آیین‌نامه‌ها

صفحه اصلی / آیین‌نامه‌ها / آیین‌نامه طراحی ساختمان‌ها در برابر زلزله (استاندارد 2800)
پیوست 2: راهنمای انجام تحلیل‌های غیرخطی

پیوست 2: راهنمای انجام تحلیل‌های غیرخطی

1- کلیات

تحلیل غیرخطی سازه‌ها در برابر زلزله به دو روش تحلیل استاتیکی غیرخطی (بند 3) و تحلیل تاریخچه زمانی غیرخطی (بند 4) قابل انجام می‌باشند. روش‌های تحلیل غیرخطی برای تخمین سازوکارها (مکانیزم‌های) خمیری موردانتظار، توزیع آسیب‌های وارده و ارزیابی عملکرد سازه قابل استفاده می‌باشند.

1-1 برای انجام تحلیل غیرخطی باید مدل به کار گرفته شده در تحلیل‌های خطی با در نظر گرفتن مقاومت اعضا و رفتار فرا ارتجاعی آن‌ها ارتقا یابد.

2-1 قبل از انجام تحلیل غیرخطی می‌باید بار ثقلی مطابق با ضرایب ترکیب بار مربوطه به مدل سازه اعمال گردد.

تبصره: ترکیب بارهای ثقلی عبارت از 1.2D+L و 0.9D می‌باشند که در آن‌ها D بار مرده و L بار زنده است. بار زنده بر طبق ضوابط مبحث ششم مقررات ملی ساختمان محاسبه می‌شود. ضمناً در مواردی که بار زنده گسترده کمتر از 400 کیلوگرم بر متر مربع است، کاهش این بار تا 50٪ مجاز است.

2- مشخصات غیرخطی اعضای سازه

1-2 مشخصات غیرخطی اعضای سازه در مدل‌سازی باید به لحاظ مقاومت، سختی و شکل‌پذیری با داده‌های آزمایشگاهی و یا مدل‌های تحلیلی معتبر سازگار باشد.

2-2 رابطه نیرو-تغییرشکل اعضا را می‌توان حداقل به صورت دو خطی در نظر گرفت. سختی ارتجاعی در ساختمان‌های بتن‌آرمه و بنایی براساس مقاطع ترک خورده در نظر گرفته می‌شود. در اعضای شکل‌پذیر که انتظار می‌رود رفتار غیرخطی داشته باشند، سختی ارتجاعی در مدل‌سازی دو خطی، سختی سکانت تا نقطه جاری شدن محسوب می‌شود. در منحنی رفتاری اعضا می‌توان سختی بعد از جاری شدن را صفر اختیار نمود. استفاده از رابطه سه خطی نیرو تغییرشکل که اثر سختی قبل و بعد از ترک‌خوردگی را در نظر می‌گیرد مجاز می‌باشد. استفاده از روابط داده شده در دستورالعمل بهسازی لرزه‌ای ساختمان‌های موجود" (نشریه 360) نیز مجاز است.

3-2 در اعضایی که در آن‌ها زوال مقاومت انتظار می‌رود، باید این رفتار در رابطه نیروتغییرشکل آن اعضا در نظر گرفته شود. در صورتی که از روابط نشریه 360 برای توصیف رابطه نیرو تغییرشکل اعضا استفاده شود، شرایط این بند لحاظ شده تلقی می‌گردد.

4-2 مقاومت اعضا براساس مقادیر مورد انتظار (میانگین) مشخصات مصالح محاسبه می‌شود. مشخصات میانگین مصالح با ضرب عدد 1.15 در مقادیر مقاومت مشخصه مصالح (کرانه پایین) به دست می‌آیند.

5-2 در تعیین روابط نیرو- تغییرشکل برای اعضای سازه اثر نیروهای محوری ناشی از بارهای ثقلی باید در نظر گرفته شوند.

3- تحلیل استاتیکی غیرخطی

1-3 تحلیل استاتیکی غیرخطی یک سازه با اعمال بارهای ثقلی ثابت و بارهای جانبی رانشی انجام می‌شود. اثر P-Δ نیز در انجام این تحلیل باید در نظر گرفته شود. از این روش می‌توان برای ارزیابی عملکرد سازه در تغییرمکان هدف (بند 3-7) ونیز محاسبه مقدار ضریب اضافه مقاومت سازه استفاده کرد.

2-3 از روش تحلیل استاتیکی غیرخطی در سازه‌هایی می‌توان استفاده نمود که در آن‌ها اثر مودهای بالا عمده نباشد. برای تعیین این موضوع ضروری است سازه ساختمان دو بار با استفاده از روش تحلیل دینامیکی طیفی تحلیل شود. در بار اول تنها مود اول سازه در نظر گرفته شده و در بار دوم تمام مودهای نوسانی که مجموع جرم مؤثر آن‌ها حداقل 90٪ جرم کل سازه است باید در نظر گرفته شود. در صورتی که نتایج تحلیل دوم نشان دهد نیروی برشی در طبقه‌ای بیش از 30٪ از نیروی برشی حاصل از تحلیل اول بزرگتر است، این امر به معنی عمده بودن اثر مودهای بالای سازه است.

3-3 در این روش تأثیر زلزله باید در هر دو جهت مثبت و منفی در هر امتداد اصلی به ساختمان اعمال گردد و بحرانی‌ترین مقادیر تلاش‌ها و تغییرشکل‌های ایجادشده ملاک طراحی و کنترل اعضا قرار گیرد.

4-3 در مورد ساختمان‌های منظم می‌توان تحلیل را در هر امتداد اصلی افقی به طور مستقل انجام داد، مگر آن دسته از ساختمان‌ها که باید ضوابط بند (3-5) در مورد آن‌ها رعایت شود.

5-3 در مورد ساختمان‌های نامنظم باید از مدل‌های سه بعدی در تحلیل استفاده کرد. آثار دو مؤلفه افقی زلزله نیز باید ملحوظ گردد. برای در نظر گرفتن این آثار در مورد این ساختمان‌ها و نیز آن دسته از ساختمان‌های منظم که دارای یک یا چند ستون مشترک بین دو یا چند قاب سیستم باربر جانبی در جهات مختلف باشد، در تحلیل استاتیکی غیرخطی باید در هر امتداد 100٪ نیروها و تغییرمکان‌ها در جهت مورد بررسی به همراه نیروهای متناظر با 30 ٪ تغییرمکان در امتداد عمود بر آن در نظر گرفته شود.

6-3 توزیع‌های بار جانبی

1-6-3 حداقل دو توزیع بار جانبی به شرح زیر در تحلیل باید اعمال گردد،

الف- توزیع متناسب با نیروهای جانبی حاصل از تحلیل دینامیکی خطی طیفی با لحاظ آن تعداد مودهای ارتعاشی که حداقل 90٪ جرم سازه در تحلیل مشارکت کند،

ب- توزیع بار یکنواخت که عبارت است از توزیعی متناسب با جرم بدون توجه به ارتفاع هر طبقه.

2-6-3 بارهای جانبی باید در محل جرم‌ها در مدل اعمال گردند. در ساختمان‌های دارای دیافراگم‌های صلب این بارها می‌تواند در مرکز جرم کف‌ها اعمال شود. تأثیر خروج از مرکزیت اتفاقی نیز باید اعمال گردد.

7-3 منحنی ظرفیت

1-7-3 منحنی ظرفیت یعنی رابطه بین برش پایه و تغییرمکان نقطه کنترل باید توسط روش تحلیل استاتیکی غیرخطی از مقدار صفر تا تغییرمکانی معادل 150٪ تغییرمکان هدف تعیین گردد.

2-7-3 مرکز جرم بام باید به عنوان محل نقطه کنترل اختیار گردد. بام خرپشته را نباید به عنوان نقطه کنترل در نظر گرفت.

3-7-3 منحنی ظرفیت باید تبدیل به منحنی چندخطی گردد تا برش پایه جاری شدن مؤثر سازه Vy و تغییرمکان نظیر آن Δy تعیین و از این مقادیر برای محاسبه زمان تناوب اصلی مؤثر Te استفاده شود.

4-7-3 چندخطی کردن منحنی ظرفیت، مطابق شکل (پ-2-1) به نحوی صورت می‌پذیرد که خط اول از نقطه شروع با شیبی برابر با سختی جانبی مؤثر Ke رسم می‌گردد. سختی جانبی مؤثر Ke برابر سختی سکانت محاسبه شده در برش پایه نظیر 60٪ برش پایه جاری شدن مؤثر سازه Vy در منحنی ظرفیت است. برش پایه جاری شدن مؤثر سازه Vy نباید از حداکثر برش پایه در نقاط مختلف منحنی ظرفیت بیشتر باشد.

خط دوم نماینده شیب مثبت بعد از جاری شدن سازه است که از نقطه‌ای به مختصات (Δd و Vd) و نقطه‌ای روی خط اول چنان ترسیم می‌شود که سطح زیر مدل رفتار دو خطی برابر سطح زیر منحنی رفتار غیرخطی تا نقطه (Δd و Vd) باشد. (Δd و Vd) روی منحنی ظرفیت سازه در تغییرمکان هدف یا در تغییرمکان نظیر برش پایه حداکثر، هر کدام که کمتر باشد، قرار دارد.

خط سوم نماینده شیب منفی بعد از افت مقاومت است که از نقطه انتهای شیب مثبت در منحنی ظرفیت (Δd و Vd) و نقطه‌ای که در آن برش پایه به 60٪ پایه جاری شدن مؤثر سازه نزول می‌کند، می‌گذرد.

چندخطی کردن منحنی ظرفیت

شکل پ 2-1 چندخطی کردن منحنی ظرفیت

8-3 زمان تناوب اصلی مؤثر ساختمان

زمان تناوب اصلی مؤثر ساختمان، Te با رابطه زیر محاسبه می‌شود:

  زمان تناوب اصلی مؤثر ساختمان

که در آن Ti (بر حسب ثانیه) زمان تناوب اصلی ارتجاعی است، که با تحلیل مدل سازه با فرض رفتار خطی به دست می‌آید، Ki سختی جانبی ارتجاعی سازه ( شیب خط مماس بر منحنی ظرفیت سازه در مبدأ) در جهت موردنظر و Keسختی جانبی مؤثر سازه در جهت موردنظر می‌باشد (شکل پ-2-1).

9-3 ضریب اضافه مقاومت

ضریب اضافه مقاومت برابر نسبت برش پایه در هنگام تشکیل سازوکار خمیری کلی در سازه به برش پایه در هنگام تشکیل اولین مفصل پلاستیک می‌باشد. در روش تحلیل استاتیکی غیرخطی، برش پایه در هنگام تشکیل سازوکار خمیری کلی برابر برش پایه جاری شدن مؤثر سازه Vy فرض می‌شود. در این روش برای تعیین ضریب اضافه مقاومت، باید کمترین ضریب حاصل از دو توزیع بار جانبی، اختیار شود.

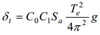
10-3 تغییرمکان هدف

مقدار تغییرمکان هدف در نقطه کنترل باید با استفاده از روش‌های معتبر محاسبه شود. این مقدار را می‌توان از رابطه زیر محاسبه نمود.

  تغییرمکان هدف

که در آن Teزمان تناوب اصلی مؤثر ساختمان برای امتداد موردنظر، g شتاب ثقل و Sa شتاب طیفی در زمان تناوب اصلی مؤثر است.

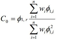
ضریب C0 با رابطه زیر محاسبه می‌شود:

  ضریب C0

که در آن wi و Ø1,i به ترتیب وزن مؤثر لرزه‌ای و مؤلفه بردار شکل مد اول در تراز i می‌باشند. Ø1,rنیز مؤلفه بردار شکل مد اول در تراز نقطه کنترل می‌باشد.

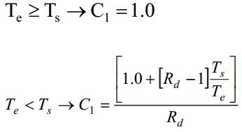
ضریب C1 از روابط زیر محاسبه می‌شود:

  ضریب C1

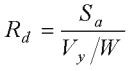
در این رابطه Ts پارامتر نوع زمین است که از جدول (2-3) در فصل 2 این استاندارد به دست می‌آید و Rd نسبت مقاومت است که از رابطه زیر محاسبه می‌شود.

  نسبت مقاومت

در این رابطه Sa شتاب طیفی به ازای زمان تناوب اصلی مؤثر Te و W وزن مؤثر لرزه‌ای است. مقدار شتاب طیفی برای زلزله طرح برابر ABI برطبق فصل 2 این استاندارد است.

11-3 اثر پیچش

در مورد ساختمان‌های «انعطاف‌پذیر پیچشی» که پیچش در مود اول یا دوم آن‌ها حاکم باشد، الگوهای متداول تحلیل استاتیکی غیرخطی می‌توانند موجب تخمین کمتر از واقع تغییرمکان‌ها در سمت سخت (مقاوم) ساختمان گردند. در مورد چنین ساختمان‌هایی تغییرمکان‌های سمت سخت (مقاوم) آن‌ها باید در مقایسه با ساختمان‌های متعادل پیچشی افزایش یابد. درصورتی که از ضریب بزرگنمایی برای تغییرمکان‌های سمت سخت (مقاوم) استفاده گردد ، شرایط مورد نظر این بند را می‌توان اقناع شده فرض نمود. این ضریب بزرگنمایی می‌تواند از تحلیل خطی دینامیکی طیفی مدل سه بعدی ساختمان به دست آید.

12-3 معیارهای پذیرش

1-12-3 طراحی سازه باید به نحوی انجام شده باشد که مقاومت سازه در نقطه رسیدن به تغییرمکانی معادل 125 درصد تغییرمکان هدف، کمتر از برش پایه جاری شدن مؤثر سازه Vy نباشد.

2-12-3 حداکثر تغییرمکان نسبی سازه در تغییرمکان هدف نباید بیشتر از 120٪ مقادیر مجاز معرفی شده در بند (2-5-3) این استاندارد باشد.

3-12-3 کنترل مقاومت اعضا در خصوص تلاش‌های کنترل شونده توسط تغییرشکل، با توجه به بازتاب‌های حاصل از تحلیل ضروری نیست. در مورد آن دسته از تلاش‌ها که کنترل آن‌ها با توجه به ضرایب اضافه مقاومت در روش‌های تحلیل خطی ضروری است، مقادیر تلاش‌های حاصل از تحلیل غیرخطی در تغییرمکان هدف را باید بدون ضرب کردن در ضریب اضافه مقاومت مورد استفاده قرار داد. در صورتی که این تلاش‌ها از ظرفیت کرانه پایین آن‌ها بیشتر نباشد، قابل قبول تلقی می‌گردد.

4-12-3 ارزیابی کفایت ظرفیت اعضا و اتصالات در تحمل تغییرشکل‌ها و نیروهای نیاز لرزه‌ای بر اساس نتایج مطالعات آزمایشگاهی برای مدل‌های مشابه آن اعضا و اتصالات انجام گردد. تغییرشکل عضوی که وظیفه تحمل بار ثقلی را دارد نباید بیشتر از هر یک از مقادیر زیر باشد: الف) دو سوم تغییرشکلی که در آن عضو ظرفیت باربری ثقلی را از دست می‌دهد، وب) دو سوم تغییرشکلی که در آن مقاومت عضو به کمتر از 70 درصد مقاومت حداکثر آن افت می‌کند. در مورد تغییرشکل عضوی که وظیفه باربری ثقلی ندارد کافیست شرط (ب) برآورده شود. به جای انجام مطالعات آزمایشگاهی می‌توان از روابط معیار پذیرش ایمنی جانی در نشریه 360 معاونت برنامه‌ریزی و نظارت راهبردی نیز برای تعیین ظرفیت تغییرشکل اعضا استفاده نمود.

13-3 اگر ضریب Rd از مقدار ضریب رفتار سازه تقسیم بر ضریب اضافه مقاومت سازه بیشتر باشد، سازه طراحی شده باید به تأیید شخص حقیقی یا حقوقی مستقل باصلاحیت رسانده شود. در این بررسی، موارد زیر باید مورد توجه قرار گیرد.

الف- سازگاری مشخصات سازه با داده‌های به کار برده شده در مدل تحلیلی،

ب- سازگاری ظرفیت‌های اعضای سازه با نتایج به دست آمده از تحلیل.

4- تحلیل تاریخچه زمانی غیرخطی

1-4 در این روش، تحلیل دینامیکی سازه با اثر دادن شتاب زمین به صورت تابعی از زمان در تراز پایه و محاسبه پاسخ مدل ریاضی سازه که در برگیرنده رفتار فرا ارتجاعی آن است، انجام می‌شود. مدل مذکور عمدتاً باید با توجه به ضوابط بندهای 1 و 2 پیوست حاضر تهیه شده باشد. در این مدل تکیه‌گاه سازه می‌تواند صلب فرض شود. استفاده از فرض‌های مناسب در خصوص سختی و ظرفیت باربری پی با توجه به ویژگی‌های خاک و در نظر گرفتن تکیه‌گاه انعطاف‌پذیر برای سازه نیز مجاز است.

2-4 شتاب‌نگاشت‌هایی که در تعیین اثر حرکت زمین مورد استفاده قرار می‌گیرند باید تا حد امکان نمایانگر حرکت واقعی زمین در محل احداث بنا، در هنگام وقوع زلزله، باشند. برای نیل به این هدف لازم است حداقل سه زوج شتاب‌نگاشت متعلق به مؤلفه‌های افقی سه زلزله مختلف ثبت شده که دارای ویژگی‌های مذکور در بند ( 2-5-3-1) این استاندارد باشند، انتخاب گردند. در مواردی که تعداد مورد نیاز از زوج شتاب‌نگاشت‌های مناسب ثبت شده در دسترس نباشد، می‌توان از زوج شتاب‌نگاشت‌های شبیه‌سازی شده مناسب برای تکمیل تعداد آن‌ها استفاده کرد. زوج شتاب‌نگاشت‌های انتخاب شده باید به روش مذکور در بند (2-5-3-2) این استاندارد به مقیاس در آورده شوند. لیکن در این محاسبات، طیف طرح باید طیف طرح استاندارد تعریف شده در بند ( 2-4-1-2) بدون اعمال عکس ضریب رفتار (1/Ru) در نظر گرفته شود.

3-4 ترکیب اثر زلزله با بارهای ثقلی

در این تحلیل، اثر زلزله در دو امتداد افقی با استفاده از زوج شتاب‌نگاشت‌ها اعمال می‌شود. ضمناً لازم است در هنگام اثر زلزله بارهای ثقلی نیز مطابق بند 1 این پیوست به مدل سازه اعمال شود. اثر P-Δ نیز در انجام این تحلیل باید در نظر گرفته شود.

تبصره: در مورد ساختمان‌های منظمی که دارای یک یا چند ستون مشترک بین دو یا چند قاب سیستم باربر جانبی در جهات مختلف نباشند، می‌توان تحلیل را در هر امتداد اصلی افقی به طور مستقل انجام داد. در این حالت شتاب‌نگاشت‌های انتخاب شده باید شرایط مذکور در بند (4-2) را دارا باشند، لیکن در مقیاس نمودن آن‌ها دیگر نیازی به تهیه طیف جذر مجموع مربعات زوج مؤلفه‌ها نبوده و شتاب‌نگاشت‌های انتخابی باید با مقایسه طیف پاسخ آن‌ها با طیف طرح مقیاس شوند.

4-4 پارامترهای بازتاب سازه

در تحلیل تاریخچه زمانی بازتاب نهایی سازه شامل تلاش‌های ایجاد شده در اعضا، تغییرشکل اعضا و تغییرمکان جانبی نسبی طبقات در هر لحظه برابر با حداکثر بازتاب‌های به دست آمده از تحلیل با سه زوج شتاب‌نگاشت اعمالی به سازه می‌باشد. در این روش تحلیل، در صورت استفاده از حداقل هفت زوج شتاب‌نگاشت می‌توان مقدار متوسط بازتابهای به دست آمده از آن‌ها را به عنوان بازتاب نهایی تلقی کرد.

1-4-4 مقاومت اعضا

در این روش کنترل مقاومت اعضا در خصوص تلاش‌های کنترل شونده توسط تغییرشکل، با توجه به بازتاب‌های حاصل از تحلیل ضروری نیست. در مورد آن دسته از تلاش‌ها که کنترل آن‌ها با توجه به ضرایب اضافه مقاومت در روش‌های تحلیل خطی ضروری است، مقادیر تلاش‌های حاصل از تحلیل غیرخطی را باید بدون ضرب کردن در ضریب اضافه مقاومت مورد استفاده قرار داد. در صورتی که این تلاش‌ها از ظرفیت کرانه پایین آن‌ها بیشتر نباشد، قابل قبول تلقی می‌گردد.

2-4-4 تغییرشکل اعضا

ارزیابی کفایت ظرفیت اعضا و اتصالات در تحمل تغییرشکل‌ها و نیروهای نیاز لرزه‌ای بر اساس نتایج مطالعات آزمایشگاهی برای مدل‌های مشابه آن اعضا و اتصالات انجام گردد. تغییرشکل عضوی که وظیفه تحمل بار ثقلی را دارد، نباید بیشتر از هر یک از مقادیر زیر باشد: الف) دو سوم تغییرشکلی که در آن عضو ظرفیت باربری ثقلی را از دست می‌دهد، و ب) دو سوم تغییرشکلی که در آن مقاومت عضو به کمتر از 70 درصد مقاومت حداکثر آن افت می‌کند. در مورد تغییرشکل عضوی که وظیفه باربری ثقلی ندارد، کافیست شرط (ب) برآورده شود. به جای انجام مطالعات آزمایشگاهی می‌توان از روابط معیار پذیرش ایمنی جانی در نشریه 360 معاونت برنامه‌ریزی و نظارت راهبردی برای تعیین ظرفیت تغییرشکل اعضا استفاده نمود.

3-4-4 تغییرمکان جانبی نسبی طبقات

تغییرمکان جانبی نسبی طبقات حاصل از تحلیل غیرخطی نباید از 120٪ مقدار مجاز معرفی شده در بند (2-5-3) این استاندارد تجاوز نماید.

5-4 سازه طراحی شده بر اساس تحلیل تاریخچه زمانی غیرخطی باید به تأیید شخص حقیقی یا حقوقی مستقل باصلاحیت رسانده شود. در این بررسی، موارد زیر باید مورد توجه قرار گیرد.

الف- شتابنگاشت‌های به کار گرفته شده در تحلیل،

ب- سازگاری مشخصات سازه با داده‌های به کار برده شده در مدل تحلیلی،

پ- سازگاری ظرفیت‌های اعضای سازه با نتایج به دست آمده از تحلیل.

مشخصات آیین‌نامه

تعداد فصول: 15 فصل
سال انتشار: 1393
ویرایش: چهارم

جستجو در آیین‌نامه‌ها

ناشرین آیین‌نامه‌ها

مقررات ملی ساختمان

قوانین، آیین‌نامه‌ها، شیوه‌نامه‌ها، دستورالعمل‌ها و بخشنامه‌های ساختمان

نظام مهندسی ساختمان

ضوابط، بخشنامه‌ها، نشریه‌ها و معیار‌های فنی نظام مهندسی ساختمان

مرکز تحقیقات راه، مسکن و شهرسازی

قوانین، آیین‌نامه‌ها و بخشنامه‌های مرکز تحقیقات راه، مسکن و شهرسازی

سازمان برنامه و بودجه کشور

ضوابط، بخشنامه‌ها و قوانین سازمان برنامه و بودجه کشور

سازمان ملی استاندارد ایران

استانداردهای کمیته‌های مختلف سازمان ملی استاندارد ایران

سازمان تامین اجتماعی کشور

مقررات و آیین‌نامه‌های درمانی و بیمه‌ای سازمان تامین اجتماعی کشور

ضوابط فنی و اجرایی شهرداری‌ها

ضوابط، بخشنامه‌ها، نشریه‌ها و معیار‌های فنی شهرداری‌های کشور

ضوابط فنی و اجرایی وزارت بهداشت

ضوابط، بخشنامه‌ها، نشریه‌ها و معیار‌های فنی وزارت بهداشت

ضوابط فنی و اجرایی وزارت نیرو-آبفا

ضوابط، بخشنامه‌ها، نشریه‌ها و معیار‌های فنی وزارت نیرو-آبفا

ضوابط سازمان بنادر و دریانوردی

ضوابط، بخشنامه‌ها، نشریه‌ها و معیار‌های فنی سازمان بنادر و دریانوردی

ضوابط فنی و اجرایی وزارت نفت

ضوابط، بخشنامه‌ها، نشریه‌ها و معیار‌های فنی وزارت نفت

قوانین و مقررات مالیاتی کشور

قوانین، مقررات، ضوابط و دستورالعمل‌هاى مالیاتى سازمان مالیات كشور

تازه‌ترین فصل‌ها

واژه‌نامه

مبحث هفدهم مقررات ملی ساختمان (سامانه گاز طبیعی در ساختمان)

پیوست ۶ دسته‌بندی نوع دستگاه‌‌‌های گازسوز

مبحث هفدهم مقررات ملی ساختمان (سامانه گاز طبیعی در ساختمان)

پیوست 5 شکل‌ها

مبحث هفدهم مقررات ملی ساختمان (سامانه گاز طبیعی در ساختمان)

پیوست 4 جدول‌ها

مبحث هفدهم مقررات ملی ساختمان (سامانه گاز طبیعی در ساختمان)

پیوست 3 ایمنی و ضوابط بهره‌برداری و نگهداری از سیستم لوله‌‌کشی گاز

مبحث هفدهم مقررات ملی ساختمان (سامانه گاز طبیعی در ساختمان)

پیوست 2 نمونه محاسبات

مبحث هفدهم مقررات ملی ساختمان (سامانه گاز طبیعی در ساختمان)

پیوست 1 راهنمای ایمنی

مبحث هفدهم مقررات ملی ساختمان (سامانه گاز طبیعی در ساختمان)