آیین‌نامه‌ها

صفحه اصلی / آیین‌نامه‌ها / آیین‌نامه طراحی ساختمان‌ها در برابر زلزله (استاندارد 2800)
فصل چهارم – ضوابط طراحی لرزه‌ای اجزای غیرسازه‌ای

فصل چهارم – ضوابط طراحی لرزه‌ای اجزای غیرسازه‌ای

1-4 کلیات
1-1-4 تعریف

اجزای غیرسازه‌ای در ساختمان‌ها به اجزایی اطلاق می‌شود که به سازه اصلی متکی‌اند ولی در تحمل بار جانبی زلزله به آن کمک نمی‌کنند. اجزای معماری مانند دیوارها، نماها و سقف‌های کاذب و نیز تأسیسات مکانیکی و برقی همراه با نگهدارنده‌ها و ادوات اتصال آن‌ها جزو این گروه محسوب می‌شوند.

2-1-4 محدوده کاربرد

ضوابط این فصل کلیه ساختمان‌های با اهمیت خیلی زیاد، زیاد و ساختمان‌های با اهمیت متوسط با تعداد طبقات هشت و بیشتر، بجز موارد عنوان شده در زیر، را شامل می‌شود:

الف- اجزای غیرسازه‌ای با وزن بیشتر از 25 درصد وزن مؤثر لرزه‌ای کل سازه (وزن اجزای غیرسازه‌ای و سازه نگهدارنده). این اجزاء در گروه سازه‌های غیرساختمانی قرار می‌گیرند و مشمول ضوابط فصل پنجم آیین‌نامه می‌گردند.

ب- اجزای مکانیکی و برقی با شرایط زیر:

– جزء در گروه اهمیت جزء 1.0= Ip موضوع بند (4-1-3)، قرار داشته باشد

– اتصالات بین جزء و ملحقات آن انعطاف‌پذیر باشد.

– وزن جزء کمتر از 10 کیلوگرم، و یا در مورد خطوط تأسیساتی، وزن آن کمتر از 10 کیلوگرم بر متر باشد. اگر ارتفاع جزء در کف طبقه استقرار کمتر از 1.2 متر باشد وزن آن می‌تواند تا 200 کیلوگرم افزایش داشته باشد.

تبصره: دیوارهای داخلی در ساختمان‌های با تعداد طبقات کمتر از هشت، مشمول ضوابط فصل هفتم آیین‌نامه می‌گردند.

3-1-4 ضریب اهمیت جزء

اجزای غیرسازه‌ای برحسب میزان آسیب‌رسانی ناشی از خرابی آن‌ها به دو گروه تقسیم و در تعیین نیروی جانبی زلزله برای هر یک "ضریب اهمیت جزء Ip" خاص در نظر گرفته می‌شود. این ضریب برای اجزاء زیر برابر با 1.4 و برای سایر اجزا برابر 1.0 می‌باشد:

الف – جزء در داخل و یا متکی به سازه با اهمیت خیلی زیاد بوده و حفظ آن برای خدمت‌رسانی بی‌وقفه سازه لازم باشد.

ب- محتوای جزء مواد خطرزا با امکان ایجاد مسمومیت زیاد و یا انفجار باشد.

پ- خدمت‌رسانی جزء برای تأمین عملکرد ایمنی جانی پس از زلزله لازم باشد، مانند سیستم اطفای حریق و پلکان فرار

2-4 نیروی زلزله
1-2-4 نیروی جانبی زلزله

نیروی جانبی مؤثر بر اجزای غیرسازه‌ای را می‌توان با استفاده از روش تحلیل استاتیکی معادل، طبق بند (4-2-1-1) و یا روش تحلیل طیفی طبق بند (4-2-1-2) محاسبه نمود. در محاسبه نیروی جانبی ضریب نامعینی ρ و ضریب اضافه مقاومت Ω0 مربوط به سازه اصلی برابر با 1.0 منظور می‌شوند.

1-1-2-4 روش تحلیل استاتیکی معادل

در این روش نیروی جانبی زلزله طبق رابطه (4-1) محاسبه شده و بر مرکز جرم جزء اثر داده می‌شود. توزیع این نیرو بین بخش‌های مختلف جزء به نسبت جرم آنهاست.

(1-4) نيروي جانبی زلزله در حد مقاومت

در این رابطه:

Vpu= نیروی جانبی زلزله در حد مقاومت. برای تعیین این نیرو در حد تنش‌های مجاز باید این مقدار به 1.4 تقسیم شود.

A= شتاب پایه، طبق بند 2-2

1+S = ضریب شتاب طیفی طبق بند (2-3-1)

ap = ضریب بزرگنمایی جزء طبق جدول (4-1) یا (4-2)

Ip= ضریب اهمیت جزء طبق بند (4-1-3)

Wp = وزن جزء سازه‌ای همراه با محتویات آن در زمان بهره‌برداری

Rpu= ضریب رفتار جزء طبق جدول (4-1) یا (4-2).

Z= ارتفاع مرکز جرم جزء از تراز پایه. مقدار Z لازم نیست بیشتر از H در نظر گرفته شود.

H= ارتفاع متوسط بام ساختمان از تراز پایه

مقدار Vpu در هیچ حالت نباید کمتر از مقدار زیر در نظر گرفته شود.

(2-4) حداقل مقدار Vpu

هم‌چنین مقدار Vpu لزومی ندارد بیشتر از مقدار زیر در نظر گرفته شود.

(3-4) حداکثر مقدار Vpu
2-1-2-4 روش تحلیل طیفی

در این روش نیروی جانبی زلزله طبق رابطه (4-4) محاسبه شده و بین بخش‌های مختلف آن به نسبت وزن آن‌ها توزیع می‌گردد.

(4-4) نیروی جانبی زلزله در روش تحلیل طیفی

در این رابطه:

ai = شتاب در تراز "i " حاصل از تحلیل طیفی سازه با فرض ضریب رفتار و ضریب اهمیت برابر با 1.0 برای سازه اصلی است. تراز i ترازی است که جزء غیرسازه‌ای در آن واقع است.

Aj = ضریب بزرگنمایی پیچشی، طبق بند (3-3-7-3)

در این روش حداقل و حداکثر مقدار Vpu مطابق بند (4-2-1-1) تعیین می‌شود.

2-2-4 مؤلفه قائم نیروی زلزله

مؤلفه قائم نیروی زلزله از رابطه (4-5) تعیین می‌شود. این مؤلفه باید همزمان با نیروی جانبی به جزء اثر داده شده و در ترکیب‌های بارگذاری‌های مختلف به کار برده شود.

(5-4) مؤلفه قائم نیروی زلزله
3-4 تغییر مکان جانبی

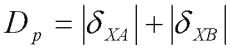
اجزای غیرسازه‌ای که در دو یا چند نقطه به سازه متکی هستند، باید قادر به پذیرش تغییرمکان‌های نسبی بین این نقاط باشند. تغییرمکان نسبی، Dp، بین دو نقطه A و B با استفاده از ضوابط زیر تعیین می‌شود:

الف – دونقطه بر روی یک سازه قرار دارند:

(6-4) تغییرمکان جانبی وقتی دونقطه بر روی یک سازه قرار دارند

در مواردی که از روش تحلیل طیفی برای تعیین اثر زلزله در سازه استفاده می‌شود، مقدار Dباید برای هر مود محاسبه و نتایج به صورت آماری ترکیب گردند.

مقدار Dp لزومی ندارد بیشتر از مقدار زیر در نظر گرفته شود.

(7-4) حداکثر تغییرمکان جانبی وقتی دو نقطه بر روی یک سازه قرار دارند

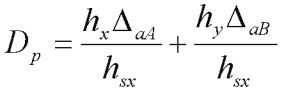
ب- دو نقطه بر روی دو سازه قرار دارند:

(8-4) تغییرمکان جانبی وقتی دونقطه بر روی دو سازه قرار دارند

مقدار Dp از این رابطه لازم نیست بیشتر از مقدار رابطه (4-9) در نظر گرفته شود:

(9-4) حداکثر تغییرمکان جانبی وقتی دو نقطه بر روی دو سازه قرار دارند

که در آن:

Dp= تغییرمکان نسبی جانبی زلزله که جزء باید برای پذیرش آن طراحی شود.

δxA = تغییرمکان جانبی غیرخطی ساختمان در تراز x سازه A

δyA = تغییرمکان جانبی غیرخطی ساختمان در تراز Y سازه A

δxB = تغییرمکان جانبی غیرخطی ساختمان در تراز y سازه B

hx = ارتفاع تراز x (مربوط به اتصال بالایی)

hy = ارتفاع تراز y (مربوط به اتصال پایینی)

ΔaA = تغیرمکان جانبی نسبی مجاز طبقه برای سازه A

ΔaB = تغییرمکان جانبی نسبی مجاز طبقه برای سازه B

hsx = ارتفاع طبقه به کار رفته در تعریف تغییرمکان جانبی نسبی مجاز طبقه

4-4 مهار اجزای غیرسازه ای

1-4-4 اجزای غیرسازه‌ای و تکیه‌گاه‌های آن‌ها باید به گونه‌ای به سازه مهار شوند که بتوانند نیروهای جزء غیرسازه‌ای را به سازه منتقل کنند و تغییرشکل‌های ایجاد شده در آن‌ها را پذیرا باشند. مسیر انتقال بار در این اجزا باید دارای مقاومت و سختی کافی بوده و محل اتصال به سازه توانایی تحمل اثر موضعی بارها را داشته باشد. استفاده از اتصالات جوشی یا پیچی و نظایر آن‌ها مجاز است ولی نباید از مقاومت اصطکاکی ناشی از بارهای ثقلی استفاده شود.

نیروهای ایجاد شده در تکیه‌گاه‌ها و اتصالات آن‌ها برابر با نیروهای خود اجزا هستند. تنها در مواردی که Rpu بزرگ‌تر از 6.0 می‌باشد باید مقدار آن به 6.0 کاهش داده شود.

2-4-4 مهار اتصالات اجزای غیرسازه‌ای در اعضای فولادی، بتن‌آرمه و مصالح بنایی باید طبق ضوابط آیین‌نامه‌های طراحی صورت گیرد و در مواردی که دستورالعمل مشخصی ارائه نشده با انجام دادن آزمایش‌های مناسبی از کافی بودن مقاومت مهارها و نیز ظرفیت تغییرشکل‌پذیری آن‌ها اطمینان حاصل شود.

5-4 ضوابط خاص اجزای معماری
1-5-4 کلیات

کلیه اجزای معماری، نگهدارنده‌ها و اتصالات آن‌ها باید ضوابط این بند را رعایت کنند، مگر اینکه با زنجیر یا وسیله دیگری به سازه آویزان بوده و شرایط زیر را دارا باشند:

الف- وسیله نگهدارنده جزء قادر به تحمل وزن 1.4Wp همزمان با بارجانبی برابر با همین مقدار در هر جهت باشد.

ب- امکان حرکت اتصال جزء در صفحه افقی به اندازه 360 درجه باشد.

جدول 4-1 ضرایب اجزای معماری

جزء معماری ap Rpu
1- دیوار غیرسازه‌ای داخلی و تیغه
– دیوار غیرمسلح مصالح بنایی
– انواع دیگر دیوار و تیغه

1
1

1.5
1.5
2- اجزای طرهای نظیر جان‌پناه، دیوار غیرسازه‌ای و دودکش که مهار نشده یا در محلی پایین‌تر از مرکز ثقل جزء مهار شده باشد. 2.5 2.5
3- اجزای طره‌ای نظیر جان‌پناه، دودکش و دیوار غیرسازه‌ای که در محلی بالاتر از مرکز ثقل جزء مهار شده باشند. 1 2.5
4- دیوار خارجی غیرسازه‌ای و اتصالات آن
– دیوار و اتصال آن
– بست‌های سیستم اتصال

1
1.25

2.5
1
5- پوشش نما
– اجزای با شکل‌پذیری متوسط و اتصالات آن‌ها
– اجزای با شکل‌پذیری کم و اتصالات آن‌ها

1
1

2.5
1.5
6- خرپشته (به استثنای حالتی که این بخش به صورت یکپارچه با سازه ساختمان ساخته شده باشد که در آن صورت باید همراه با سازه تحلیل و طراحی شود) 2.5 2.5
7- پله فراری که جزئی از سازه اصلی ساختمان نباشد 1 2.5
8- سقف کاذب 1 2.5
9- قفسه و کابینت 1 2.5
10- کف دسترسی 1 1.5
11- تابلو و نشان 2.5 2.5
12- سایر اجزای صلب (با انعطاف‌پذیری کم)
– اجزای با شکل‌پذیری زیاد و اتصالات آن‌ها
– اجزای با شکل‌پذیری متوسط و اتصالات آن‌ها
– اجزای با شکل‌پذیری کم و اتصالات آن‌ها

1
1
1

3.5
2.5
1.5
13- سایر اجزای انعطاف‌پذیر
– اجزای با شکل‌پذیری زیاد و اتصالات آن‌ها
– اجزای با شکل‌پذیری متوسط و اتصالات آن‌ها
– اجزای با شکل‌پذیری کم و اتصالات آن‌ها

2.5
2.5
2.5

3.5
2.5
1.5
2-5-4 نیروها و تغییرمکان‌ها

کلیه اجزای معماری، نگهدارنده‌ها و اتصالات آن‌ها باید برای نیروی عنوان شده در بند (4-2) طراحی شوند. طراحی برای تغییرمکان‌های بند (4-3) برای همه اجزا الزامی نیست، مگر آنکه احتمال خطر جانی در آن‌ها وجود داشته باشد. اجزایی که در زیر قطعات سازه‌ای طره‌ای قرار دارند باید قادر به تحمل تغییرمکان‌های قائم ناشی از چرخش تکیه‌گاهشان باشند.

3-5-4 دیوارهای خارجی

دیوارهای خارجی باید علاوه بر نیروها قادر به پذیرش تغییرمکان‌های نسبی مطابق بند (4-3) همراه با تغییرشکل‌های ناشی از دمای محیط باشند. این دیوارها یا باید مستقیماً توسط اعضای سازه‌ای نگهداری شوند و یا به وسیله اتصالاتی با شرایط زیر به سازه متصل گردند:

الف – اتصالات قطعات نما به سازه و هم‌چنین درز بین قطعات باید به گونه‌ای باشند که بتوانند تغییرمکان نسبی لرزه‌ای، Dp، طبق بند (4-3) یا 15 میلی‌متر، هر کدام که بزرگتر است، را پذیرا باشند.

ب- برای تأمین امکان حرکت جانبی نسبی بین دیوار و سازه باید از ادوات لغزشی مانند صفحات فولادی با سوراخ‌های لوبیایی و یا سوراخ‌های دایره‌ای با قطر بزرگ و یا صفحات فلزی خم شده که دارای مقاومت و شکل‌پذیری کافی هستند، استفاده نمود.

پ- کلیه وسایل نگهدارنده و اتصالات آن‌ها باید برای نیروهای بند (4-2) طراحی شوند. توجه شود که این نیروها در مرکز جرم جزء غیرسازه‌ای وارد می‌شود.

ت- در مواردی که اتصال دیوار به سازه توسط تسمه‌هایی در داخل بتن یا مصالح بنایی تأمین می‌شود، باید اطمینان حاصل کرد که این تسمه‌ها داخل بتن یا مصالح بنایی به طور کامل مهار می‌گردند. در این موارد مخصوصاً باید به قلوه کن شدن بتن یا مصالح بنایی توجه داشت.

ث- نماهایی که با دیوارها به طور چسبان اجرا می‌شوند، باید به نحو مناسبی در داخل دیوارها مهار شوند. در این موارد استفاده از ملات به تنهایی کافی نیست.

4-5-4 دیوارهای داخلی – تیغه‌ها

دیوارهای داخلی یا تیغه‌های با ارتفاع بیشتر از 1.8 متر باید به نحو مناسبی، مانند استفاده از وادارها و..، از نظر جانبی به سازه مهار شوند.

5-5-4 سقف‌های کاذب

نیروهای جانبی ایجاد شده در سقف‌های کاذب باید به نحو مناسبی به سقف سازه‌ای منتقل شوند. در این سقف‌ها رعایت الزامات زیر ضروری است:

الف- در سقف‌های کاذب با مساحت کمتر از 15 متر مربع، محاسبات مربوط به زلزله الزامی نیست.

ب- در سقف‌های کاذب با مساحت بیشتر از 100 متر مربع، حرکت جانبی سقف با کمک مهاربندی مناسب به سقف سازه‌ای محدود شود.

پ- در سقف‌های کاذب با مساحت بیشتر از 250 متر مربع، پیش‌بینی درزهای انقطاع لرزه‌ای و جداسازی سقف کاذب با اجرای دیوارهای داخلی تا زیر سقف سازه‌ای الزامی است، مگر آنکه با روش‌های تحلیلی بتوان نشان داد که سقف کاذب توان پذیرش جابجایی‌های لازم را دارد. در این موارد محدود کردن نسبت طول به عرض بخش‌های مختلف سقف کاذب به 4.0 الزامی است.

6-5-4 دیوارهای شیشه‌ای نماها

دیوارهای شیشه‌ای نماها باید به نحو مناسبی به سازه اصلی متصل شوند. در این دیوارها باید علاوه بر الزامات این فصل به لحاظ نیرو و تغییرمکان، جزئیات اجرایی توصیه شده توسط یک استاندارد معتبر و شناخته شده که در آن ملاحظات مربوط به زلزله مورد توجه بوده، رعایت شود. در این مورد می‌توان از نشریه "دستورالعمل مقاوم‌سازی اجزای غیرسازه‌ای ساختمان‌ها" به شماره ض- 628 چاپ سال 1391 مرکز تحقیقات راه، مسکن و شهرسازی نیز استفاده نمود.

6-4 ضوابط خاص اجزای مکانیکی و برقی

ضوابط خاص اجزای مکانیکی و برقی به یک دستورالعمل ویژه نیاز دارد که باید تهیه و تنظیم گردد. تا زمانی که این دستورالعمل تدوین نشده، این ضوابط را می‌توان، با استفاده از یک استاندارد معتبر شناخته شده تعیین نمود. در این ارتباط نشریه عنوان شده در بند (4-5-6) می‌تواند مورد استفاده قرار گیرد.

جدول 4-2 ضرایب لرزه‌ای برای تجهیزات مکانیکی و برقی

نام تجهیزات ap Rpu
الف – تجهیزات برقی و مکانیکی
هواکش، واحدهای تهویه مطبوع، گرم کننده‌ها و جعبه‌های تقسیم هوا، سایر تجهیزات مکانیکی ساخته شده از ورق‌های فلزی

2.5

6
واحدهای تهویه مطبوع آبی، دیگ بخار، کوره، تانکر و مخزن فشار آتمسفری، چیلر، سیستم گرم کننده آب، مبدل حرارتی و تجهیزاتی که از مواد با قابلیت تغییرشکل زیاد ساخته شده‌اند 1 2.5
موتور، توربین، پمپ و کمپورسور و مخزن تحت فشار که فاقد پایه‌های پیرامونی بوده و مستقیماً توسط شاسی به کف متصل شود. 1 2.5
مخزن تحت فشاری که بر روی پایه‌های پیرامونی نصب شده باشد. 2.5 2.5
آسانسور و پله برقی 1 2.5
ژنراتور، باتری، موتور، مبدل و سایر تجهیزات برقی که از مواد با قابلیت تغییرشکل زیاد ساخته شده باشد. 1 2.5
تابلو برق، مراکز کنترل موتور، و سایر تجهیزات برقی که از ورق‌های فلزی ساخته شده باشد. 2.5 6
تجهیزات مخابراتی، رایانه و سیستم‌های کنترل و ابزار دقیق 1 2.5
دودکش، برج خنک کننده و دکل نصب شده بر روی بام که در ترازی پایین‌تر از مرکز ثقل به طور جانبی مهار شده باشد. 2.5 3
تجهیزات ذکر شده در ردیف فوق در حالتی که در ترازی بالاتر از مرکز ثقل خود به طور جانبی مهار شده باشد. 1 2.5
سایر تجهیزات مکانیکی و برقی 1 1.5
ب- سیستم و اجزای متکی بر انواع جداساز لرزه‌ای 2.5 2
ج- سیستم‌های توزیع
سیستم لوله‌کشی از مواد با قابلیت تغییرشکل زیاد که دارای اتصالات جوشی و یا لحیم‌کاری باشد.
سیستم لوله‌کشی که با استفاده از مواد دارای قابلیت تغییرشکل متوسط یا زیاد و با استفاده از اتصالات رزوه‌ای، چسبی، کوپلینگ فشاری یا شیاری یا نظایر آن ساخته شده باشد.
سیستم لوله‌کشی که از مواد با قابلیت تغییرشکل کم نظیر چدن یا شیشه یا مواد پلاستیکی شکننده ساخته شده باشد.
کانال‌هایی که با استفاده از مواد با قابلیت تغییرشکل زیاد و اتصالات جوشی یا لحیم‌کاری ساخته شده باشد.
کانال‌هایی که با استفاده از مواد با قابلیت تغییرشکل زیاد یا متوسط و اتصالاتی غیراز جوشی یا لحیم ساخته شده باشد.
کانال‌هایی که از مواد با قابلیت تغییرشکل کم نظیر چدن یا شیشه یا مواد پلاستیکی شکننده ساخته شده باشند.
لوله‌کشی سیستم برقی، سینی کابل
بأس داکت
لوله‌کشی فاضلاب
نقاله‌های خط تولید غیرآدم رو

2.5
2.5
 
2.5
2.5
2.5
2.5
2.5
1
1
2.5

6
4.5
 
3
6
4
3
6
2.5
2.5
3

مشخصات آیین‌نامه

تعداد فصول: 15 فصل
سال انتشار: 1393
ویرایش: چهارم

جستجو در آیین‌نامه‌ها

ناشرین آیین‌نامه‌ها

مقررات ملی ساختمان

قوانین، آیین‌نامه‌ها، شیوه‌نامه‌ها، دستورالعمل‌ها و بخشنامه‌های ساختمان

نظام مهندسی ساختمان

ضوابط، بخشنامه‌ها، نشریه‌ها و معیار‌های فنی نظام مهندسی ساختمان

مرکز تحقیقات راه، مسکن و شهرسازی

قوانین، آیین‌نامه‌ها و بخشنامه‌های مرکز تحقیقات راه، مسکن و شهرسازی

سازمان برنامه و بودجه کشور

ضوابط، بخشنامه‌ها و قوانین سازمان برنامه و بودجه کشور

سازمان ملی استاندارد ایران

استانداردهای کمیته‌های مختلف سازمان ملی استاندارد ایران

سازمان تامین اجتماعی کشور

مقررات و آیین‌نامه‌های درمانی و بیمه‌ای سازمان تامین اجتماعی کشور

ضوابط فنی و اجرایی شهرداری‌ها

ضوابط، بخشنامه‌ها، نشریه‌ها و معیار‌های فنی شهرداری‌های کشور

ضوابط فنی و اجرایی وزارت بهداشت

ضوابط، بخشنامه‌ها، نشریه‌ها و معیار‌های فنی وزارت بهداشت

ضوابط فنی و اجرایی وزارت نیرو-آبفا

ضوابط، بخشنامه‌ها، نشریه‌ها و معیار‌های فنی وزارت نیرو-آبفا

ضوابط سازمان بنادر و دریانوردی

ضوابط، بخشنامه‌ها، نشریه‌ها و معیار‌های فنی سازمان بنادر و دریانوردی

ضوابط فنی و اجرایی وزارت نفت

ضوابط، بخشنامه‌ها، نشریه‌ها و معیار‌های فنی وزارت نفت

قوانین و مقررات مالیاتی کشور

قوانین، مقررات، ضوابط و دستورالعمل‌هاى مالیاتى سازمان مالیات كشور

تازه‌ترین فصل‌ها

واژه‌نامه

مبحث هفدهم مقررات ملی ساختمان (سامانه گاز طبیعی در ساختمان)

پیوست ۶ دسته‌بندی نوع دستگاه‌‌‌های گازسوز

مبحث هفدهم مقررات ملی ساختمان (سامانه گاز طبیعی در ساختمان)

پیوست 5 شکل‌ها

مبحث هفدهم مقررات ملی ساختمان (سامانه گاز طبیعی در ساختمان)

پیوست 4 جدول‌ها

مبحث هفدهم مقررات ملی ساختمان (سامانه گاز طبیعی در ساختمان)

پیوست 3 ایمنی و ضوابط بهره‌برداری و نگهداری از سیستم لوله‌‌کشی گاز

مبحث هفدهم مقررات ملی ساختمان (سامانه گاز طبیعی در ساختمان)

پیوست 2 نمونه محاسبات

مبحث هفدهم مقررات ملی ساختمان (سامانه گاز طبیعی در ساختمان)

پیوست 1 راهنمای ایمنی

مبحث هفدهم مقررات ملی ساختمان (سامانه گاز طبیعی در ساختمان)