آیین‌نامه‌ها

صفحه اصلی / آیین‌نامه‌ها / آیین‌نامه طراحی ساختمان‌ها در برابر زلزله (استاندارد 2800)
پیوست 3 : اثر P-Δ

پیوست 3 : اثر P-Δ

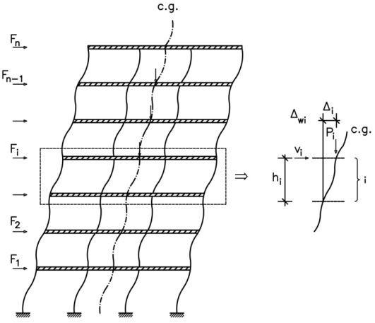
سازه چند طبقه تحت اثر بارهای قائم

شکل پ 3-1 سازه چند طبقه تحت اثر بارهای قائم

1- کلیات، تعاریف و مفاهیم

اثر P-Δ در هر طبقه به دلیل برون محوری بارهای ثقلی طبقات بالای طبقه i (طبقه مورد نظر) که نیروی Pi (یا P) نامیده می‌شود، ایجاد می‌گردند. در صورتی که تغییرمکان جانبی طبقه، در اثر نیروهای جانبی زلزله، Δ باشد، به لنگر ایجاد شده در هر طبقه، لنگری که مقدار آن برابر با حاصلضرب P و Δ است، اضافه می‌گردد. شکل (پ-3-1) حالت تغییرشکل نیافته یک ساختمان n طبقه و شکل (پ-3-2) حالت تغییرشکل یافته همان ساختمان در اثر بارهای جانبی را نشان می‌دهد. در این پیوست اثر P-Δ در یک ساختمان متقارن بررسی می‌شود، هر چند تعمیم همین بحث می‌تواند ساختمان‌های غیرمتقارن همراه با پیچش) را نیز در بر گیرد.

تغییرشکل‌های جانبی در اثر وارد شدن نیروهای جانبی

شکل پ-3-2 تغییرشکل‌های جانبی در اثر وارد شدن نیروهای جانبی

Mi= لنگر اولیه طبقه بر اثر برش وارد بر طبقه i

ΔM = تغییرمکان نسبی اولیه طبقه i

Vi= مجموع نیروی برش وارد در طبقه i

Pi = مجموع بارهای مرده و زنده مربوط در طبقات i تا n

hi= ارتفاع طبقه i

c.g.= مرکز جرم لنگر ثانویه وارد به طبقه i بر اثر پدیده P-Δ برابر است با:

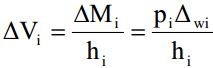
(1) ΔMi = PiΔwi

لنگر اولیه طبقه بر اثر برش وارد بر طبقه i برابر است با:

(2) Mi = Vihi

برش اضافه در حالت رفتار ارتجاعی طبقه بر اثر P-Δ در طبقه i برابر است با:

(3) برش اضافه در حالت رفتار ارتجاعی طبقه بر اثر P-Δ در طبقه i

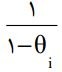
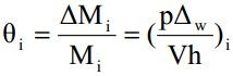
نسبت ΔM­i ایجاد شده بر اثر P-Δ به لنگر اولیه بر اثر برش، Mi، شاخص پایداری طبقه نامیده شده و با علامت θi نشان داده می‌شود:

(4) شاخص پایداری طبقه

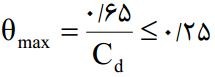
اهمیت اثر P-Δ بر اساس مقدار شاخص پایداری تعیین می‌شود. اگر مقدار این شاخص از θmax مطابق رابطه زیر بیشتر باشد، سازه در طبقه مورد نظر ناپایدار محسوب شده و باید در طراحی آن تجدیدنظر گردد.

(5) ماکزیمم شاخص پایداری طبقه

در صورتی که مقدار شاخص پایداری طبقه کمتر از 10 درصد باشد، اثر P-Δ در طبقه مورد نظر قابل اهمیت نیست.

در صورتی که θi باشد باید نیروها و تلاش‌های ثانویه محاسبه و طراحی اعضا از نظر پایداری با استفاده از رهنمودهای زیر کنترل گردد.

2- محاسبه تغییرمکان نسبی و نیروی برشی معادل طبقه

مجموع لنگر در حالت رفتار ارتجاعی برابر است با:

(6) Mi+ΔMi = Mi+PiΔwi = Mi(1+θi)

از طرف دیگر لنگر اضافی ΔMi خود ایجاد یک تغییرمکان اضافی در طبقه i می‌نماید که این تغییرمکان نیز به نوبه خود اثر P-Δ و در نتیجه لنگر اضافی جزئی‌تری را ایجاد می‌نماید. لنگر طبقه در نهایت برابر خواهد بود با:

(7) MiPΔ = Mi(1+1+θi2i+θ3i...)

با توجه به حد سری‌ها، مقدار حد سری داخل پرانتز برابر با مقدار حد سری است و خواهیم داشت:

(8) MiPΔ

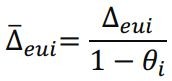
در سازه‌های تحت اثر زلزله، به دلیل رفتار غیرارتجاعی سازه، تغییرمکان طبقات که از محاسبات ارتجاعی سازه در برابر بارهای جانبی زلزله مطابق ضوابط بندهای (3-3) و (3-4) آیین‌نامه به دست می‌آید، نمایانگر تغییرمکان جانبی غیرارتجاعی طبقه در یک زلزله شدید نیست. تغییرمکان جانبی نسبی غیرخطی در این آیین‌نامه از رابطه (9- ب) برآورد می‌شود:

(9-الف) تغییرمکان جانبی نسبی غیرخطی (الف)
(9-ب) تغییرمکان جانبی نسبی غیرخطی (ب)

بنابراین برای کنترل تغییرمکان جانبی نسبی غیرخطی طرح طبقات، تغییرمکان به دست آمده از رابطه (9-ب) با مقادیر مجاز، بند (3-6-3) آیین‌نامه مقایسه می‌گردد.

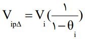
در محاسبه مقدار برش معادل طبقه با منظور نمودن اثرهای P-Δ، یعنی VipΔ، می‌توان از رابطه زیر استفاده کرد:

(10) برش معادل طبقه
3- روش استفاده از برنامه‌های کامپیوتری

برنامه‌های کامپیوتری متعددی وجود دارند که در آن‌ها اثرهای P-Δ به شکل‌های مختلف منظور می‌گردند. در هنگام استفاده از چنین برنامه‌هایی باید فرضیات و روش انجام آنالیز P-Δ برای استفاده کننده کاملاً معلوم و مشخص باشد.

از طرف دیگر مقدار تغییرمکان‌های جانبی نسبی غیرخطی طرح در برنامه‌های تحلیل خطی تعیین نمی‌گردد. بنابراین برای تعیین تغییرمکان‌های جانبی نسبی غیرخطی طرح باید تغییرمکان‌های حاصل از تحلیل خطی با در نظر گرفتن اثر P-Δ را نیز با ضریب Cd افزایش داد.

مشخصات آیین‌نامه

تعداد فصول: 15 فصل
سال انتشار: 1393
ویرایش: چهارم

جستجو در آیین‌نامه‌ها

ناشرین آیین‌نامه‌ها

مقررات ملی ساختمان

قوانین، آیین‌نامه‌ها، شیوه‌نامه‌ها، دستورالعمل‌ها و بخشنامه‌های ساختمان

نظام مهندسی ساختمان

ضوابط، بخشنامه‌ها، نشریه‌ها و معیار‌های فنی نظام مهندسی ساختمان

مرکز تحقیقات راه، مسکن و شهرسازی

قوانین، آیین‌نامه‌ها و بخشنامه‌های مرکز تحقیقات راه، مسکن و شهرسازی

سازمان برنامه و بودجه کشور

ضوابط، بخشنامه‌ها و قوانین سازمان برنامه و بودجه کشور

سازمان ملی استاندارد ایران

استانداردهای کمیته‌های مختلف سازمان ملی استاندارد ایران

سازمان تامین اجتماعی کشور

مقررات و آیین‌نامه‌های درمانی و بیمه‌ای سازمان تامین اجتماعی کشور

ضوابط فنی و اجرایی شهرداری‌ها

ضوابط، بخشنامه‌ها، نشریه‌ها و معیار‌های فنی شهرداری‌های کشور

ضوابط فنی و اجرایی وزارت بهداشت

ضوابط، بخشنامه‌ها، نشریه‌ها و معیار‌های فنی وزارت بهداشت

ضوابط فنی و اجرایی وزارت نیرو-آبفا

ضوابط، بخشنامه‌ها، نشریه‌ها و معیار‌های فنی وزارت نیرو-آبفا

ضوابط سازمان بنادر و دریانوردی

ضوابط، بخشنامه‌ها، نشریه‌ها و معیار‌های فنی سازمان بنادر و دریانوردی

ضوابط فنی و اجرایی وزارت نفت

ضوابط، بخشنامه‌ها، نشریه‌ها و معیار‌های فنی وزارت نفت

قوانین و مقررات مالیاتی کشور

قوانین، مقررات، ضوابط و دستورالعمل‌هاى مالیاتى سازمان مالیات كشور

تازه‌ترین فصل‌ها

واژه‌نامه

مبحث هفدهم مقررات ملی ساختمان (سامانه گاز طبیعی در ساختمان)

پیوست ۶ دسته‌بندی نوع دستگاه‌‌‌های گازسوز

مبحث هفدهم مقررات ملی ساختمان (سامانه گاز طبیعی در ساختمان)

پیوست 5 شکل‌ها

مبحث هفدهم مقررات ملی ساختمان (سامانه گاز طبیعی در ساختمان)

پیوست 4 جدول‌ها

مبحث هفدهم مقررات ملی ساختمان (سامانه گاز طبیعی در ساختمان)

پیوست 3 ایمنی و ضوابط بهره‌برداری و نگهداری از سیستم لوله‌‌کشی گاز

مبحث هفدهم مقررات ملی ساختمان (سامانه گاز طبیعی در ساختمان)

پیوست 2 نمونه محاسبات

مبحث هفدهم مقررات ملی ساختمان (سامانه گاز طبیعی در ساختمان)

پیوست 1 راهنمای ایمنی

مبحث هفدهم مقررات ملی ساختمان (سامانه گاز طبیعی در ساختمان)