اثرات ناشی‌ از زلزله‌

بارهای لرزه‌ای وارد به‌ اجزای غیرسازه‌ای معماری همراه با محدودیت‌هایی‌ که‌ در تغییرمکان‌های جانبی‌ آن‌ها باید رعایت‌ شود در بندهای 4-1 و 4-2 این‌ استاندارد ارائه‌ شده است‌.

این‌ نیرو باید همراه با بارهای مرده مورد انتظار به‌ عضو غیرسازه‌ای اعمال شده و به‌ صورتی‌ باشد که‌ بیشترین‌ نیاز را در تکیه‌گاه‌ها و مهارهای آن‌ها ایجاد کند. در ارتباط با تغییرمکان‌ها، باید مقدار عرض درزهای انقطاع در نظر گرفته‌ شده با ضابطه‌ ارائه‌ شده در این‌ پیوست‌ سازگار باشد.

پ6-1-4- ضوابط‌ و الزامات لرزه‌ای اجزای غیرسازه ای
پ6-1-4-1- دیوارها

در این‌ بند ضوابط‌ و الزامات دیوار، بسته‌ به‌ نوع کاربرد آن ارائه‌ شده است‌. دیوارها را می‌توان به‌ دو صورت غیرپیوسته‌ (جداسازی شده از سازه اصلی‌) و یا چسبانده شده به‌ دیوار (میانقابی‌) طراحی‌ و اجرا نمود. دیوارهای غیرپیوسته‌ به‌ دیواری اطلاق می‌شود که‌ بجز در کف‌ها با پیش‌بینی‌ درز انقطاع از سازه باربر جانبی‌ جداشده و در سختی‌ آن دخالت‌ ندارند و مزاحمتی‌ برای رفتار سازه ایجاد نمی‌کنند. در دیوارهای غیرپیوسته‌ لازم است‌ دیوار و اتصالات آن صرفاً تحت‌ اثر نیروهای اینرسی‌ خارج صفحه‌ کنترل شوند. الزامات لازم برای جداسازی مطابق‌ جزییات ارائه‌ شده در این‌ بند باید در کلیه‌ ساختمان‌های بلندتر از چهارطبقه‌ و نیز در ساختمان‌های با اهمیت‌ بسیار زیاد و با طبقات کمتر از چهار طبقه‌ رعایت‌ شود.

دیوارهای چسبانده شده به‌ سازه (میانقابی‌) در سختی‌ آن دخالت‌ دارند و باید در برآورد نیروهای وارد بر آن طبق‌ بخش‌ پ6-2 دخالت‌ داده شوند. در این‌ صورت باید رفتار و عملکرد میانقابی‌ دیوار و نیروهای وارد بر تیر و ستون و خود دیوار – بر اثر این‌ رفتار- براساس ضوابط‌ ارائه‌ شده در آن بخش‌ در محاسبات لحاظ شود.

پ6-1-4-1-1- دیوارهای خارجی‌

دیوارهای خارجی‌ را می‌توان با ایجاد درز پیوسته‌ بین‌ آن‌ها و سازه محیطی‌ غیرپیوسته‌ کرد. برای این‌ دیوارها باید اتصالاتی‌ در نظر گرفت‌ که‌ قابلیت‌ حرکت‌ داخل‌ صفحه‌ و مهار خارج از صفحه‌ را به‌ دیوار بدهند (بندهای 1-5-8 و 4-5-3 این‌ استاندارد). فواصل‌ جداسازی دیوارها از قاب باید توسط‌ مواد تراکم‌پذیر مناسب‌ از قبیل‌ پشم‌ سنگ‌ ضد رطوبت‌ پر شوند. توصیه‌ می‌شود برای جلوگیری از ترک‌خوردگی‌ در نازک‌کاری از یک‌ لایه‌ شبکه‌ الیاف یا رابیتس‌ بر روی مواد تراکم‌پذیر استفاده شود. در بیمارستان‌ها ساختمان‌ها برای جلوگیری از ایجاد ترک‌خوردگی‌ در نازک‌کاری، در گوشه‌های دیوار در هنگام زلزله‌ لازم است‌ از اتصالات کشویی‌ سرتاسری در کناره‌ها و تراز سقف‌ استفاده شود. در سایر ساختمان‌های با اهمیت‌ بسیار زیاد استفاده از این‌ ضابطه‌ توصیه‌ می‌شود.

پ6-1-4-1-1-1- محدودیت‌ ابعاد هندسی‌

طول آزاد دیوار خارجی‌ در پلان نباید از 4 متر و ارتفاع آزاد آن نباید از 3.5 متر بیشتر در نظر گرفته‌ شود. در دیوارهای با طول بیشتر از 4 متر باید از عضو قائم‌ با مقطع‌ فولادی یا بتنی‌ به‌ عنوان تکیه‌گاه جهت‌ مهار خارج از صفحه‌ دیوار (وادار) و در دیوارهای با ارتفاع بیش‌ از 3.5 متر باید با استفاده از عضو افقی‌ با مقطع‌ فولادی یا بتنی‌ (تیرک) ارتفاع آ زاد را کاهش‌ داد. جزییات وادارها و تیرک‌ها در بندهای پ6-1-4-2-1و پ6-1-4-2-4 ارائه‌ شده است‌. در دیوارهای پانلی‌ کارخانه‌‌ای ارتفاع دیوار می‌تواند تا حدی که‌ برای برش و خمش‌ عمود بر صفحه‌ طراحی‌ شده، در نظر گرفته‌ شود.

پ6-1-4-1-1-2-طراحی‌ دیوارها

دیوارها باید برای بارهای اینرسی‌ ایجاد شده در آن‌ها، در جهت‌ داخل‌ صفحه‌ و در جهت‌ عمود بر صفحه‌ طراحی‌ شوند. در جهت‌ داخل‌ صفحه‌ دیوار تحت‌ تاثیر برش و خمش‌ و در جهت‌ عمود بر صفحه‌ تحت‌ تاثیر بار محوری ناشی‌ از وزن دیوار و برش و خمش‌ خارج از صفحه‌ عمودی و افقی‌ قرار می‌گیرد. روش طراحی‌ این‌ دیوارها در «راهنمای طراحی‌ سازه‌ای و جزییات اجرایی‌ دیوارهای غیرسازه‌ای – ضابطه‌ شماره 819 مرکز تحقیقات راه، مسکن‌ و شهرسازی» ارائه‌ شده است‌. شرایط‌ مرزی تحت‌ نیروهای عمود بر صفحه‌ باید به‌ صورت مفصلی‌ در نظر گرفته‌ شود.

تبصره1: دیوارهای خارجی‌ که‌ تمام ارتفاع طبقه‌ را پوشش‌ نمی‌دهند (دیوار کوتاه)، بخصوص در ساختمان‌های بتنی‌، همواره باید از قاب سازه‌ای جدا شوند. زیرا در غیراینصورت می‌تواند باعث‌ تشکیل‌ "ستون کوتاه" در سازه شود.

پ 6-1-4-1-1-3-عرض درز‌های انقطاع (فاصله‌ جداسازی)

فاصله‌ جداسازی دیوار از ستون‌ها به‌ اندازه 0/01 ارتفاع کف‌ تا کف‌ طبقه‌ و فاصله‌ جداسازی از سقف‌ برابر با بیشترین‌ دو مقدار 25 میلی‌متر و حداکثر خیز دراز مدت تیر می‌باشد.

پ 6-1-4-1-1-4- دیوارهای پانلی‌

دیوارهای پانلی‌ کارخانه‌ای که‌ به‌ صورت نوارهای قائم‌ در طول دیوار نصب‌ می‌شوند مجاز به‌ استفاده در ساختمان‌ها به‌ عنوان دیوار خارجی‌، می باشند. در این‌ حالت‌ دیوار به‌ صورت یک‌ دال یک‌طرفه عمل‌ می‌کند. دیوار باید با استفاده از نبشی‌ یا المان مشابه‌ در جهت‌ خارج از صفحه‌، در تراز سقف‌ و کف‌ مهار شود. در این‌ حالت‌ باید اتصال پانل‌ دیوار در تراز سقف‌ با نبشی‌ به‌ صورت کشویی‌ بوده و دیوار اجازه جابجایی‌ داخل‌ صفحه‌ را داشته‌ باشد. در این‌ نوع دیوارها نیازی به‌ اجرای وادار نمی‌باشد.

در صورتی‌که‌ ارتفاع دیوار به‌ اندازه‌ای باشد که‌ پانل‌، قابلیت‌ تحمل‌ بار خمشی‌ وارد بر آن را نداشته‌ باشد، باید از تیرک در تراز میانی‌ و وادار انتهایی‌ استفاده نمود. تیرک مورد استفاده به‌ وادار متصل‌ می‌شود و باید از اتصال آن به‌ ستون‌ها پرهیز شود. دیوارهای پانلی‌‌ای مجاز به‌ استفاده در صنعت‌ ساختمان هستند که‌ دارای گواهی‌نامه‌ فنی‌ از مرکز تحقیقات راه، مسکن‌ و شهرسازی باشند. استفاده از دیوارهای خارجی‌ پانلی‌ در بیمارستان‌ها موکداً توصیه‌ می‌شود.

پ 6-1-4-1-1-5-دیوارهای بلوکی‌

در دیوارهای بلوکی‌، دیوار مشابه‌ با یک‌ پوسته‌ و دال دو طرفه‌ طراحی‌ می‌شود. در این‌ حالت‌ جداسازی در جهت‌ داخل‌ صفحه‌ و مهار در جهت‌ خارج از صفحه‌ می‌تواند توسط‌ نبشی‌‌های فولادی و یا بست‌های U شکل‌ متصل‌ به‌ دال سازه‌ای در تراز سقف‌ و نبشی‌ یا بست‌های U شکل‌ متصل‌ به‌ ستون‌ها در دو انتهای (طرفین‌) دیوار و وادارهای میانی‌ انجام گردد. نبشی‌های فولادی می‌توانند منقطع‌ یا پیوسته‌ باشند که‌ باید برای نیروی خارج از صفحه‌ طراحی‌ شوند. در این‌ دیوارها باید از المان مسلح‌ کننده میلگرد بستر مورب یا نردبانی‌ برای دیوارهای دارای ملات ماسه‌ سیمان و از بست‌های فولادی منقطع‌ یا پیوسته‌ برای دیوارهای دارای ملات بستر نازک و یا محصولات جدید مانند نوارهای مش‌ الیاف، جهت‌ یکپارچه‌‌سازی و حفظ‌ پیوستگی‌ دیوار استفاده نمود. در دیوارهای با ارتفاع کمتر از 5/3 متر لزومی‌ به‌ اجرای وادار انتهایی‌ در نزدیکی‌ ستون نمی‌باشد.

پ6-1-4-1-2- دیوارهای داخلی‌ (تیغه‌ها)

خرابی‌ تیغه‌ها در زلزله‌ یکی‌ از عوامل‌ اصلی‌ آسیب‌رسان بوده است‌. به‌ علاوه در حالاتی‌ که‌ از تیغه‌ها به‌ عنوان مهار جانبی‌ برای لوله‌کشی‌، اتاقک‌های الکتریکی‌، قفسه‌ها یا دیگر اعضای غیرسازه‌ای استفاده می‌شود، خرابی‌ تیغه‌ها ممکن‌ است‌ باعث‌ آسیب‌رساندن به‌ این‌ تاسیسات شود. تیغه‌های داخلی‌ باید مانند دیوارهای خارجی‌ از سقف‌ و ستون‌ها جداسازی شوند.

فواصل‌ جداسازی دیوارها از قاب باید توسط‌ مواد تراکم‌پذی ر مناسب‌ از قبیل‌ پشم‌ سنگ‌ ضد رطوبت‌ پر شود. مانند دیوارهای خارجی‌ در دیوارهای داخلی‌ نیز توصیه‌ می‌شود برای جلوگیری از ترک‌خوردگی‌ در نازک‌کاری از یک‌ لایه‌ شبکه‌ الیاف یا رابیتس‌ بر روی مواد تراکم‌پذیر استفاده شود. در بیمارستان‌ها برای جلوگیری از ایجاد ترک‌خوردگی‌ در نازک‌کاری، در گوشه‌‌های دیوار در هنگام زلزله‌ لازم است‌ از اتصالات کشویی‌ سرتاسری در کناره‌ها و تراز سقف‌ استفاده شود. در سایر ساختمان‌های با اهمیت‌ بسیار زیاد استفاده از این‌ ضابطه‌ توصیه‌ می‌شود.

تبصره 1: در صورتی‌ که‌ از تیغه‌ به‌ عنوان مهار جانبی‌ دیگر اعضای غیرسازه‌ای استفاده شود، تیغه‌ و مهارهای لازم باید برای بار وارده کنترل شوند.

تبصره 2: تیغه‌هایی‌ که‌ تمام ارتفاع طبقه‌ را پوشش‌ نمی‌دهند (دیوار کوتاه) مانند دیوارهای خارجی‌ بخصوص در ساختمان‌های بتنی‌ همواره باید از قاب سازه‌ای جدا شوند.

پ6-1-4-1-2-1- فاصله‌ جداسازی

فاصله‌ جداسازی دیوارهای داخلی‌ از ستون‌ها به‌ اندازه 0/01 ارتفاع کف‌ تا کف‌ طبقه‌ و فاصله‌ جداسازی از سقف‌ برابر با بیشترین‌ دو مقدار 25 میلی‌متر و حداکثر خیز دراز مدت تیر می‌باشد.

پ6-1-4-1-2-2- تیغه‌ پانلی‌

در تیغه‌های پانلی‌ قائم‌، دیوار به‌ صورت یک‌ دال یک‌طرفه طراحی‌ می‌شود و دیوار باید با استفاده از قطعات نبشی‌ یا قطعه‌ اتصال مشابه‌ در جهت‌ خارج از صفحه‌ در تراز سقف‌ و کف‌ مهار شود. در این‌ حالت‌ باید اتصال پانل‌ دیوار در تراز سقف‌ با نبشی‌ یا ناودانی‌ به‌ صورت کشویی‌ بوده و دیوار اجازه جابجایی‌ داخل‌ صفحه‌ را داشته‌ باشد. در این‌ نوع دیوارها نیازی به‌ وادار انتهایی‌ یا میانی‌ نمی‌باشد.

پوشش‌ نما و یا پاشش‌ سیمان بر روی سطوح تیغه‌‌های پانلی‌ باید به‌ نحوی اجرا شود که‌ موجب‌ چسبیدن و اتصال نبشی‌ به‌ تیغه‌ پانلی‌ نشود و از حرکت‌ آن در داخل‌ صفحه‌ جلوگیری ننماید.

در صورتی‌که‌ ارتفاع دیوار به‌ اندازه‌ای باشد که‌ پانل‌ قابلیت‌ تحمل‌ بار خمشی‌ وارد بر آن را نداشته‌ باشد، باید از تیرک در تراز میانی‌ و وادار انتهایی‌ استفاده نمود. توجه‌ شود که‌ تیرک باید به‌ وادار متصل‌ شود و از اتصال آن به‌ ستون‌ها پرهیز شود. استفاده از دیوارهای داخلی‌ پنلی‌ در بیمارستان‌ها موکدا توصیه‌ می‌شود.

در تیغه‌های ساخته‌ شده از LSF باید توجه‌ شود که‌ تیرک پانل‌ سرد نورد نباید به‌ سقف‌ متصل‌ شود. در این‌ حالت‌ می‌توان از تیرک تغییرشکل‌ دهنده (دو تیرک قرار گرفته‌ در درون هم‌ که‌ به‌ صورت کشویی‌ امکان جابجایی‌ دارند و تیرک بالا به‌ سقف‌ متصل‌ بوده و تیرک پایین‌ به‌ قاب سرد نورد متصل‌ است‌) استفاده نمود برای جزییات بیشتر می‌توان به‌ نشریه‌ 612 سازمان برنامه‌ و بودجه‌ مراجعه‌ نمود.

پ6-1-4-1-2-3- تیغه‌ بلوکی‌

در تیغه‌های بلوکی‌، دیوار مشابه‌ با یک‌ پوسته‌ و دال دو طرفه‌ طراحی‌ می‌شود. جداسازی در جهت‌ داخل‌ صفحه‌ و مهار در جهت‌ خارج از صفحه‌ می‌تواند توسط‌ قطعات نبشی‌ فولادی، بست‌های U شکل‌ و یا قطعات مشابه‌ آن‌ها، متصل‌ به‌ سازه در تراز سقف‌ و متصل‌ به‌ ستون‌ها در دو انتهای (طرفین‌) دیوار و وادارهای میانی‌، انجام شود. قطعات اتصال می‌توانند منقطع‌ یا پیوسته‌ باشند که‌ باید برای نیروی خارج از صفحه‌ طراحی‌ شوند. در این‌ دیوارها باید از المان مسلح‌ کننده میلگرد بستر خرپایی‌ یا نردبانی‌ برای دیوارهای دارای ملات ماسه‌ سیمان و از بست‌های فولادی منقطع‌ یا پیوسته‌ برای دیوارهای دارای ملات بستر نازک جهت‌ یکپارچه‌سازی و حفظ‌ پیوستگی‌ دیوار استفاده کرد. در دیوارهای با ارتفاع کمتر از 3.5 متر لزومی‌ به‌ اجرای وادار انتهایی‌ در نزدیکی‌ ستون نمی‌باشد.

پ6-1-4-2-جزییات اجرایی‌ دیوارهای داخلی‌ و خارجی‌

اتصال دیوارها به‌ سازه باید به‌ نحوی انجام شود که‌ در اثر خیز تیرهای زیر و بالای دیوار، جابجایی‌ نسبی‌ طبقات و یا عوامل‌ وارد آورنده نیروی خارج از صفحه‌ از جمله‌ زلزله‌، باد و …، قطعه‌ دیوار پایدار بماند و عملکرد آن حفظ‌ شود و از ایجاد ترک شدید در دیوار جلوگیری نماید. در این‌ بند نمونه‌‌هایی از اتصالات مورد قبول ارائه‌ شده است‌. جزییات مشروحتر همراه با جداول مقاطع‌ محاسبه‌ شده در «راهنمای طراحی‌ سازه‌ای و جزییات اجرایی‌ دیوارهای غیرسازه ای– ضابطه‌ شماره 819 مرکز تحقیقات راه، مسکن‌ و شهرسازی» ارائه‌ شده است‌. دیوارهای بلوکی‌ با توجه‌ به‌ عملکرد دو طرفه‌ آن‌ها در جهت‌ افقی‌ باید با استفاده از ابزار مناسب‌ مسلح‌ شوند (شکل‌ پ6-1). این‌ مسئله‌ در دیوارهای بلوکی‌ اجرا شده با ملات می‌تواند با استفاده از میلگرد بستر خرپایی‌ یا نرده بانی‌ (شکل‌ پ6-2) و دیوارهای اجرا شده با ملات بستر نازک (ضخامت‌ ملات کمتر از 3 میلی‌متر) یا چسب‌های پلی‌یورتان با استفاده از بست‌های نازک فولادی منقطع‌ یا پیوسته‌ انجام شود (شکل‌ پ6-3 ). میلگردها و بست‌های مورد استفاده باید طبق‌ ضوابط‌ مبحث‌ هشتم‌ مقررات ملی‌ ساختمان در مواردی که‌ مورد نیاز است‌ از جنس‌ فولاد ضد زنگ‌ یا فولاد گالوانیزه و یا میلگرد آج‌دار سرد نورد باشند. حداقل‌ سطح‌ مقطع‌ قطعه‌ مسلح‌ کننده 0.0003 سطح‌ مقطع‌ موثر دیوار در برش خارج از صفحه‌ می‌باشد. حداکثر فاصله‌ قائم‌ قطعات مسلح‌ کننده در ارتفاع دیوار یک‌ متر می‌باشد که‌ باید قطعه‌ براساس آن طراحی‌ و محاسبه‌ شود.

دیوار خارجی‌ بلوکی‌ (سفال، آجر بلوک سیمانی‌ سبک‌ و…) دارای ملات سیمانی‌ مسلح‌ شده به‌ میلگرد بستر

شکل‌ پ6-1- دیوار خارجی‌ بلوکی‌ (سفال، آجر بلوک سیمانی‌ سبک‌ و…) دارای ملات سیمانی‌ مسلح‌ شده به‌ میلگرد بستر

میلگرد بستر خرپایی‌ یا نرده بانی‌

شکل‌ پ6-2- میلگرد بستر خرپایی‌ یا نرده بانی‌

بست‌های فلزی منقطع‌ در دیوارهای بلوکی‌ ساخته‌ شده از ملات بستر نازک

شکل‌ پ6-3- بست‌های فلزی منقطع‌ در دیوارهای بلوکی‌ ساخته‌ شده از ملات بستر نازک

پ6-1-4-2-1-وادارها

در صورتی‌که‌ طول دیوار از مقادیر مجاز براساس طراحی‌ (حداکثر 4 متر) بیشتر شود، از عضو قائم‌ با مقطع‌ فولادی یا بتنی‌ (وادار) به‌ عنوان تکیه‌گاه جهت‌ مهار خارج از صفحه‌ دیوار و اجزای مسلح‌ کننده آن استفاده می‌شود. وادار باید به‌ نحو مناسبی‌ به‌ کف‌ سازه با اتصال به‌ صورت مفصلی‌ متصل‌ شو د ولی‌ اتصال آن در زیر تراز سقف‌ باید در راست‌ای داخل‌ صفحه‌ به‌ صورت کشویی‌ باشد تا امکان جابجایی‌ درون صفحه‌ دیوار فراهم‌ شود. در دیوارهای خارجی‌ روی سطح‌ وادار باید به‌ وسیله‌ پشم‌ سنگ‌ ضد رطوبت‌ برای عایق‌بندی پوشانده شود و بر روی آن یک‌ لایه‌ مش‌ الیافی‌ یا رابیتس‌ برای جلوگیری از ترک‌خوردگی‌ نازک‌کاری اجرا شود (شکل‌ پ6-4).

اجرای عایق‌ پشم‌ سنگ‌ و مش‌ الیاف یا رابیتس‌ بر روی وادار

شکل‌ پ6-4- اجرای عایق‌ پشم‌ سنگ‌ و مش‌ الیاف یا رابیتس‌ بر روی وادار

پ6-1-4-2-2-اتصال به‌ وادارها

در دیوارهای غیرسازه‌ای در فواصل‌ بین‌ ستون‌ها برای مهار خارج از صفحه‌ دیوارها بسته‌ به‌ نوع و طول دیوار، ممکن‌ است‌ نیاز به‌ وادار باشد. برای انتقال بار به‌ وادار استفاده از اتصالات جوشی‌ یا پیچی‌ و نظایر آن‌ها به‌ وادار مجاز است‌ ولی‌ نباید از مقاومت‌ اصطکاکی‌ ناشی‌ از بارهای ثقلی‌ استفاده شود. دیوار با توجه‌ به‌ بارهای وارده و شرایط‌ لبه‌های آن در بالا (زیر سقف‌) و دو لبه‌ قائم‌ دو طرف دیوار و شرایط‌ مرزی زیر (روی کف‌) کنترل شوند و بر این‌ اساس حداقل‌ طول دیوار که‌ نیاز به‌ مهار با استفاده از وادار دارد محاسبه‌ شود.

فواصل‌ وادارها را می‌توان بر پایه‌ محاسبه‌ ظرفیت‌ خمشی‌ پانل‌ دیوار با فرض شرایط‌ تکیه‌گاهی‌ لبه‌‌ها و با اعمال بار وارد بر دیوار تعیین‌ نمود. باید توجه‌ نمود که‌ جزییات ارایه‌ شده در این‌ پیوست‌ شرایط‌ مفصلی‌ را تأمین‌ می‌کند. این‌ کنترل برای دیوارهای بلوکی‌ به‌ صورت دال دو طرفه‌ براساس ضابطه‌ شماره 819 مرکز تحقیقات راه، مسکن‌ و شهرسازی انجام می‌شود. دیوار بلوکی‌ در فاصله‌ بین‌ وادارها با میلگرد بستر یا تسمه‌های فولادی مسلح‌ می‌شود (شکل‌ پ6-5).

میلگرد بستر در فاصله‌ بین‌ وادارها و اتصال آن به‌ وادار

شکل‌ پ6-5- میلگرد بستر در فاصله‌ بین‌ وادارها و اتصال آن به‌ وادار

پ6-1-4-2-3- اتصال وادار به‌ قاب سازه‌ای

در دیوارهای بلوکی‌ که‌ نیاز به‌ وادار دارند به‌ منظور تامین‌ حرکت‌ جانبی‌ داخل‌ صفحه‌ دیوارها، مجموعه‌ دیوار و وادار همزمان از آزادی در حرکت‌ جانبی‌ برخوردارند. وادارها نباید به‌ نبشی‌های تعبیه‌ شده در تیرها که‌ تنها جهت‌ جلوگیری از حرکت‌ خارج از صفحه‌ نصب‌ شده‌اند جوش شوند (شکل‌ پ6-6- الف‌). با توجه‌ به‌ اتصال کشویی‌ وادار نیازی به‌ رعایت‌ فاصله‌ جداسازی دیوار در مجاورت وادارها نمی‌باشد و دیوار می‌تواند از بر وادار چیده شود.

تبصره: در دیوارهای واقع‌ در خارج قاب، وادارهای دو انتهای دیوار باید در برابر حرکت‌ جانبی‌ در هر دو جهت‌ مقید (به‌ صورت اتصال تلسکوپی‌) شوند و به‌ دیوار اجازه حرکت‌ داده شود. در این‌ حالت‌ جزییات اتصال دیوار به‌ این‌ وادارها مانند اتصال به‌ ستون‌ها می‌باشد در این‌ فاصله‌ جداسازی 1 % بین‌ وادار و دیوار باید رعایت‌ شود (شکل‌ پ6-6- ب).

اتصال وادار به‌ سقف‌

شکل‌ پ6-6- اتصال وادار به‌ سقف‌

پ6-1-4-2-4-تیرک‌ها (دیوارهای با ارتفاع بیش‌ از 5/3 متر)

در دیوارهای با ارتفاع بیش‌ از 5/3 متر باید با استفاده از عضو افقی‌ با مقطع‌ فولادی یا بتنی‌ (تیرک) ارتفاع آزاد دیوار را کاهش‌ داد. در این‌ حالت‌ برای اینکه‌ جداسازی دیوار از قاب سازه‌ای به‌ نحو مناسب‌ انجام شود، نیاز به‌ اجرای وادار انتهایی‌ برای نگه‌ داشتن‌ تیرک می‌باشد (جهت‌ عدم ایجاد مانع‌ برای تغییرشکل‌ تیر در ناحیه‌ مفصل‌ پلاستیک‌ وادار انتهایی‌ باید حداقل‌ در فاصله‌ یک‌ متری از بر ستون طبق‌ شکل‌ پ6-7 باشد). نحوه اجرای تیرک به‌ این‌ صورت است‌ که‌ تیرک باید به‌ صورت کامل‌ بر روی دیوار بن شیند و بار ثقلی‌ دیوار فوقانی‌ نباید به‌ تیرک منتقل‌ شود. به‌ عنوان نمونه‌ شکل‌ پ6-6 نحوه اجرای تیرک و وادارها در یک‌ دیوار 6 متری و شکل‌ پ6-8 جزییات اتصالات آن را نشان داده است‌. اتصال انتهای تیرک به‌ ستون نیز باید به‌ صورت نشیمن‌ با قابلیت‌ جابجایی‌ در راستای دیوار مطابق‌ شکل‌ پ6-8 باشد.

دیوارهای بلوکی‌ با ارتفاع بیش‌ از 5/3 متر دارای تیرک و وادار (به‌ عنوان نمونه‌ یک‌ دیوار با ارتفاع 6 متری)

شکل‌ پ6-7- دیوارهای بلوکی‌ با ارتفاع بیش‌ از 5/3 متر دارای تیرک و وادار (به‌ عنوان نمونه‌ یک‌ دیوار با ارتفاع 6 متری)

جزییات اجرایی‌ اتصال تیرک و وادار در دیوار با ارتفاع بیش‌ از 3/5 متر

شکل‌ پ6-8- جزییات اجرایی‌ اتصال تیرک و وادار در دیوار با ارتفاع بیش‌ از 3/5 متر

پ6-1-4-2-5-روش‌های اتصال دیوار به‌ اعضای قائم‌ سازه ای

اتصال لبه‌ قائم‌ دیوارها به‌ ستون‌ها و دیوارهای برشی‌ ساختمان یا هر عضو قائم‌ سازه‌ای دیگر در سازه باید به‌ گونه‌ای باشد که‌ ممانعتی‌ در برابر جابجایی‌ نسبی‌ ایجاد نکند. در دیوارهای پانلی‌ نیازی به‌ اتصال بین‌ دیوار و ستون وجود ندارد و فواصل‌ بین‌ این‌ دو باید با مواد تراکم‌پذیر مانند پشم‌ سنگ‌ ضد رطوبت‌ پر شود و بر روی آن در نازک‌کاری از یک‌ لایه‌ شبکه‌ الیاف یا رابیتس‌ استفاده شود.

الف‌- اتصال کشویی‌ با استفاده از دو نبشی‌ یا ناودانی‌

یکی‌ از روش‌ها‌ی مناسب‌ برای اتصال دیوار به‌ عضو قائم‌ سازه‌ای، استفاده از اتصال کشویی‌ در محل‌ تماس، به‌ وسیله‌ نبشی‌ یا ناودانی‌ منقطع‌ یا پیوسته‌ می‌باشد. در این‌ حالت‌ استفاده از نبشی‌ و یا ناودانی‌های گرم نورد یا سرد نورد شده فولادی در طرفین‌ دیوار که‌ به‌ نحو مناسبی‌ به‌ عضو قائم‌ سازه‌ای اتصال داده می‌شود، توصیه‌ می‌شود (شکل‌ پ6-9).

مهار دیوار خارجی‌ ساخته‌ شده از بلوک به‌ ستون با استفاده از نبشی‌ یا ناودانی‌

شکل‌ پ6-9- مهار دیوار خارجی‌ ساخته‌ شده از بلوک به‌ ستون با استفاده از نبشی‌ یا ناودانی‌

ب- اتصال با بست‌های انعطاف‌پذیر U شکل‌

از اتصالات U شکل‌ لغزشی‌ برای مهار خارج از صفحه‌ و در عین‌ حال تامین‌ آزادی حرکت‌ در درون صفحه‌ دیوار می‌توان استفاده نمود (شکل‌ پ6-10-الف‌).

ج-شاخک‌ انتهایی‌

در صورت استفاده از میلگرد بستر از شاخک‌ انتهایی‌ آن جهت‌ اتصال دیوار به‌ ستون در جهت‌ خارج می‌توان استفاده نمود و نیازی به‌ استفاده از نبشی‌ یا ناودانی‌ نمی‌باشد (شکل‌ پ6-10-ب).

روش‌های مهار دیوار به‌ ستون جهت‌ نیروی خارج از صفحه‌

شکل‌ پ6-10- روش‌های مهار دیوار به‌ ستون جهت‌ نیروی خارج از صفحه‌

پ6-1-4-2-6-اتصال دیوار به‌ زیر سقف‌

اتصال دیوار به‌ زیر سقف‌ باید به‌ صورت اتصال لغزشی‌ بدون اتصال مستقیم‌ دیوار به‌ سقف‌ و با استفاده از مهار خارج از صفحه‌ دیوار با قطعاتی‌ از قبیل‌ نبشی‌ یا ناودانی‌ اجرا شود (شکل‌ پ6-11-الف‌). انتخاب نوع اتصال بستگی‌ به‌ وضعیت‌ دیواری دارد که‌ بین‌ اعضای قائم‌ شامل‌ ستون، دیوار و یا وادار مهار شده است‌. در سازه‌های بتنی‌ چنانچه‌ بر اساس نوع سقف‌ امکان پیش‌بینی‌ اتصالات مناسب‌ لغزشی‌ در زمان ساخت‌ عضو سازه‌ای برای بالای دیوار نباشد می‌توان این‌ اتصال را با کاشت‌ میل‌ مهار پس‌ از اجرای تیر انجام داد. باید توجه‌ شود که‌ در این‌صورت کاشت‌ میل‌ مهار باید در هسته‌ تیر بتنی‌ انجام شود و کاشت‌ و اتصال به‌ پوشش‌ بتن‌ مجاز نمی‌باشد. حداقل‌ فاصله‌ بالای دیوار تا زیر سقف‌ برابر با بیشترین‌ دو مقدار 25 میلی‌متر و حداکثر خیز دراز مدت سقف‌ در امتداد دیوار در نظر گرفته‌ شود.

لبه‌ بالایی‌ دیوار را می‌توان با استفاده از دو نبشی‌ و یا ناودانی‌ که‌ به‌ طریق‌ مناسب‌ به‌ سقف‌ سازه متصل‌ می‌شود مهار نمود. ناودانی‌ و یا نبشی‌ها نباید به‌ دیوار یا وادار پیچ‌، میخ‌ و یا جوش شوند. با این‌ اتصال امکان حرکت‌ آزادانه‌ دیوار در درون صفحه‌ تامین‌ می‌شود. فاصله‌ بالای دیوار تا سقف‌ باید در حدی باشد که‌ تیر بتواند آزادانه‌ خیز داده و اتصالی‌ با دیوار پیدا ننماید. نبشی‌ها به‌ ترتیب‌ ابتدا در یک‌ سمت‌ اجرا و پس‌ از دیوارچینی‌ و قرارگیری بالاترین‌ بلوک دیوار، نبشی‌ دوم متصل‌ می‌شود. نبشی‌ می‌تواند به‌ صورت سرد نورد یا گرم نورد و به‌ شکل‌ منقطع‌ یا پیوسته‌ باشد. می‌توان به‌ جای مهار خارج از صفحه‌ دیوار در تراز سقف‌، آخرین‌ ردیف‌ دیوار را با جزییات بند پ6-1-4-2-2 به‌ وسیله‌ میلگرد یا بست‌ مسلح‌ نمود. در این‌ صورت توجه‌ شود که‌ در محاسبات دیوار به‌ صورت یک‌ صفحه‌ یک‌طرفه لحاظ شود و کل‌ بار جانبی‌ وارده به‌ دیوار در طراحی‌ وادارها و المان‌های مسلح‌کننده دیوار لحاظ شود (شکل‌ پ6-11-ب).

جزییات اجرایی‌ در محل‌ تلاقی‌ دیوار با سقف‌

شکل‌ پ6-11- جزییات اجرایی‌ در محل‌ تلاقی‌ دیوار با سقف‌

در اجرای دیوارهای داخلی‌ به‌ خصوص در انواع سقف‌های دارای تیرچه‌ یا تیر یا هر نوع سقف‌ مختلط‌ که‌ در آن‌ها تیری در راستای دیوار نباشد، مانند دیوارهای خارجی‌ می‌توان رج انتهایی‌ دیوار یا رج ماقبل‌ آنرا با میلگرد بستر یا بست‌ مسلح‌ کرد (شکل‌ پ6-12)

مهار دیوار به‌ صورت یک‌طرفه با استفاده از قطعه‌ مسلح‌ کننده در بالاترین‌ ردیف‌ بلوک مصالح‌ بنایی‌( اتصال وادار به‌ سقف‌ باید صورت کشویی‌ باشد)

شکل‌ پ6-12- مهار دیوار به‌ صورت یک‌طرفه با استفاده از قطعه‌ مسلح‌ کننده در بالاترین‌ ردیف‌ بلوک مصالح‌ بنایی‌( اتصال وادار به‌ سقف‌ باید صورت کشویی‌ باشد)

پ6-1-4-2-7- اتصال دیوار‌های غیرسازه‌ای به‌ یکدیگر

در اتصال دیوارها توصیه‌ می‌شود که‌ به‌ دلیل‌ امکان بروز تنش‌های کششی‌ در درون صفحه‌ دیوارهای متقاطع‌، از بست‌های فلزی مشابه‌ آنچه‌ در مورد اتصال به‌ ستون به‌ کار برده شد استفاده شود و یا برای جداسازی دیوارها از یک‌ دیگر در محل‌ اتصال دو دیوار متقاطع‌ از وادار استفاده شود. شکل‌ پ6-13 اجرای وادار مجزا در محل‌ اجرای دو دیوار متقاطع‌ و شکل‌ پ6-14 نحوه اجرای بست‌ در محل‌ تقاطع‌ را نمایش‌ می‌دهد.

اجرای دیوارهای متقاطع‌ و نحوه اجرای وادار در محل‌ اتصال دو دیوار

شکل‌ پ6-13- اجرای دیوارهای متقاطع‌ و نحوه اجرای وادار در محل‌ اتصال دو دیوار

اجرای دیوار متقاطع‌ با استفاده از بست‌ انعطاف‌پذیر

شکل‌ پ6-14- اجرای دیوار متقاطع‌ با استفاده از بست‌ انعطاف‌پذیر

پ6-1-4-2-8- اجرای نعل‌ درگاه و نصب‌ پنجره

در شرایطی‌ که‌ دیوارها دارای درب یا پنجره باشند، اجرای نعل‌ درگاه و نصب‌ پنجره یا درب باید با رعایت‌ جزئیات مشابه‌ شکل‌های پ6-15 و پ6-16 انجام شود. برای بازشوهای بزرگتر از 2.5 متر، نیاز به‌ اجرای وادار و نعل‌ درگاه در کنار بازشو می‌باشد. در بازشوهای کوچکتر از این‌ اندازه، در صورتی‌که‌ از چهارچوب فلزی مناسب‌ که‌ پاسخگوی بارهای وارده باشد استفاده شود و المان‌های مسلح‌ کننده دیوار به‌ قاب متصل‌ شوند (می‌توانند جوش داده شوند.)، احتیاجی‌ به‌ تعبیه‌ وادار در کنار بازشو نمی‌باشد، در غیراین‌صورت باید برای این‌ دهانه‌ها نیز وادار تعبیه‌ نمود.

نحوه اجرای فریم‌ و نعل‌ درگاه در اطراف بازشو

شکل‌ پ6-15- نحوه اجرای فریم‌ و نعل‌ درگاه در اطراف بازشو

نحوه اجرای وادار در دو طرف بازشو در صورت نیاز

شکل‌ پ6-16- نحوه اجرای وادار در دو طرف بازشو در صورت نیاز

پ6-1-4-2-9-اجرای دیوار در دهانه‌های مهاربندی

در دهانه‌های مهاربندی در تمام ساختمان‌ها، دیوار باید در جهت‌ داخل‌ صفحه‌ از قاب سازه‌ای جداسازی شود. اجرای دیوار در محور مهاربند یا با هرگونه‌ تماس یا اتصال به‌ مهاربند با توجه‌ به‌ اینکه‌ مانع‌ از عملکرد صحیح‌ و رفتار مناسب‌ مهاربند می‌شود ممنوع می‌باشد دیوار باید خارج از محور مهاربند و با جزییات جداسازی ارائه‌ شده در این‌ پیوست‌ اجرا شود. در صورت نیاز می‌توان برای عدم نمایان بودن مهاربند از دو دیوار در دو سمت‌ مهاربند که‌ فاقد هر گونه‌ اتصال و درگیری با مهاربند می‌باشند استفاده کرد.

پ6-1-4-2-10-جزییات اجرای دیوار در بیمارستان‌ها

در بیمارستان‌ها جهت‌ جلوگیری از ایجاد هر گونه‌ ترک در دیوار در هنگام زلزله‌ و خارج نشدن فضاهای استریل‌ از سرویس‌دهی‌ ضروری است‌ که‌ در مجاورت تیر و ستون از قطعات ناودانی‌ سرتاسری، که‌ داخل‌ آن به‌ اندازه یک‌ درصد ارتفاع طبقه‌ از مواد تراکم‌پذیر نظیر پشم‌ سنگ‌ ضد رطوبت‌ پر شده است‌، مطابق‌ شکل‌ پ6-17 و شکل‌ پ6-18 استفاده شود. این‌ جزییات برای هر دو نوع دیوارهای بلوکی‌ و پانلی‌ لازم‌الاجرا می‌باشد.

اجرای ناودانی‌ سرتاسری در مجاورت تیر و ستون در دیوارهای بیمارستانی‌

شکل‌ پ6-17- اجرای ناودانی‌ سرتاسری در مجاورت تیر و ستون در دیوارهای بیمارستانی‌

جزییات اتصال ناودانی‌ سرتاسری به‌ تیر و ستون

شکل‌ پ6-18- جزییات اتصال ناودانی‌ سرتاسری به‌ تیر و ستون

پ6-1-4-2-11-روش‌های نوین‌ مهار دیوار
پ6-1-4-2-11-1- مسلح‌ کردن دیوار با شبکه‌ الیاف

یک‌ روش مهار لرزه‌ای دیوارها مسلح‌کردن آن با شبکه‌ الیاف می‌باشد. در این‌ روش خمش‌ دیوار، یک‌طرفه و در راستای قائم‌ می‌باشد بنابراین‌ دیوار نیازی به‌ وادار ندارد و محدودیتی‌ در طول دیوار وجود ندارد. توجه‌ شود که‌ در این‌ حالت‌ در لبه‌های دیوار و کنار بازشوها باید بر روی دیوار از نوار شبکه‌ الیاف استفاده نمود. در این‌ روش نوارهای شبکه‌ ساخته‌ شده از الیاف کربن‌ یا شیشه‌ بر روی دیوار قرار داده شده و نازک‌کاری بر روی آن به‌ صورت دستی‌ پاشیده می‌شود. بعد از انجام لایه‌ اول پاشش‌ باید نبشی‌ مهار خارج صفحه‌ دیوار در بالا و پایین‌ دیوار اجرا شده و لایه‌ نهایی‌ نازککاری دیوار بر روی نبشی‌ اجرا شود (توجه‌ شود که‌ نباید پاشش‌ بر روی نبشی‌ اجرا شود و از حرکت‌ داخل‌ صفحه‌ دیوار جلوگیری نماید). در صورت وجود حداقل‌ 50 میلی‌متر کف‌سازی که‌ پایین‌ دیوار در داخل‌ آن قرار گیرد نیازی به‌ اجرای نبشی‌ پایینی‌ نمی‌باشد. در این‌ روش، درصورتی‌که‌ نازککاری روی دیوار از جنس‌ سیمان انتخاب شده باشد، الیاف شیشه‌ مقاوم به‌ قلیا (AR-Glass) با مقاومت‌ تسلیم‌ بیش‌ از 1000 MPa مناسب‌ بوده و در صورتی‌که‌ نازککاری از جنس‌ گچ‌ منظور شده باشد، استفاده از الیاف شیشه‌ E-Glass نیز با همان مقاومت‌ تسلیم‌ مجاز می‌باشد (شکل‌های پ6-19 و پ6-20 ). در هر دو صورت، مقدار الیاف مورد نیاز با توجه‌ به‌ مشخصات آن‌ها در حالت‌ استفاده به‌ صورت نواری حداقل 100 gr/m2 و در حالت‌ استفاده به‌ صورت سرتاسری 50 gr/m2 (در هر سمت‌ دیوار) می‌باشد. از شبکه‌ الیاف کربن‌ با مقاومت‌ تسلیم‌ بیش‌ از 3000 MPa نیز می‌توان به‌ عنوان جایگزین‌ الیاف شیشه‌ استفاده نمود. این‌ روش با توجه‌ به‌ حذف وادارها می‌تواند نسبت‌ به‌ سایر روش‌ها از هزینه‌ کمتری برخوردار بوده و برای ساختمان‌های موجود نیز قابل‌ کاربرد می‌باشد.

مسلح‌ کردن دیوارها با استفاده از نوارهای شبکه‌ الیاف شیشه‌ یا کربن

شکل‌ پ6-19- مسلح‌ کردن دیوارها با استفاده از نوارهای شبکه‌ الیاف شیشه‌ یا کربن

جزییات مسلح‌سازی دیوار با شبکه‌ الیاف

شکل‌ پ6-20-جزییات مسلح‌سازی دیوار با شبکه‌ الیاف

شبکه‌ الیاف یک‌ ساختار شبکه‌ای متشکل‌ از نخ‌‌های متعدد است‌ که‌ به‌ یکدیگر متصل‌ شده‌اند. شبکه‌ الیاف می‌تواند دارای ساختار یک‌ جهته‌ یا دو جهته‌ باشد. ساختار یک‌ جهته‌ به‌ معنای این‌ است‌ که‌ نخ‌ها در یک‌ راستا از مقاومت‌ کششی‌ مناسبی‌ برخوردار هستند اما در جهت‌ دیگر مقاومت‌ کمتری داشته‌ و نخ‌های ضعیف‌‌تر تنها برای اتصال و کنار هم‌ نگهداشتن‌ نخ‌های قویتر استفاده شده اند؛ لذا در طراحی‌ و کاربرد باید جهت‌ قوی ملاک باربری باشد. در مش‌ دوطرفه‌ در هر دو جهت‌ نخ‌ها از مقاومت‌ کششی‌ بالایی‌ برخوردار می‌باشند. فاصله‌ بین‌ چشمه‌ها (یک‌ نخ‌ تا نخ‌ مجاور) در ساختار شبکه‌‌ای بنا به‌ طراحی‌ می‌تواند متفاوت باشد. اما این‌ فاصله‌ نباید از 5 میلی‌متر کمتر باشد.

هم‌چنین‌ حداکثر اندازه سنگدانه‌ مورد استفاده در ملات، برای اتصال شبکه‌ الیافی‌ باید از نصف‌ فاصله‌ باز بین‌ چشمه‌ها بیشتر نباشد.

ژئوگریدهایی‌ که‌ ساختار شبکه‌‌ای پلیمری داشته‌ و از نخ‌ و الیاف تشکیل‌ نشده‌اند و هم‌چنین‌پارچه‌ الیافی‌ که‌ عموماً در ساختارهای کامپوزیت‌ FRP مورد استفاده قرار می‌گیرد، نباید به‌ عنوان شبکه‌ الیافی‌ مورد استفاده قرار گیرند. شکل‌ پ6-21 نمونه‌ای از شبکه‌های الیافی‌ را نمایش‌ می‌دهد.

نمونه‌ای از شبکه‌ الیافی‌

شکل‌ پ6-21- نمونه‌ای از شبکه‌ الیافی‌

لازم به‌ ذکر است‌ الیاف شیشه‌ مورد استفادهدر محیط‌ سیمانی‌ حتماً باید از الیاف شیشه‌ مقاوم به‌ قلیا باشند، به‌ علت‌ اینکه‌ در محیط‌ سیمانی‌ (با pH>12/5 )، الیاف شیشه‌ تحت‌ تأثیر قلیایی‌ محیط‌ پیرامون خود قرار می‌گیرند و کاهش‌ مقاومت‌ پیدا می‌کنند. در نهایت‌ فرآیند خوردگی‌ در محلول قلیایی‌ با گذشت‌ زمان می‌تواند تا تخریب‌ کامل‌ شبکه‌ ادامه‌ پیدا کند و به‌ این‌ ترتیب‌ طول عمر الیاف لایه‌ تقویت‌ کاهش‌ می‌یابد. کاهش‌ مقدار قلیای سیمان و ایجاد یک‌ لایه‌ سد محافظتی‌ روی الیاف در برابر اثرات شیمیایی‌ محیط‌، هرچند راهکارهای موثری در بهبود خوردگی‌ الیاف شیشه‌ می‌باشند اما کافی‌ نیست‌ و حتماً لازم است‌ از الیاف شیشه‌ مقاوم به‌ قلیا استفاده نمود. الیاف شیشه‌ مقاوم به‌ قلیا باید دارای حداقل‌ 16 درصد زیرکونیا (ZrO2) باشد.

تعیین‌ سطح‌ مقطع‌ نخ‌، دانسیته‌، مقاومت‌ کششی‌ و مدول الاستیسیته‌، تعیین‌ درصد زیرکونیا در الیاف و آزمون مقاومت‌ به‌ قلیا از جمله‌ آزمون‌های ضروری برای شناخت‌ ویژگی‌های مش‌ شیشه‌ می‌باشند.

تعیین‌ سطح‌ مقطع‌ نخ‌، دانسیته‌، مقاومت‌ کششی‌ و مدول الاستیسیته‌، تعیین‌ درصد کربن‌ یا گرفتن‌ طیف‌ مادون قرمز FTIR از نمونه‌ از جمله‌ آزمون‌های ضروری برای شناخت‌ ویژگی‌های مش‌ کربنی‌ می‌باشند.

پ6-1-4-2-11-2- مسلح‌ کردن دیوار با FRP

یک‌ روش دیگر برای پایدارسازی دیوار در جهت‌ خارج از صفحه‌، استفاده از نوارهای قائم‌ FRP می‌باشد. جزییات این‌ روش در نشریه‌ ض-691 مرکز تحقیقات راه، مسکن‌ و شهرسازی ارائه‌ شده است‌ و جزییات اتصال آن به‌ تیر و ستون مشابه‌ بند 1-4-2-11-1 می‌باشد. این‌ روش با توجه‌ به‌ هزینه‌ بالاتر FRP ممکن‌ است‌ در بسیاری از حالات غیراقتصادی شود.

پ6-1-4-2-12- جلوگیری از آسیب‌ به‌ سازه‌های بتنی‌ درحین‌ اجرای اتصالات مهار دیوارها

کلیه‌ اتصالات به‌ سازه‌های بتنی‌ یا با استفاده از میخ‌ و پیچ‌ انجام می‌شود و یا در هنگام اجرای اسکلت‌ سازه بتنی‌ صفحات دارای گل‌میخ یا میلگرد جوش شده دارای خم‌ انتهایی‌ در مکان‌ها و مقاطع‌ مورد نظر جایگذاری می‌شوند (شکل‌ پ6-22).

محل‌ میخ‌ یا پیچ‌ در لبه‌ قطعات باید به‌ فاصله‌‌ای از لبه‌ اجرا شود که‌ موجب‌ قلوهکن‌ شدن پوشش‌ بتنی‌ اعضای سازه نشود.

استفاده از میخ‌‌های کاشت‌ به‌ صورت ضربه‌‌ای ممنوع می‌باشد و می‌توان از روش کاشت‌ چرخشی‌ استفاده نمود. -الزاماً زاویه‌ نصب‌ پیچ‌ یا میخ‌ در اجرای اتصالات بر سطوح اعضای سازه به‌ صورت قائم‌ می‌باشد.

پیشنهاد می‌شود محل‌ قرارگیری پیچ‌ و یا میخ‌ بر روی قطعات اتصال توسط‌ مته‌ مناسب‌ و با یک‌ شماره کمتر، از قبل‌ سوراخ شود.

جزییات نحوه قرارگرفتن‌ صفحات انتظار جهت‌ اتصال مهار دیوار در تیر و ستون بتنی‌

شکل‌ پ6-22- جزییات نحوه قرارگرفتن‌ صفحات انتظار جهت‌ اتصال مهار دیوار در تیر و ستون بتنی‌

پ6-1-4-2-13- دیوارهای پانلی‌

در دیوار پانلی‌ ساختار پانل‌ باید به‌ گونه‌ای باشد که‌ قابلیت‌ تحمل‌ بارهای لرزه ای، باد و ضربه‌ را با عملکرد و رفتار یک‌طرفه در راستای قائم‌ داشته‌ باشد. در این‌ حالت‌ پانل‌ فقط‌ باید در جهت‌ خارج از صفحه‌ در بالا و پایین‌ دیوار به‌ وسیله‌ نبشی‌ مهار شود (شکل‌ پ6-23). در صورتی‌ که‌ پایین‌ پانل‌ در حداقل‌ 50 میلی‌متر کف‌سازی قرار گیرد یا برای پایین‌ پانل‌ در سقف‌ ریشه‌ اجرا شده باشد نیازی به‌ اجرایی‌ نبشی‌ در پایین‌ پانل‌ نمی‌باشد (شکل‌ پ6-24). در این‌ حالت‌ نبشی‌های مهار به‌ سقف‌ که‌ پس‌ از اجرای دیوار نصب‌ می‌شود باید به‌ سمت‌ خارج دیوار باشد و سایر جزییات نیز می‌تواند مشابه‌ دیوارهای بلوکی‌ اجرا شود.

جزییات نحوه مهار دیوار پانلی‌ در قسمت‌ فوقانی‌

شکل‌ پ6-23- جزییات نحوه مهار دیوار پانلی‌ در قسمت‌ فوقانی‌

مهار خارج از صفحه‌ قسمت‌ فوقانی‌ دیوار دارای ریشه‌ کاشت‌ در پایین‌ دیوار توسط‌ نبشی‌ یا ناودانی

شکل‌ پ6-24- مهار خارج از صفحه‌ قسمت‌ فوقانی‌ دیوار دارای ریشه‌ کاشت‌ در پایین‌ دیوار توسط‌ نبشی‌ یا ناودانی

‌پ6-1-4-3- نمای داخلی‌

نماهای داخلی‌، حساس به‌ جابجایی‌ محسوب می‌شود. این‌ اجزاء می‌توانند دچار ترک‌های داخل‌ صفحه‌ و جداشدگی‌ از دیوار شوند. هم‌چنین‌ ممکن‌ است‌ بر اثر شتاب، مستقیماً دچار تغییرمکان یا جداشدگی‌ خارج صفحه‌ای شوند. در صورتی‌ که‌ این‌ اجزاء به‌ طور مستقیم‌ روی دیوارهای برشی‌ یا اعضای سازه‌ای که‌ تحت‌ جابجایی‌ بزرگ قرار می‌گیرند، نصب‌ شوند، در زلزله‌ آسیب‌پذیر خواهند بود. در صورت رعایت‌ الزامات جداسازی دیوار، نیازی به‌ کنترل لرزه‌ای در جهت‌ داخل‌ صفحه‌ برای نماهای داخلی‌ اجرا شده بر روی این‌ دیوارها نمی‌باشد.

پ6-1-4-4-نمای خارجی‌
پ6-1-4-4-1- نماهای چسبانده شده

این‌ نوع نما شامل‌ نماهای سنگی‌، آجری و سرامیکی‌ چسبانده شده،، انواع نماهای سیمانی‌ مسلح‌ شده با مش‌ الیاف یا توری‌های فلزی، و نماهای مشابه‌ آن‌ها می‌باشد.

در نماهای چسبانده شده، اتصال و مهار پشت‌بندی باید قادر به‌ تحمل‌ نیروهای طراحی‌ لرزه‌ای افقی‌ محاسبه‌ شده طبق‌ فصل‌ چهارم این‌ استاندارد باشند.

با توجه‌ به‌ اینکه‌ نماهای چسبانده شده حساس به‌ جابجایی‌ محسوب می‌شوند، ممکن‌ است‌ در اثر تغییرشکل‌ لایه‌ زیرین‌ ترک خورده یا از جای خود بیرون رانده شود. در صورتی‌که‌ این‌ اجزاء به‌ طور مستقیم‌ روی دیوارهای برشی‌ یا اعضای سازه‌ای که‌ تحت‌ جابجایی‌ بزرگ قرار می‌گیرند نصب‌ شوند، در زلزله‌ آسیب‌پذیر خواهند بود.

در نماهای چسبانده شده خرابی‌ داخل‌ صفحه‌ نما معمولاً بر اثر تغییرشکل‌ سازة دربرگیرندة دیواری که‌ نما بر روی آن چسبانده شده است‌ رخ می‌دهد، که‌ باعث‌ به‌ وجود آمدن ترک و گسترش آن می‌شود. خرابی‌ خارج از صفحه‌ که‌ به‌ صورت بیرون افتادن نما رخ می‌دهد، مستقیماً به‌ دلیل‌ شتاب می‌باشد. بدین‌ منظور باید با استفاده از جزئیات ارائه‌ شده در این‌ پیوست‌، اتصال دیوار پشتیبان به‌ سازه محیطی‌ (بند پ6-1-4-2) را جدا نمود. این‌ جداسازی باید به‌ نحوی صورت گیرد که‌ با اتصال نما به‌ دیوار، امکان حرکت‌ آن با دیوار فراهم‌ شود و در محل‌هایی‌ که‌ پوشش‌ نما از ستون‌ها عبور می‌کند باید توسط‌ مصالح‌ پرکننده نظیر پشم‌ سنگ‌ از چسبیدن نما به‌ ستون‌ها جلوگیری شود (شکل‌ پ6-25). هم‌چنین‌ اجرای نما باید به‌ گونه‌ای باشد که‌ در تراز طبقات ( تیر یا دال) در نما درز انقطاع اجرا شود.

در صورتیکه‌ که‌ دیوار از مصالحی‌ ساخته‌ شود که‌ بتواند ضوابط‌ مباحث‌ مقررات ملی‌ در بحث‌ عایق‌ حرارتی‌ را برآورده کند نیازی به‌ اجرای عایق‌ حرارتی‌ جداگانه‌ بر روی دیوار نیست‌. در غیراین‌ صورت باید جزییات عایق‌بندی پوسته‌ خارجی‌ شامل‌ مجموعه‌ دیوار و نما طبق‌ مباحث‌ مقررات ملی‌ رعایت‌ گردد. در این‌ حالت‌ باید نما به‌ نحو مناسبی‌ به‌ دیوار پشت‌ متصل‌ شود.

نمونه‌ای از جزییات اجرایی‌ نمای چسبانده شده در شکل‌ پ6-26 ارائه‌ شده است‌. جزییات اجرایی‌ نماها به‌ صورت مشروح در نشریه‌ 714 سازمان برنامه‌ و بودجه‌ ارائه‌ شده است‌.

نحوه اجرای نمای چسبانده شده در دیوارهای جداسازی شده

شکل‌ پ6-25- نحوه اجرای نمای چسبانده شده در دیوارهای جداسازی شده

نحوه صحیح‌ اجرای نمای سیمانی‌ مسلح‌ شده به‌ مش‌ الیاف و عایق‌ حرارتی‌ بر روی دیوار

شکل‌ پ6-26-نحوه صحیح‌ اجرای نمای سیمانی‌ مسلح‌ شده به‌ مش‌ الیاف و عایق‌ حرارتی‌ بر روی دیوار

پ6-1-4-4-2-نماهای مهار شده

نماهای مهار شده شامل‌ نماهای آجری و سنگی‌ مهارشده، نماهای سرامیکی‌ خشک‌، نمای کامپوزیت‌، نمای شیشه‌ای و نماهای بتنی‌ پیش‌ساخته‌ و انواع تخته‌های سیمانی‌ مسلح‌ شده به‌ الیاف می‌شود. در نمای مهارشده اتصالات باید بارهای ثقلی‌ ناشی‌ از وزن نما به‌ همراه بارهای لرزه‌ای ناشی‌ از شتاب افقی‌ داخل‌ صفحه‌، خارج صفحه‌ و قائم‌ زلزله‌ را تحمل‌ نمایند.

در ساختمان‌های با اهمیت‌ زیاد و بسیار زیاد با توجه‌ به‌ هدف کاربرد نماهای مهار شده، توصیه‌ می‌شود سازه به‌ گونه‌ای طراحی‌ شود که‌ حداکثر تغییرمکان نسبی‌ داخل‌ و خارج از صفحه‌ آن به‌ 0.01 ارتفاع طبقه‌ محدود شود یا قاب نگهدارنده نما در تراز سقف‌ طبقات در جهت‌ داخل‌ صفحه‌ مانند شکل‌ پ6-27 با اتصالات لوبیایی‌ از سازه جداسازی شود. در ساختمان‌های با اهمیت‌ متوسط‌ دارای نماهای مهار شده، توصیه‌ می‌شود سازه به‌ گونه‌ای طراحی‌ شود که‌ حداکثر تغییرمکان نسبی‌ داخل‌ و خارج از صفحه‌ آن به‌ 0.02 ارتفاع طبقه‌ محدود شود یا قاب نگهدارنده نما در تراز سقف‌ طبقات در جهت‌ داخل‌ صفحه‌ مانند شکل‌ پ6-27 با اتصالات لوبیایی‌ از سازه جداسازی شود. جزییات اجرایی‌ این‌ نماها در نشریه‌ 714 سازمان برنامه‌ و بودجه‌ ارائه‌ شده است‌.

نمونه‌هایی‌ از اجرای اتصال لوبیایی‌ در محل‌ اتصال به‌ تیر طبقه‌ جهت‌ جداسازی نما از جابجایی‌ داخل‌ صفحه‌ قاب سازه ای

‌شکل‌ پ6-27- نمونه‌هایی‌ از اجرای اتصال لوبیایی‌ در محل‌ اتصال به‌ تیر طبقه‌ جهت‌ جداسازی نما از جابجایی‌ داخل‌ صفحه‌ قاب سازه ای

در نماهای آجری، نما باید در ترازی که‌ دیوار خارجی‌ مسلح‌ شده است‌ با بست‌ به‌ دیوار پشت‌ مهار شود. در همان تراز باید یک‌ عدد میلگرد در لایه‌ نما نیز (مطابق‌ شکل‌ پ6 -28) قرار داده شود. جزییات اجرای این‌ نما به‌ همراه دیگر الزامات اجرایی‌ در شکل‌ پ6-29 نشان داده شده است‌. جزییات مشروح در نشریه‌ 714 سازمان برنامه‌ و بودجه‌ ارائه‌ شده است‌.

نحوه مهار نمای آجری به‌ دیوار پشت‌

شکل‌ پ6-28- نحوه مهار نمای آجری به‌ دیوار پشت‌

جزییات اجرای نمای آجری

شکل‌ پ6-29-جزییات اجرای نمای آجری

در نماهای سنگی‌ نیز با اجرای بست‌ در شکاف سنگ‌ می‌توان آن را به‌ نحو مناسبی‌ به‌ دیوار خارجی‌ ساختمان متصل‌ نمود. شکل‌ پ6 -30 نمونه‌هایی‌ از این‌ بست‌ها و جزییات اجرایی‌ نما و عایق‌کاری و درزبندی‌های آن را (درصورت نیاز) نشان می‌دهد.

نمونه‌هایی‌ از اجرای دوخت‌ به‌ پشت‌ نمای سنگی‌ به‌ دیوار و جزییات اجرایی‌ آن

شکل‌ پ6-30- نمونه‌هایی‌ از اجرای دوخت‌ به‌ پشت‌ نمای سنگی‌ به‌ دیوار و جزییات اجرایی‌ آن

پ6-1-4-5- سقف‌ کاذب

سقف‌های کاذب از لحاظ نحوه اتصال به‌ سقف‌ به‌ چهار گروه کلی‌ تقسیم‌ می‌شوند:

دسته‌ الف‌: پوشش‌ سقف‌های بتنی‌ یا فلزی با مصالحی‌ که‌ توسط‌ اتصالات مکانیکی‌ و یا چسب‌ به‌ آن‌ها متصل می‌شوند؛

دسته‌ ب: صفحات آویخته‌ از قبیل‌ گچی‌، فلزی یا چوبی‌ (با فاصله‌ کمتر از 60 سانتی‌متر از سقف‌) که‌ توسط‌ اعضایی‌ به‌ نگهدارنده‌های چوبی‌ یا فلزی متصل‌ می‌شوند؛

دسته‌ پ: صفحات آویخته‌ از قبیل‌ گچی‌، فلزی یا چوبی‌ (با فاصله‌ بیشتر از 60 سانتی‌متر از سقف‌) و هم‌چنین‌ سقف‌های کاذب تشکیل‌ شده از توری‌های فلزی به‌ همراه روکش‌ گچی‌ (رابیتس‌)؛

دسته‌ ت: سقف‌های کاذب یکپارچه‌ دارای سازه مستقل‌ نگهدارنده (T-bars) به‌ همراه تجهیزات روشنایی‌ و مکانیکی‌.

پ6-1-4-5-1- نکاتی‌ که‌ باید در طراحی‌ لرزه‌ای سقف‌های کاذب رعایت‌ گردد:

-در زیر بالکن‌های طره یا سایه‌بان‌هایی‌ که‌ دچار شتاب قائم‌ بالایی‌ به‌ هنگام زلزله‌ می‌شوند، لازم است‌ که‌ فاصله‌ آویزهای سقف‌ کاذب نسبت‌ به‌ یکدیگر کاهش‌ یابد.

-ارائه‌ جزئیات لرزه‌ای برای سقف‌های کاذب با مساحت‌ کمتر از 13 مترمربع‌ که‌ توسط‌ دیوارها به‌ صورت جانبی‌ در سازه مهار شده‌اند لازم نیست‌.

– ممکن‌ است‌ جزئیات لرزه‌ای خاصی‌ برای سقف‌های سنگین‌ دیگر مانند گچ‌، چوب و یا پانل‌های فلزی یا برای سقف‌ لایه‌ گچی‌ در ارتفاع‌های مختلف‌ مورد نیاز باشد. برای این‌ موارد، جزئیات به‌ صورت مشابه‌ با آن چه‌ برای سقف‌های عایق‌ صوت استفاده می‌شود بوده ولی‌ برای حفظ‌ ایمنی‌، از مهاربندی بیشتری استفاده می‌شود. مهاربندی لرزه‌ای برای سقف‌های سنگین‌ آویخته‌ به‌ صورت معمول شامل‌ یک‌ میله‌ فشاری قائم‌ و مهارهای سیمی‌ کششی‌ قطری می‌باشد. در برخی‌ موارد می‌توان به‌ جای مهاربندی سیمی‌ و میله‌های فشاری از اعضای خمشی‌ (معمولاً از فولاد سرد نورد) استفاده کرد (شکل‌ پ6-31).

سقف‌ لایه‌ گچی‌ با مهار جانبی‌ در فواصل‌ 1.8 تا 2.4 متری

شکل‌ پ6-31- سقف‌ لایه‌ گچی‌ با مهار جانبی‌ در فواصل‌ 1.8 تا 2.4 متری

الف‌-ساختمان‌های با اهمیت‌ متوسط‌: سقف‌های کاذب گروه‌های الف‌، ب و ت نیازی به‌ طرح لرزه‌ای ندارند. سقف‌های کاذب گروه پ، باید قادر به‌ پذیرش تغییرشکل‌های نسبی‌ محاسبه‌ شده طبق‌ بند پ6-1-3 باشند.

ب- ساختمان‌ها‌ی با اهمیت‌ زیاد و بسیار زیاد: سقف‌های کاذب گروه‌های الف‌ و ب و د باید قادر به‌ تحمل‌ نیروهای طراحی‌ لرزه‌ای محاسبه‌ شده طبق‌ بند پ6-1-3 باشند. سقف‌های کاذب گروه ج، باید قادر به‌ پذیرش نیروهای طراحی‌ لرزه‌ای و تغییرشکل‌های نسبی‌ محاسبه‌ شده طبق‌ بند پ6-1-3 باشند. شکل‌ پ6-32 جزئیات مهار لرزه‌ای سقف‌های کاذب نوع الف‌ را نمایش‌ می‌دهد. هم‌چنین‌ در شکل‌های پ6-33 و پ6-34 نحوه مهار سقف‌های کاذب نوع ب و پ و جزییات آن ارائه‌ شده است‌.

سقف‌ پانل‌ گچی‌ مستقیم‌ وصل‌ شده به‌ سازه نمونه‌هایی‌ از سقف‌های کاذب نوع الف‌

شکل‌ پ6-32- سقف‌ پانل‌ گچی‌ مستقیم‌ وصل‌ شده به‌ سازه نمونه‌هایی‌ از سقف‌های کاذب نوع الف‌

پلان مهاربندی عرضی‌ برای شبکه‌ سقف‌ سنگین‌ معلق‌ (جزییات مقاطع‌ در شکل‌ پ6-29 ارائه‌ شده است‌)

شکل‌ پ6-33- پلان مهاربندی عرضی‌ برای شبکه‌ سقف‌ سنگین‌ معلق‌ (جزییات مقاطع‌ در شکل‌ پ6-29 ارائه‌ شده است‌)

جزئیات مهاربندی جانبی‌ برای سقف‌ پانل‌ گچی‌ معلق‌ مقاطع‌ نشان داده شده در شکل‌ پ6-28

شکل‌ پ6-34- جزئیات مهاربندی جانبی‌ برای سقف‌ پانل‌ گچی‌ معلق‌ مقاطع‌ نشان داده شده در شکل‌ پ6-28

پ6-1-4-6- جانپناه‌ها

با توجه‌ به‌ ضوابط‌ سازمان آتش‌نشانی‌ حداقل‌ ارتفاع جانپناه‌ها 1/2 متر توصیه‌ می‌شود. در این‌ حالت‌ مناسب‌ است‌ که‌ ستون‌های پیرامونی‌ بام، تا ارتفاع 1/35 متر بر روی بام ادامه‌ پیدا کنند. این‌ ارتفاع برای مهار لرزه‌ای جانپناه می‌باشد (شکل‌ پ6-35). در فاصله‌ بین‌ ستون‌ها در صورت نیاز با اجرای وادار طبق‌ جزییات ارائه‌ شده، طول آزاد دیوار کوتاه شده و دیوار جانپناه بین‌ وادار‌ها باید به‌ نحو مناسبی‌ مشابه‌ جزییات ارائه‌ شده در شکل‌ پ6-36 یا روش‌های مشابه‌ جهت‌ تحمل‌ بارهای خارج صفحه‌ مسلح‌ شود.

نحوه مهار جانپناه غیرمسلح‌ بنائی

شکل‌ پ6-35- نحوه مهار جانپناه غیرمسلح‌ بنائی

مهار جانپناه بنائی‌ توسط‌ وادار فلزی

شکل‌ پ6-36- مهار جانپناه بنائی‌ توسط‌ وادار فلزی

یک‌ روش دیگر برای مهار لرزه‌ای جانپناه استفاده از میلگردهای مسلح‌ کننده قرار گرفته‌ در دیوار و مهار شده در دال سقف‌ (وادار بتنی‌) در فواصل‌ 1 متر مانند شکل‌ پ6-37 می‌باشد.

جزئیات اجرایی‌ اتصال جانپناه با وادار بتنی‌

شکل‌ پ6-37- جزئیات اجرایی‌ اتصال جانپناه با وادار بتنی‌

پ6-1-4-7- راه‌پله‌ها

پله‌ها برای تخلیه‌ ساکنان پس‌ از وقوع زلزله‌ مورد نیاز بوده و حفظ‌ عملکرد آن‌ها پس‌ از زلزله‌ از اولویت‌ بالایی‌ برخوردار می‌باشد. پله‌ها به‌ دو گروه پله‌هایی‌ که‌ جزئی‌ از سازه اصلی‌ ساختمان می‌باشد و پله‌های فرار که‌ جزئی‌ از سازه اصلی‌ ساختمان نمی‌باشد تقسیم‌ می‌شوند.

در پله‌هایی‌ که‌ جزئی‌ از سازه اصلی‌ ساختمان می‌باشند، در صورت اتصال راه‌پله‌ها به‌ قاب سازه‌ای باید اثر آن در باربری لرزه‌ای و نیروهایی‌ که‌ به‌ تیر و ستون اطراف آن براثر این‌ باربری وارد می‌شود لحاظ شود. در این‌ حالت‌ لازم است‌ اجزای راه‌پله‌ شامل‌ شمشیری‌ها، دال بتنی‌ پله‌ و پاگردها مدل‌سازی شوند. در این‌ خصوص لازم است‌ یکبار سازه بدون لحاظ نمودن سختی‌ اجزای پله‌، مدل و طراحی‌ شود تا سیستم‌ باربرجانبی‌ سازه به‌ تنهایی‌ قادر به‌ تحمل‌ کل‌ نیروی زلزله‌ طرح باشد و یکبار هم‌ با مدل کردن اجزای پله‌ و در نظر گرفتن‌ تأثیر سختی‌ آن، سازه مورد بررسی‌ مجدد قرار گرفته‌ و اجزای پله‌ نیز تحت‌ نیروهای ایجاد شده در آن‌ها طراحی‌ شوند. باید توجه‌ شود در سازه‌های بتنی‌ اجرای تیر و اتصال دال راه‌پله‌ در تراز پاگرد میان طبقه‌ باعث‌ ایجاد ستون کوتا ه در ستون‌های مجاور راه‌پله‌ می‌شود. جهت‌ جلوگیری از تشکیل‌ ستون کوتاه می‌توان بجای اجرای تیر نیم‌ طبقه‌، آن را در همان تراز طبقه‌ اجرا نمود و بر روی آن دو ستونک‌ اجرا کرد. سپس‌ بر روی این‌ ستونک‌‌ها تیری اجرا می‌شود که‌ به‌ ستون‌های اطراف متصل‌ نبوده و انتهای آن با ستون‌های اطراف فاصله‌‌ای حداقل‌ به‌ اندازه 0.01 ارتفاع طبقه‌ دارد نهایتاً. دال پله‌ و پاگردها در تراز نیم‌ طبقه‌ به‌ این‌ تیر قرار گرفته‌ بر روی ستونک‌‌ها متصل‌ می‌شوند. لازم به‌ ذکر است‌ تیر نشیمن‌ قرار گرفته‌ در تراز طبقه‌ که‌ ستونک‌ها بر روی آن قرار دارند بایستی‌ تحت‌ پیچش‌ ایجاد شده ناشی‌ از بارهای ثقلی‌ و لرزه‌ای طراحی‌ شود. اعمال ضریب‌ کاهش‌ سختی‌ پیچشی‌ بر روی این‌ تیر مجاز نیست‌ (شکل‌ پ6-38).

اجرای پاگرد راه‌پله بر روی ستونک جهت جلوگیری از ایجاد ستون کوتاه

شکل پ 6-38- اجرای پاگرد راه‌پله بر روی ستونک جهت جلوگیری از ایجاد ستون کوتاه

یک روش دیگر برای کاهش اندرکنش پله و سازه، جداسازی آن مطابق جزئیات ارائه شده در شکل‌های پ6- 39 و پ6-40 در تراز پاگرد میان طبقه و تراز پاگرد پایین هر طبقه می‌باشد. براساس این جزئیات از ایجاد بستون کوتاه در ستون‌های مجاور راه‌پله و آسیب به دال راه‌پله به علت جذب نیروی جانبی توسط راه‌پله جلوگیری می‌شود (حداقل پهنا دستک پتنی برابر 20 سانتی‌متر می‌باشد). رمپ راه‌پله فقط در تراز پاگرد طبقه از طریق بالشتک فلزی بر روی دال پاگرد می‌نشیند و اتصال رمپ و دال پاگرد در تراز میان طبقه به صورت پیوسته اجرا می‌شود. این بالشتک‌های فلزی باید در داخل هسته بتنی مهار شده باشند.

جزئیات اجرایی جداسازی نشیمن پاگرد راه‌پله در تراز نیم طبقه

شکل پ6-39- جزئیات اجرایی جداسازی نشیمن پاگرد راه‌پله در تراز نیم طبقه

جزئیات اجرایی جداسازی نشیمن پاگرد راه‌پله در تراز طبقه

شکل پ6-40- جزئیات اجرایی جداسازی نشیمن پاگرد راه‌پله در تراز طبقه

– در پله‌های سبک، اتصالاتی با سوراخ‌های لوبیایی برای جداسازی پله از کف‌های متصل و جلوگیری از خرابی ناشی از گریز بین طبقه‌ای مفید می‌باشند.

– تأمین خروجی‌های ایمن عاملی بسیار مهم برای ایمنی راه‌پله‌ها در برابر زلزله است. اگر نرده پله‌ها با مصالح ترد مانند مصالح بنایی غیرمسلح، سفال‌کاری مجوف و … ساخته شده باشد، می‌بایست دارای درزهای اجرایی لازم بوده تا از آوار و خطرات ناشی از سقوط مصالح در پله‌ها جلوگیری شود. لوله‌ها، چراغ‌ها، چراغ‌های اضطراری یا کانال‌ها باید دارای مهاربند باشند تا از خطر سقوط و ایجاد آوار در پله‌ها جلوگیری شود.

پ6-2- درنظرگیری اثر میانقابی دیوار در ساختمان
پ6-2-1- مقدمه

طبق بند 1-5-8 این استاندارد، دیوارهای داخلی و نماها باید طوری اجرا شوند که تا حد امکان مانعی برای حرکت اجزای سازه‌ای در زمان زلزله ایجاد نکنند. بخش اول این پیوست راهکارهایی در این زمینه ارائه داده است. در صورتی که دیوارها از قاب‌های پیرامونی خود جدا نشوند لازم است اثر اندرکنش این اعضا با سیستم سازه‌ای در تحلیل و طراحی سازه لحاظ شود که در این بخش راهکارهایی برای این منظور ارائه شده است.

میانقاب به دیواری اطلاق می‌شود که به طور کامل دهانه‌ای از یک قاب فولادی یا بتنی را پوشانده و توسط تیرها و ستون‌ها احاطه شده است. قاب میان پر شامل میانقاب و قاب پیرامونی آن می‌باشد که باید ضوابط این بخش را اقناع نماید.

حداکثر تعداد طبقات ساختمانی که در آن می‌توان بر اساس ضوابط این پیوست از میانقاب برای تأمین مقاومت جانبی استفاده نمود، چهار طبقه است. سازه این ساختمان‌ها، به تنهایی و بدون احتساب میانقاب‌ها، باید قادر به تحمل بارهای ثقلی باشد. اثر وجود میانقاب در بروز نامنظمی در سازه باید بررسی و در طراحی سازه لحاظ شود. ضمناً ضوابط این بخش در مورد ساختمان‌های با اهمیت خیلی زیاد قابل استفاده نیست.

سازه‌هایی که با ضوابط این بخش تحلیل و طراحی می‌شوند باید به تنهایی و بدون در نظرگیری اثر میانقاب‌ها نیز جوابگوی بارهای وارده شامل بار زلزله باشند، مگر اینکه در نقشه‌های سازه‌ای، میانقاب‌ها به عنوان اجزای سازه‌ای معرفی شده و در دستورالعمل‌های نگهداری ساختمان قید شود که امکان تغییر، جابجایی یا تخریب آن‌ها بدون انجام تحلیل و ارزیابی‌های مجدد وجود ندارد.

پ6-2-2- دیوارهای مشمول این بخش

میانقاب‌های مصالح بنایی که در این بخش مدنظر است شامل دیوارهای آجری توپر و سوراخ‌دار یا ساخته شده از بلوک سیمانی می‌باشند. دیوارهای ساخته شده از مصالح بنایی فوق و تقویت شده با لایه بتن پاشی (شاتکریت) در یک یا هر دو وجه آن‌ها نیز مشمول این بخش می‌شود. ضوابط این پیوست، شامل دیوارهای ساخته شده از آجر مجوف (بلوک سفالی مجوف)، سنگ، شیشه یا جنس‌های دیگر نمی‌شود.

پ6-2-3- مدل‌سازی میانقاب مصالح بنایی در جهت درون صفحه

در صورت وجود شرایط بند پ 6-2-4، برای مدل‌سازی میانقاب‌های مصالح بنایی در جهت درون صفحه می‌توان از مدل عضو قطری فشاری معادل استفاده نمود. برای این منظور به جای میانقاب از یک عضو قطری استفاده می‌شود که ضریب ارتجاعی و ضخامت آن با دیوار یکسان است و عرض آن از رابطه (پ6-1) به دست می‌آید (شکل پ6-41). این عضو قطری، تنها در فشار عمل می‌نماید و در کشش حذف می‌شود.

عضو معادل میانقاب

شکل پ6-41- عضو معادل میانقاب

پ6-2-3-1- سختی

سختی ارتجاعی درون صفحه یک پانل از میانقاب مصالح بنایی غیرمسلح را می‌توان با به‌کارگیری یک عضو قطری فشاری معادل به عرض a طبق رابطه (پ6-1) به حساب آورد. ضخامت و ضریب ارتجاعی این عضو، با میانقاب مورد نظر یکسان می‌باشد. عرض a (برحسب میلی‌متر) عبارت است از:

(پ6-1) پ6-1

که در آن:

(پ6-2) پ6-2

و نیز:

hcol = ارتفاع ستون (بر حسب mm)؛hinf = ارتفاع پانل میانقاب (برحسب mm)؛

Ef = ضریب ارتجاعی مصالح قاب (برحسب MPa)

Em = ضریب ارتجاعی مصالح میانقاب (برحسب MPa)؛ ضریب ارتجاعی مصالح ساخته شده از واحدهای بنایی معادل 550 برابر مقدار مقاومت فشاری (f’m) آن‌ها در نظر گرفته می‌شود. برای سایر مصالح باید به آیین‌نامه‌های مرتبط با آن‌ها و برای میانقاب بتن پاشی شده، به روابط موجود در فصل 7 ضابطه 398 سازمان برنامه و بودجه کشور مراجعه نمود.

f’m = مقاومت فشاری مصالح بنایی میانقاب (برحسب MPa): مقدار مقاومت فشاری مصالح بنایی میانقاب را می‌توان در طراحی بر اساس مراجع معتبر فرض کرد. این فرض باید در اجرا کنترل شود. برای کنترل این فرض، مقدار مقاومت فشاری اندازه‌گیری شده نباید از 0.9 مقدار مفروض در مرحله طراحی کمتر و از 1.5 برابر آن بیشتر باشد. برای اندازه‌گیری مقاومت فشاری مصالح بنایی میانقاب (f’m) می‌توان حداقل سه نمونه منشوری از همان مصالح دیوار را که دارای حداقل ارتفاع 400 میلی‌متر و نسبت ارتفاع به ضخامت بیش از 2 است، ساخت و آزمایش کرد. متوسط مقاومت این سه نمونه برابر مقاومت فشاری مصالح بنایی میانقاب فرض می‌شود. در صورتی که دیوار از واحدهای بنایی تشکیل شده باشد، نمونه منشوری باید دارای حداقل سه ردیف واحد بنایی باشد. اگر ضریب تغییرات (C.O.V) نتایج بیش از 25٪ باشد، باید تعداد آزمایش‌ها حداکثر تا دو برابر افزایش یابد. برای تعیین مقاومت فشاری مصالح بنایی میانقاب، می‌توان از سایر روش‌های معرفی شده در نشریه 374، ضابطه 740 و ضابطه 398 سازمان برنامه و بودجه کشور نیز استفاده کرد. در هر حال، مقدار f’m نباید از 3.5 مگاپاسکال کمتر باشد، در غیراینصورت یا باید این مقدار مقاومت را با تقویت میانقاب تأمین نمود یا اثر میانقابی این دیوار در نظر گرفته نشود و طبق بخش اول این پیوست از قاب پیرامونی جداسازی شود.

Icol = لنگر اینرسی ستون (برحسب mm4)؛ در صورتی که ستون‌های پیرامونی میانقاب متفاوت باشند می‌توان از متوسط لنگر اینرسی آن‌ها به جای این کمیت استفاده نمود.

rinf= طول قطری پانل میانقاب (برحسب mm)؛

θ = زاویه‌ای که تانژانت آن برابر ضریب تناسب میانقاب (نسبت ارتفاع به طول) می‌باشد؛

λl = ضریبی که برای محاسبه عرض معادل عضو فشاری پانل به کار می‌رود.

R = ضریب کاهنده نوع اتصال قاب؛ در صورتی که اتصالات قاب گیردار باشد مقدار آن 1.0 و در غیراین صورت برابر 0.9 در نظر گرفته می‌شود.

tinf = ضخامت آن قسمتی از دیوار (برحسب mm) است که در تماس مستقیم و کامل با اعضای قاب باشد. برای دیوارهایی که در محاسبات سختی و مقاومت به حساب می‌آیند باید تمهیدات لازم در هر یک از کنج‌ها (در حداقل 1.5 برابر عرض معادل محاسبه شده با رابطه پ6-1) برای تماس مستقیم دیوار با تیر و ستون پیرامونی فراهم شده باشد. در غیراین صورت در محاسبه ظرفیت میانقاب تنها قسمتی از دیوار که در تماس مستقیم با اعضای قاب می‌باشد منظور می‌شود ولی در کنترل تیر و ستون باید بیشترین ضخامتی از دیوار که با تیر یا ستون در تماس است، در نظر گرفته شود. برای دیوارهایی که ضخامتشان در جاهای مختلف، متفاوت است، مانند دیوارهایی که بخش پایینی آن‌ها سنگ‌کاری شده، برای محاسبه مقاومت طراحی (موضوع بند پ6-2-5-2)، کمترین ضخامت و برای محاسبه مقاومت نهایی قطری محتمل (موضوع بند پ6-2-3-2)، میانگین ضخامت دیوار ملاک عمل قرار می‌گیرد.

پ6-2-3-2- مقاومت نهایی قطری محتمل

مقاومت نهایی قطری محتمل میانقاب، Fu که برای کنترل اعضا و اتصالات قاب (بندهای پ6-2-4-2 و پ 6-2-4-3) به کار می‌رود از رابطه زیر به دست می‌آید:

(پ6-3) پ6-3

که در آن a عرض عضو فشاری معادل و f’m، R و ting به ترتیب مقاومت فشاری مصالح میانقاب، ضریب کاهنده نوع اتصال قاب و ضخامت میانقاب می‌باشند که ذیل رابطه (پ6-1) تعریف شده‌اند.

پ6-2-4- شرایط لازم برای عملکرد میانقابی دیوار

اعضا و اتصالات قاب محیطی یک میانقاب باید برای اثرات اندرکنش قاب و میانقاب کفایت داشته باشند. این اثرات شامل نیروهای منتقل شده از میانقاب به تیر، ستون و اتصال‌های قاب می‌باشند. در صورتی که هر یک از شرایط این بند برای قاب دارای دیوار برآورده نشود، دیوار آن را نمی‌توان به عنوان میانقاب در نظر گرفت و باید به صورت جدا شده از قاب اجرا شود.

دیوار موجود در دهانه مهاربندی باید به گونه‌ای باشد که مهاربند بتواند آزادانه عمل نماید. در چنین دهانه‌هایی، نمی‌توان اثر میانقابی دیوار را در نظر گرفت و باید آن‌ها را به صورت جدا شده از قاب اجرا نمود.

پ6-2-4-1- شرایط دیوار برای بروز عملکرد میانقابی

تنها دیوارهایی می‌توانند به عنوان میانقاب در نظر گرفته شوند که دارای همه شرایط زیر باشند (شرایط مربوط به اجرا باید در نقشه‌های اجرایی ذکر شوند):

1.دارای مقاومت عمود بر صفحه کافی مذکور در بند پ 6-2-6 باشند.

2. برای دیوارهای ساخته شده از واحدهای بنایی، دیوار چینی باید به صورت هشت‌گیر انجام شده باشد به گونه‌ای که هر آجر بالایی حداقل 0.25 آجر پایینی را پوشش داده باشد. ضمن اینکه درزهای قائم آن نیز مانند درزهای افقی باید دارای ملات ماسه سیمان باشند.

3. درزی بین دیوار و اعضای قاب وجود نداشته باشد و دیوار به طور کامل در تماس با تیر و ستون باشد. در صورت وجود درز بین دیوار و تیر فوقانی می‌توان آن را با ملات انبساط‌پذیر پر کرد. بر خلاف روش مرسوم اجرای دیواری برای از بین بردن اثر درز فوقانی نمی‌توان از آجرهایی که در رج آخر به صورت مایل چیده شده‌اند استفاده کرد. مگر اینکه تمام فضاهای خالی باقیمانده، به خصوص فضای خالی بین آجر مورب و کنج قاب، با بتن یا مصالحی که مقاومت فشاری آن مساوی با بیشتر از آجر است پر شود.

4. دیوار باید کاملاً شاقول اجرا شده و فاقد شکم‌دادگی یا کج‌شدگی باشد.

5. ساختمان دارای دیافراگم صلب باشد.

6. ارتفاع دیوار نباید از 4 متر و طول آن از 6 متر بیشتر باشد.

7. تغییرمکان جانبی نسبی غیرخطی طرح قاب میان پر (با درنظرگیری اثر میانقاب‌ها در تحلیل)، که از رابطه 3-11 این استاندارد به دست می‌آید، در ساختمان‌های با اهمیت زیاد، متوسط و کم نباید به ترتیب از 0.008، 0.01 و 0.015 برابر ارتفاع طبقه بیشتر باشد.

پ6-2-4-2- شرایط اعضای قاب پیرامونی دیوار

علاوه بر خود دیوار، اعضا قاب پیرامونی دیوار نیز باید دارای شرایطی باشند تا بتوان آن دیوار را به عنوان میانقاب در نظر گرفت. ستون و تیر مجاور میانقاب، به ترتیب باید قادر به تحمل نیروهای بیان شده در بند پ 6-2-4-2-1 و پ6-2-4-2-2 به عنوان بار ایجاد شده در زلزله در ترکیب با سایر بارهای وارد به سازه باشند. در این بررسی باید اثر نیروهای زلزله در هر دو جهت متقابل در نظر گرفته شوند.

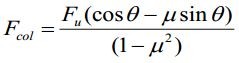
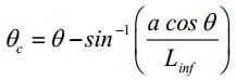
پ6-2-4-2-1- مقاومت لازم برای ستون‌های مجاور پائل میانقاب

مقاومت‌های خمشی و برشی ستون‌های مجاور یک پانل میانقاب باید برای تحمل نیروهای حاصل از حالتی که در آن نیروی افقی برابر Fu cosθ در فاصله lceff از بالا یا پائین پانل میانقاب مطابق شکل پ6-42 به ستون اعمال شده است، کافی باشد. در این شرایط، Fu از رابطه (پ6-3) و lceff از رابطه (پ6-4) بدست می‌آید و θ زاویه قطر میانقاب با افق می‌باشد. این ستون‌ها باید تحمل بارهای کششی و فشاری ناشی از اعمال نیروی Fu cosθ را نیز داشته باشد.

(پ6-4) پ6-4

در این رابطه، a عرض عضو فشاری معادل میانقاب می‌باشد که از رابطه (پ6-1) به دست می‌آید و θc نیز، از رابطه (پ6-5) محاسبه می‌شود که در آن به Linf طول میانقاب و θ زاویه قطر میانقاب با افق می‌باشد.

(پ6-5) پ6-5

نیروی وارد به ستون از طرف میانقاب

شکل پ 6-42- نیروی وارد به ستون از طرف میانقاب

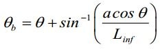
پ6-2-4-2-2- مقاومت لازم برای تیرهای مجاور پائل میانقاب

مقاومت‌های خمشی و برشی تیرهای قاب پیرامونی یک میانقاب باید برابر با نیروهای حاصل از حالتی باشد که در آن، نیروی قائم Fu sin θ در فاصله lbeff از دو طرف میانقاب، مطابق شکل پ6-43، به تیر اعمال شده است و در آن Fu از رابطه (پ6-3) و lbeff از رابطه (پ6-6) بدست می‌آید:

(پ6-6) پ6-6

مقدار θb را می‌توان از رابطه (پ6-7) محاسبه کرد:

(پ6-7) پ6-7

نیروی وارد به تیر از طرف میانقاب

شکل پ6-43- نیروی وارد به تیر از طرف میانقاب

پ6-2-4-2-3- اثرات موضعی میانقاب بر اعضای قاب

اثرات موضعی ناشی از عملکرد میانقابی دیوار بر اعضای قاب نباید باعث خرابی موضعی در آن‌ها شود (مانند خمیدگی بال‌های مقاطع فولادی I شکل، کمانش جان و غیره). برای این منظور، نیروی حاصل از روابط (پ6-8) و (پ6-9) به ترتیب برای ستون و تیر محاسبه می‌شود:

(پ6-8) پ6-8
(پ6-9) پ6-9

که در آن μ ضریب اصطکاک بین مصالح میانقاب و مصالح قاب است که در صورت عدم وجود اطلاعات دقیق می‌توان آن را برای قاب فولادی برابر 0.3 و برای قاب بتنی برابر 0.5 در نظر گرفت. توزیع تنش قائم از نیروهای حاصل از این روابط را می‌توان به صورت مثلثی (تنش حداکثر در کنج) در طولی به اندازه lceff (از رابطه پ 6-4) بر روی ستون و lbeff (از رابطه پ6-6) بر روی تیر در نظر گرفت.

اگر دیوار در محور قاب قرار نداشته باشد، اثر خروج از محوریت آن نیز باید به صورت پیچش روی قاب در نظر گرفته شود.

پ6-2-4-3- اتصالات قاب

اتصال تیر به ستون قاب باید قادر به تحمل نیروی برشی Fu sinθ در ترکیب با سایر بارهای موجود در سازه باشد.

پ 6-2-5- تحلیل سازه و محاسبه نیروی حاصل از عملکرد میانقابی دیوار

در تحلیل سازه، هر میانقاب به صورت یک عضو قطری فشاری با مشخصاتی که در بند پ 6-2-3-1 بیان شده مدل می‌شود. ستون‌های پیرامونی میانقاب حتی در قاب‌های دارای اتصال مفصلی تیر به ستون، جزو اعضای لرزه بر ساختمان محسوب می‌شوند و در تحلیل سازه باید در بررسی بند 3-1-4 این استاندارد، در مورد اعمال همزمان مؤلفه جهت متعامد زلزله، مد نظر قرار گیرند.

پ6-2-5-1- ضرائب لرزه‌ای سازه دارای میانقاب

مقدار کمیت‌های Ru، Cd و Ω0 برای سازه دارای میانقاب بر اساس جدول 3-4 این استاندارد (مشابه سیستم قاب ساختمانی دارای دیوار برشی مصالح بنایی مسلح)، به ترتیب برابر 3، 2.5 و 2.5 در نظر گرفته می‌شود.

پ6-2-5-2- کنترل مقاومت میانقاب

در طراحی سازه به روش ضرائب بار و مقاومت، نیروی عضو قطری فشاری میانقاب که از تحلیل با ترکیبات بار شامل زلزله به دست می‌آید نباید از مقاومت طراحی آن که برابر 0.4Fu در نظر گرفته می‌شود، بیشتر باشد.

پ6-2-5-3- قطع میانقاب در ارتفاع ساختمان

در صورتی که در یک دهانه، میانقاب در یکی از طبقات وجود نداشته باشد، دیوارهای آن دهانه در طبقات بالا را نمی‌توان میانقاب فرض کرد و باید آن‌ها را بر اساس بخش اول این پیوست، از قاب پیرامونی جدا نمود.

پ6-2-6- ارزیابی دیوارهای مصالح بنایی در جهت خارج از صفحه

همه میانقاب‌ها و اجزا و اتصالات آن باید دارای مقاومت کافی برای تحمل نیروهای خارج از صفحه دیوار باشند. نیروی زلزله وارد به میانقاب در جهت عمود بر صفحه، مشابه دیوارهای جدا شده و بر اساس فصل 4 این استاندارد محاسبه می‌گردد.

برای تأمین مقاومت در جهت عمود بر صفحه می‌توان از روش‌های معرفی شده در بخش نخست این پیوست برای دیوارهای جدا شده از قاب، استفاده نمود. البته اجزاء اضافه شده به میانقاب (بر خلاف دیوار جدا شده)، باید کاملاً به دیوار متصل بوده و فاصله‌ای بین آن‌ها و دیوار وجود نداشته باشد. لایه پوشش بتن‌آرمه (شاتکریت) نیز می‌تواند مورد استفاده قرار گیرد. بدین منظور می‌توان ضوابط بخش 7-1 ضابطه 398 سازمان برنامه و بودجه کشور را مد نظر قرار داد.

در مدل تحلیلی سازه، باید از سختی عمود بر صفحه میانقاب صرفنظر نمود.

پ6-2-7- میانقاب‌های دارای بازشو

میانقاب دارای بازشو باید تا حد امکان به صورت جدا شده از قاب اجرا شود. تنها در مواردی که همه شرایط زیر فراهم باشد، دیوار را می‌توان میانقاب فرض کرد:

1. طول و ارتفاع بازشو به ترتیب از یک سوم طول و یک سوم ارتفاع دیوار کمتر باشد.

2. فاصله افقی و قائم بازشو از تیر و ستون به ترتیب از 20٪ طول و 20٪ ارتفاع دیوار بیشتر باشد.

3. بازشو دارای قاب فولادی که به چارچوب پنجره متصل می‌شود باشد.

در این حالت لازم است سختی و مقاومت طراحی میانقاب به مقدار 20٪ کاهش یابد. در صورتی که دیوار دارای دو یا چند بازشو باشد، برای ابعاد بازشوی معادل، اندازه کوچکترین مستطیلی که همه بازشوها را در بر می‌گیرد در نظر گرفته می‌شود. در دیوارهای دارای بازشو نیز مانند سایر دیوارها، تأمین مقاومت کافی در جهت خارج از صفحه الزامی است.

پ6-2-8- میانقاب‌های نوین

بر اساس تحقیقات علمی، انواع جدیدی از میانقاب معرفی شده‌اند که در جهت صفحه خود، رفتاری شکل‌پذیر داشته و در جهت عمود بر صفحه نیز کاملاً پایدار هستند. در صورت استفاده از چنین میانقاب‌هایی، لازم است برای مدل‌سازی آن‌ها در سازه، کنترل کفایت اعضا و اتصالات قاب پیرامونی و هم‌چنین برای تعیین مقدار مقاومت طراحی و سایر کمیات مورد نیاز، بر اساس ضوابط معتبر عمل شود.

در صورت استفاده از میانقاب دارای فیوز لغزان، می‌توان از بخش 7-2 ضابطه 398 سازمان برنامه و بودجه کشور استفاده و مقاومت طراحی (مذکور در بند پ 6-2-5-2) آن را برابر با Fu فرض نمود.

مشخصات آیین‌نامه

تعداد فصول: 15 فصل
سال انتشار: 1393
ویرایش: چهارم

جستجو در آیین‌نامه‌ها

ناشرین آیین‌نامه‌ها

مقررات ملی ساختمان

قوانین، آیین‌نامه‌ها، شیوه‌نامه‌ها، دستورالعمل‌ها و بخشنامه‌های ساختمان

نظام مهندسی ساختمان

ضوابط، بخشنامه‌ها، نشریه‌ها و معیار‌های فنی نظام مهندسی ساختمان

مرکز تحقیقات راه، مسکن و شهرسازی

قوانین، آیین‌نامه‌ها و بخشنامه‌های مرکز تحقیقات راه، مسکن و شهرسازی

سازمان برنامه و بودجه کشور

ضوابط، بخشنامه‌ها و قوانین سازمان برنامه و بودجه کشور

سازمان ملی استاندارد ایران

استانداردهای کمیته‌های مختلف سازمان ملی استاندارد ایران

سازمان تامین اجتماعی کشور

مقررات و آیین‌نامه‌های درمانی و بیمه‌ای سازمان تامین اجتماعی کشور

ضوابط فنی و اجرایی شهرداری‌ها

ضوابط، بخشنامه‌ها، نشریه‌ها و معیار‌های فنی شهرداری‌های کشور

ضوابط فنی و اجرایی وزارت بهداشت

ضوابط، بخشنامه‌ها، نشریه‌ها و معیار‌های فنی وزارت بهداشت

ضوابط فنی و اجرایی وزارت نیرو-آبفا

ضوابط، بخشنامه‌ها، نشریه‌ها و معیار‌های فنی وزارت نیرو-آبفا

ضوابط سازمان بنادر و دریانوردی

ضوابط، بخشنامه‌ها، نشریه‌ها و معیار‌های فنی سازمان بنادر و دریانوردی

ضوابط فنی و اجرایی وزارت نفت

ضوابط، بخشنامه‌ها، نشریه‌ها و معیار‌های فنی وزارت نفت

قوانین و مقررات مالیاتی کشور

قوانین، مقررات، ضوابط و دستورالعمل‌هاى مالیاتى سازمان مالیات كشور

تازه‌ترین فصل‌ها

واژه‌نامه

مبحث هفدهم مقررات ملی ساختمان (سامانه گاز طبیعی در ساختمان)

پیوست ۶ دسته‌بندی نوع دستگاه‌‌‌های گازسوز

مبحث هفدهم مقررات ملی ساختمان (سامانه گاز طبیعی در ساختمان)

پیوست 5 شکل‌ها

مبحث هفدهم مقررات ملی ساختمان (سامانه گاز طبیعی در ساختمان)

پیوست 4 جدول‌ها

مبحث هفدهم مقررات ملی ساختمان (سامانه گاز طبیعی در ساختمان)

پیوست 3 ایمنی و ضوابط بهره‌برداری و نگهداری از سیستم لوله‌‌کشی گاز

مبحث هفدهم مقررات ملی ساختمان (سامانه گاز طبیعی در ساختمان)

پیوست 2 نمونه محاسبات

مبحث هفدهم مقررات ملی ساختمان (سامانه گاز طبیعی در ساختمان)

پیوست 1 راهنمای ایمنی

مبحث هفدهم مقررات ملی ساختمان (سامانه گاز طبیعی در ساختمان)