پیوست 5 : اندرکنش خاک و سازه
مقدمه
اندر کنش لرزهای خاک و سازه میتواند بر نیروهای وارد بر سازه و عملکرد سازهای آن مؤثر باشد. در صورتی که سازه دارای پی گسترده یا عمیق بوده و در عمقی از سطح زمین قرار گیرد و ابعاد ساختمان و پی آن به حدی باشد که انتشار و بازگشت موج زلزله از بدنه سازه به داخل خاک، با توجه به سختی نسبی سازه و خاک پی امکانپذیر باشد، میتوان با استفاده از روشهای مناسب، اندرکنش لرزهای خاک و سازه را در نظر گرفت. در غیراین صورت و در ساختمانهای معمولی و با ابعاد متداول که عمق زیرزمین آنها نیز از دو طبقه تجاوز نمینماید، لزومی به در نظر گرفتن اندرکنش خاک و سازه نیست. یادآوری میشود که در تحلیلهای معمول سازهای به هنگام اعمال زلزله به دلیل تناوبی بودن نیروی زلزله ممکن است در لحظات کوتاهی بخش سازهای پی از خاک زیر آن جدا شود و مجدداً به خاک متکی گردد. چنین جدایی مادامی که مقدار آن کم بوده و موجب ناپایداری کل سازه بر اثر واژگونی و یا ناپایداری ژئوتکنیکی لرزهای پی (نظیر روانگرایی و یا نشست غیرمجاز) نگردد، بلامانع است و نیازی به استفاده از تمهیداتی نظیر پی عمیق برای اتصال دائم خاک و بخش سازهای پی در حین بارگذاری زلزله نمیباشد.
1- کلیات
چنانچه در نظر باشد اثر اندرکنش خاک و سازه در تحلیل سازه لحاظ شود، پیوست حاضر میتواند به عنوان یک روش قابل قبول مورد استفاده قرار گیرد تا نیروهای ناشی از زلزله و تغییرشکلهای ایجاد شده در سازه محاسبه شود. روش حاضر زمانی میتواند مورد استفاده قرار گیرد که در هنگام مدلسازی و تحلیل سازه از فرض تکیهگاه ثابت استفاده شده باشد و سازه بر روی زمینهای نوع I، II یا III قرار گرفته باشد. به عبارت دیگر، چنانچه در مدلسازی سازه اثر انعطافپذیری پی صریح و با استفاده از روشهای معتبر مکانیک خاک لحاظ شده باشد، استفاده از روش حاضر مجاز نیست.
2- روش تحلیل استاتیکی معادل
1-2 نیروی برشی پایه
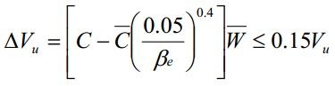
نیروی برشی پایه، Vu، محاسبه شده بر طبق بند (3-3-1) آییننامه در این روش تحلیل میتواند بر طبق رابطه زیر کاهش یابد و برابر Veu اختیار گردد.
| (1) | Veu = Vu - ΔVu |
در این رابطه مقدار کاهش نیروی برشی (ΔV) از رابطه زیر محاسبه میشود:
| (2) |
در رابطه فوق:
C= ضریب زلزله است که با استفاده از رابطه (3-2) آییننامه و با فرض زمان تناوب T در حالت سازه دارای تکیهگاه ثابت محاسبه میشود.
= ضریب زلزله که با استفاده از رابطه (3-2) این استاندارد و با فرض زمان تناوب مؤثر Te محاسبه میشود. Te برطبق ضوابط بند (2-2) این پیوست محاسبه میشود.
βe= در صد میرایی بحرانی مؤثر برای سیستم سازه و پی که بر طبق ضوابط بند (2-3) این پیوست محاسبه میشود.
= وزن مؤثر لرزهای در محاسبات اندرکنش که برابر 0.7W در نظر گرفته میشود. در مورد سازههایی که فقط دارای یک جرم متمرکز در یک تراز هستند،
برابر W میباشد.
2-2 زمان تناوب مؤثر سازه
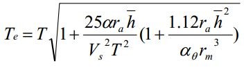
زمان تناوب اصلی مؤثر سازه با در نظر گرفتن اثر اندرکنش خاک و سازه، Te، از رابطه زیر به دست میآید:
| (3) |
در این رابطه:
T: زمان تناوب اصلی سازه در حالت تکیهگاه ثابت است که بر اساس بند (3-3-6) آییننامه محاسبه میشود.
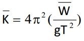
= سختی سازه در حالت تکیهگاه ثابت که از رابطه زیر به دست میآید:
| (4) |
= ارتفاع مؤثر سازه که برابر 0.7 ارتفاع کل سازه در نظر گرفته میشود. در خصوص سازههایی که فقط دارای یک جرم متمرکز در یک تراز هستند، ارتفاع مؤثر برابر ارتفاع سازه در آن تراز میباشد.
Kθ= سختی حرکت گهوارهای پی
Ky= سختی حرکت جانبی پی
g= شتاب ثقل
سختیهای حرکت جانبی و گهوارهای پی Ky و Kθ میباید بر اساس اصول مهندسی پی و با در نظر گرفتن مشخصات خاک سازگار با سطح کرنش تحت اثر زلزله طراحی محاسبه شود.
در حالتی که سازه بر روی پی سطحی گسترده در نزدیکی سطح زمین قرار گرفته باشد و یا در عمقی مدفون باشد که تماس دیوارهای جانبی با خاک در هنگام زلزله طرح را نتوان مؤثر در نظر گرفت، به جای استفاده از رابطه 3 میتوان زمان تناوب را از رابطه زیر محاسبه نمود:
| (5) |
در این رابطه:
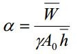
α = شاخص نسبت جرم سازه به خاک است که از رابطه زیر به دست میآید:
| (5a) |
γ= متوسط وزن مخصوص خاک
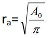
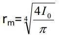
ra و rm= ابعاد مشخصه پی که به ترتیب زیر تعریف میشود:
| (5b) | |
| (5c) |
A0= مساحت باربر پی
I0= ممان اینرسی سطح باربر پی حول محور افقی است که از مرکز سطح پی عبور کند و عمود بر امتدادی باشد که سازه در دست تحلیل است.
Vs= سرعت موج برشی در خاک سازگار با سطح کرنش تحت اثر زلزله طراحی
αθ= ضریب اصلاح سختی دینامیکی پی برای حرکت گهوارهای که از جدول (پ-5-1) به دست میآید.
جدول پ-5-1
| نسبت rm/VsT | نسبت αθ |
| 0.05 > | 1.0 |
| 0.15 | 0.85 |
| 0.35 | 0.7 |
| 0.5 | 0.6 |
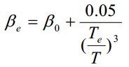
3-2 میرایی مؤثر
میرایی مؤثر سیستم سازه – پی از رابطه زیر به دست میآید:
| (6) |
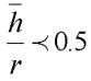
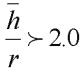
در این رابطه β0 نسبت میرایی پی است که از شکل (پ-5-1) به دست میآید:
شکل پ-5-1 نسبت میرایی پی
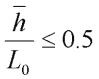
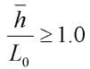
در شکل (پ-5-1) r بعد مشخصه پی است که در حالتی که باشد، برابر ra و در حالتی که
باشد، برابر rm میباشد (L0 طول شالوده در امتدادی است که سازه مورد تحلیل قرار میگیرد). برای مقادیر
بین 0.5 و یک، r از طریق درونیابی خطی به دست میآید).
در حالتی که باشد، β0 برابر با مقادیر متناظر با همین نسبت ابعادی و در حالتی که
باشد، β0 برابر با صفر در نظر گرفته میشود.
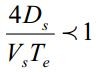
استثنا: در مورد سازههایی که بر روی پیهای شمعی نقطهای قرار گرفتهاند یا آنها که خاک زیر شالوده متشکل از یک لایه خاک نرم است که بر روی یک خاک بسیار سختتر قرار گرفتهاند، به طوری که یک تغییر سختی ناگهانی در خاک وجود دارد، در حالتی که باشد، در رابطه 4 باید به جای β0 از پارامتر β’0 که از رابطه زیر به دست میآید، استفاده شود (Ds ضخامت لایه خاک نرم است).
| (6a) |
در هر حال مقدار محاسبه شده βe نباید از 0.05 کمتر و از 0.2 بیشتر در نظر گرفته شود.
4-2 توزیع نیروی جانبی در ارتفاع
نیروی برشی کاهش یافته با در نظر گرفتن اثر اندرکنش خاک و سازه، باید به صورت مشابه با سازه با تکیهگاه ثابت و با استفاده از رابطه (3-6) این استاندارد در ارتفاع ساختمان توزیع شود.
5-2 سایر اثرهای اندرکنش خاک و سازه
مقادیر نیروی برشی، لنگر واژگونی و اثر پیچش حول محور قائم ساختمان بر اساس نیروی برشی کاهش یافته که در این بخش ارائه شدند، مانند ساختمانهای دارای تکیهگاه ثابت، محاسبه میشوند.
تغییرمکان جانبی ساختمان در ترازهای مختلف، با توجه به اثر اندرکنش خاک و سازه، باید از رابطه زیر محاسبه شود.
| (7) |
در این رابطه:
M0u= لنگر واژگونی در پایه ساختمان در حالت تکیهگاه ثابت
hx= ارتفاع تراز مورد نظر از تراز پایه
δx= تغییرمکان جانبی ساختمان که با اعمال نیروی برشی کاهش نیافته در حالت تکیهگاه ثابت به دست آمده است.
کنترل تغییرمکان جانبی نسبی طبقات (بند 3-5 این استاندارد) و اثر P-Δ باید با توجه به تغییرمکان جانبی اصلاح شده به روش فوق انجام شود.
3- روش تحلیل دینامیکی طیفی
برای در نظر گرفتن اثر اندرکنش خاک سازه در تحلیل دینامیکی طیفی در هریک از امتدادهای اصلی افقی ساختمان موارد زیر باید رعایت شود.
1-3 مقادیر نیروی برشی پایه مؤدی
مقدار نیروی برشی پایه مود اول میتواند بر طبق رابطه (8) کاهش یابد.
| (8) |
مقدار ΔV1u از رابطه (2) با درنظر گرفتن وزن مؤثر لرزهای مود اول، به جای
به دست میآید. برای استفاده از رابطههای (2) و (3)، زمان تناوب مود اول سازه در همان امتداد اصلی افقی T1 ملاک عمل بوده و در محاسبه ارتفاع مؤثر
از رابطه (9) استفاده میشود:
| (9) |
در این رابطه:
Wi = وزن طبقه i
hi= ارتفاع تراز i از تراز پایه
φi1= دامنه تغییرمکان جانبی تراز i در ارتعاش در مود اول که از درایه مربوطه در بردار شکل مود اول به دست میآید.
n= تعداد طبقات
برای محاسبه نسبت میرایی مؤثر و ضریب α نیز باید از مقادیر فوق الذکر و
و T استفاده شود.
کاهش در مقادیر نیروی برشی پایه سایر مودهای ارتعاشی سازه مجاز نبوده و حداکثر مقدار کاهش نیروی برشی مود اول ΔV1 نیزبرابر 0.15V1 میباشد.
2-3 سایر اثرهای مؤدی
مقادیر نیروی جانبی، نیروی برشی و لنگر واژگونی در طبقات مختلف بر اساس مقدار کاهش یافته نیروی برشی پایه در مود اول و به صورت مشابه با ساختمانهای دارای تکیهگاه ثابت محاسبه میشود.
در مودهای دیگر ارتعاشی، کاهش اعمال نمیشود. تغییرمکان جانبی ساختمان نیز در مود اول با توجه به اثر اندرکنش خاک و سازه از طریق رابطه (10) محاسبه میشود.
| (10) |
پارامترهای رابطه (10) مشابه رابطه (7) و با در نظر گرفتن پارامترهای متناظر با مود اول محاسبه میشود.
3-3 مقادیر مورد استفاده در طراحی
مقادیر نیروی برشی، لنگر، تغییرمکان جانبی و تغییرمکان جانبی نسبی مورد استفاده در طراحی باید با استفاده از ترکیب مناسب جذر مجموع مربعات یا ترکیب مربعات کامل پاسخهای مودهای مختلف محاسبه شود.