پیوست 4 : دیافراگمها
1- تعریف و عملکرد
مجموعه سیستم مقاوم ساختمانها در برابر نیروهای جانبی معمولاً از دو قسمت اجزای قائم و اجزای افقی (یا تقریباً افقی) تشکیل میشود. اجزای افقی نیروهای افقی زلزله و باد را به اجزای قائم منتقل نموده و اجزای قائم نیز این نیروها را به شالودهها و نهایتاً به زمین منتقل مینمایند. به اجزای افقی یا تقریباً افقی منتقل کننده نیروهای جانبی «دیافراگم افقی» و یا به اختصار «دیافراگم» گفته میشود. در ساختمانهای متعارف دیافراگمها شامل کفها و سقفها (افقی و یا با شیب کم) میباشند. در چنین ساختمانهایی دیافراگمها وظیفه باربری قائم (ثقلی) را هم زمان بر عهده دارند. در ساختمانهای صنعتی به طور کلی بادبندیهای افقی (یا تقریباً افقی) نقش انتقال نیروهای افقی به اجزای قائم (قابها) را عهدهدار هستند و بنابراین دیافراگم محسوب میگردند.
برای سهولت دیافراگم را میتوان مشابه یک تیر ورق تصور نمود که بر روی تکیهگاههایی که همان اجزای قائم باربر جانبی میباشند (قابها و دیوارهای برشی) واقع شده است (شکل پ-4-1).
جان تیر ورق همان صفحه افقی دیافراگم بوده و بالهای آن اجزای لبه دیافراگم را شامل میشوند. لیکن باید توجه داشت به واسطه بزرگی نسبت عرض دیافراگمها (h) به دهانه آنها (L1 یا L2) معمولاً این اجزا به عنوان تیرهای عمیق (تیر تیغه) محسوب شده و دیگر فرض مستوی ماندن مقاطع هنگام خمش در آنها صادق نیست. در تغییرشکل تیر تیغه باید علاوه بر اثرهای تغییرشکلهای خمشی، اثرهای تغییرشکلهای برشی نیز منظور گردد.
دیافراگمها باید با توجه به فرضیات منظور شده در محاسبات کل سازه در برابر بارهای جانبی دارای سختی و صلبیت مناسب همراه با مقاومت کافی بوده و طوری با سایر قطعات سازه درگیر شده باشند که سازه و دیافراگم هنگام زلزله یکپارچه باقی بمانند.
شکل پ-4-1 نمونهای از دیافراگم
2- انواع دیافراگمها از نظر جنس و سیستم ساختمانی
دیافراگمها ممکن است از کفهای ساخته شده از بتنآرمه در جا ریخته شده، شامل تیرچه بلوک (با بتنآرمه مناسب رویه)، ورقهای ساده یا موجدار فلزی، ورقهای موجدار فلزی با بتنآرمه رویه به صورت مرکب، کفهای چوبی، کفهای ساخته شده از قطعات بتن پیشساخته همراه با بتن رویه، کفهای ساخته شده از قطعات بتن پیشساخته با اتصالات خشک و یاتر با یکدیگر و بدون بتن رویه، طاقهای ضربی (با مهاربندی) و غیره تشکیل شده باشند. همچنین دیافراگمها میتوانند شامل مهاربندیهای افقی که از اجزای فولادی و یا بتنی ساخته شدهاند نیز باشند. طراحی سیستم مهاربندی افقی مشابه سیستم مهاربندی قائم بوده و از ضوابط آییننامههای مربوط استفاده میگردد.
3- انواع دیافراگمها از نظر صلبیت و انعطافپذیری
نیروی جانبی هر دیافراگم باید بین اجزای قائم سیستم باربری جانبی با توجه به سختی دیافراگم نسبت به سختی اجزای سازهای قائم تقسیم گردد. در واقع اجزای قائم مانند تکیهگاههای دیافراگم (تیر ورق) عمل مینمایند. جامعترین روش تحلیلی برای تعیین نیروهای داخلی دیافراگمها (تلاشها) و توزیع مناسب نیروهای جانبی بین اجزای باربر قائم، مدل نمودن دیافراگم به صورت اجزای محدود (finite elements) همراه با اجزای تیر، ستون و دیوارهای برشی در یک مدل سه بعدی کلی است. لیکن به منظور صرفهجویی در وقت در دیافراگمهای متعارفی که فاقد بازشوهای بزرگ و نزدیک به هم بوده و دارای پلان نسبتاً منظمی میباشند، مطلوبتر است از روشهای ساده شده استفاده شود. شکل (پ-4-2) وضعیت تغییرمکان و تغییرشکل کلی تیر تیغه (دیافراگم) و تکیهگاههای آن (قابها و دیوارهای برشی) را نشان میدهد.
شکل پ -4-2
بر طبق بند (3-8-1) این استاندارد دیافراگمها با توجه به نسبت به سه دسته نرم، نیمه صلب وصلب تقسیم میشوند.
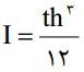
Δstory = تغییرمکان نسبی
Δdiagh = حداکثر تغییرشکل دیافراگم
4- تغییرشکل دیافراگمها
با توجه به اینکه متداولترین نوع دیافراگم در ایران دیافراگمهای بتنآرمه هستند، در ادامه، روش تعیین صلبیت این گونه دیافراگمها مورد بحث قرار میگیرد.
همان طور که قبلاً ذکر شد، تغییرشکل کلی هر دیافراگم (Δstory) تحت اثر بارهای جانبی وارد بر آن از دو قسمت تغییرشکل خمشی (Δf) و تغییرشکل برشی (Δs) تشکیل میگردد.
| Δstory = Δf + Δs |
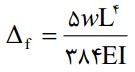
در تیرهای معمولی (غیرتیغه) مقدار تغییرشکلهای برشی جزئی بوده و از آن صرف نظر میشود، لیکن در تیر تیغه، مقدار تغییرشکلهای برشی عمده بوده و باید منظور گردند. روش برآورد تغییرشکلهای خمشی تیر تیغه، مشابه تیرهای معمولی است. مثلاً در تیر ساده شکل (پ-4-3) مقدار حداکثر Δf را میتوان از رابطه زیر محاسبه نمود:
شکل پ -4-3
w = بار گسترده یکنواخت
E= مدول ارتجاعی ماده
l= گشتاور ماند مقطع
در دیافراگمهای با ضخامت ثابت برای محاسبه l معمولاً کل مقطع دیافراگم منظور میگردد. مثلاً در شکل (پ-4-4) مقدار l برابر است با:
شکل پ-4-4
تغییرشکل برشی دیافراگمها (Δs) به شرطی که دیافراگم به صورت تیر تیغه ساده فرض شود، از رابطه زیر به دست میآید:
α: ضریب فرم
A: سطح مقطع کل دیافراگم
G: مدول برشی بتن
w: بار جانبی یکنواخت
در رابطه فوق G برابر با 0.4 مقدار مدول ارتجاعی بتن بر اساس آییننامه بتن ایران، t ضخامت دیافراگم و ضریب α ضریبی است که برای دالهای بتنی برابر با 1.50 منظور میشود.
در سایر انواع دیافراگمها مانند دیافراگمهای ساخته شده از ورقهای موجدار با بتن رویه یا دیافراگمهای چوبی، هر چند اصول محاسبات تغییرشکل دیافراگم مطابق روش فوق است، لیکن باید بر اساس اصول مکانیک جامدات و مقاومت مصالح و رعایت شرایط سازگاری، محاسبات تغییرشکل دیافراگم انجام شود.
5- نکاتی درباره تحلیل دیافراگمها
در تحلیل دیافراگمهای چند دهانه برای تعیین نوع دیافراگم از نظر صلبیت، راه حل محافظه کارانه، منظور نمودن کل دیافراگم به صورت چند دهانه ساده میباشد. بررسی اجمالی یک دیافراگم، بحرانیترین دهانههای آن را به وضوح مشخص مینماید. کنترل صلبیت دیافراگم میتواند فقط برای دهانههای بحرانی دیافراگمهای صلب و بر اساس بارگذاری مطابق بند (3-3-6) انجام شود. در صورت صلب بودن دیافراگم در چند دهانه و عدم صلبیت آن در یک دهانه ممکن است نیاز به تحلیل جامع کل دیافراگم و سازه وجود داشته باشد.
از طرف دیگر، در صورتی که کل سازه با فرض دیافراگم صلب تحلیل شده باشد، میتوان مجموع دیافراگم را به صورت یک تیر ممتد چند دهانه بر روی تکیهگاههای صلب و با منظور نمودن سختیهای خمشی (گشتاور ماند) متفاوت و سطوح مقطع برشی مؤثر متفاوت در دهانههای مختلف و قسمتهای مختلف هر دو دهانه تحلیل نمود. بر این اساس تغییرمکانهای حداکثر دهانههای مختلف را با تغییرمکانهای مجاز هر طبقه مقایسه نموده و صلبیت دیافراگم را تأیید نمود. کنترل تغییرشکلهای هر دیافراگم باید در امتداد هر دو محور اصلی دیافراگم انجام گیرد.
از طرف دیگر برای تعیین تلاشهای داخلی هر دیافراگم بعد از تعیین میزان صلبیت آن باید نیروهای طراحی مطابق بند (3-8-3) آییننامه ملاک عمل قرار گیرد. توزیع افقی نیروهای برشی بین تکیهگاههای دیافراگم (عناصر قائم بار بر جانبی) با رعایت بند (3-3-7-1) آییننامه صورت میگیرد. در صورت صلبیت دیافراگم، این توزیع به نسبت سختی جانبی هر کدام از تکیهگاهها (دیوار برشی، قاب، مهاربند و …) انجام میشود. برای تعیین نسبت سختی جانبی عناصر قائم میتوان تغییرمکان واحدی را در سقف طبقه مورد نظر وارد کرده و در حالتی که کلیه طبقات زیرین بدون حرکت باشند از نسبت نیروهای برشی ایجاد شده در عناصر قائم بار بر جانبی آن طبقه استفاده کرد.
6- نکاتی درباره طراحی دیافراگمها
ضخامت حداقل دیافراگمهای بتنی و یا بتن رویه دیافراگمهای ساخته شده از ورق و یا قطعات پیشساخته نباید از 5 سانتیمتر کمتر باشد. کنترل کفایت ضخامت باید با توجه به تلاشهای داخلی دیافراگم و ضوابط آییننامه بتن ایران انجام گردد. این کنترل به خصوص باید در کنار بازشوهای نسبتاً بزرگ با دقت خاص انجامپذیرد. در صورت عدم کفایت بتن دیافراگم میتوان آن را با سیستم مهاربندی فولادی مناسب نیز تقویت نمود. به طور کلی توصیه میگردد که میزان و تعداد بازشوها در دیافراگمها به حداقل ممکن محدود گردد. کلیه اجزای متصل به دیافراگم (سازهای یا غیرسازه ای) باید قادر به تحمل تغییرشکل دیافراگم در محل اتصال باشند. همچنین اتصالات دیافراگم با دیوارهای برشی و یا قابهای خمشی باید به نحوی طراحی شوند که کل نیروهای وارده را تحمل نمایند. کلیه نیروها و تلاشهایی که برای طراحی دیافراگمها به کار میروند باید بر اساس نحوه بارگذاری مطابق بند (3-8) آییننامه محاسبه شده باشند.
نیروی جانبی که باید برای طراحی دیافراگم منظور شود، شامل نیروی اینرسی ایجاد شده در اثر وزن خود دیافراگم و همچنین وزن قطعات سازهای و غیرسازهای متصل به آن میباشد. علاوه بر آن دیافراگمها باید نیروهای جانبی سازههای باربر جانبی را که در محل دیافراگم جابجا یا قطع شدهاند تحمل نمایند.