آیین‌نامه‌ها

صفحه اصلی / آیین‌نامه‌ها / آیین‌نامه طراحی ساختمان‌ها در برابر زلزله (استاندارد 2800)
فصل سوم - ضوابط طراحی لرزه‌ای سازه‌های ساختمانی

فصل سوم - ضوابط طراحی لرزه‌ای سازه‌های ساختمانی

1-3 ملاحظات کلی

1-1-3 کلیه ساختمان‌های موضوع این آیین‌نامه، بجز آن دسته از ساختمان‌های با مصالح بنایی که مقررات مندرج در فصل هفتم در آن‌ها رعایت شده باشد، باید بر طبق ضوابط مندرج در این فصل محاسبه گردند.

2-1-3 محاسبه ساختمان در برابر نیروهای زلزله و باد به تفکیک انجام می‌شود و در هر عضو سازه اثر هر یک که بیشتر باشد، ملاک عمل قرار می‌گیرد. ولی رعایت ضوابط ویژه طراحی برای زلزله، مطابق نیاز سیستم سازه در کلیه اعضاء الزامی است.

3-1-3 بجز مؤلفه‌های افقی نیروی زلزله که برای محاسبه ساختمان در نظر گرفته می‌شود، اثر مؤلفه قائم نیروی زلزله نیز در مواردی که در بند (3-3-9) ذکر شده است، باید منظور گردد.

4-1-3 ساختمان باید در دو امتداد عمود بر هم در برابر نیروی زلزله محاسبه شود. به طور کلی می‌توان محاسبه در هر یک از این دو امتداد را جز در موارد زیر به طور مجزا و بدون در نظر گرفتن نیروی زلزله در امتداد دیگر انجام داد.

الف- ساختمان‌های نامنظم در پلان

ب- کلیه ستون‌هایی که در محل تقاطع دو و یا چند سیستم مقاوم باربر جانبی قرار دارند. در این موارد چنانچه بار محوری ناشی از اثر زلزله در ستون، در هریک از دو امتداد مورد نظر، کمتر از 20 درصد ظرفیت بار محوری ستون باشد، این ضابطه را می‌توان نادیده گرفت.

در موارد فوق امتداد نیروی زلزله باید با زاویه مناسبی که حتی المقدور بیشترین اثر را ایجاد می‌کند، انتخاب شود و یا می‌توان صددر صد نیروی زلزله هر امتداد را با 30 درصد نیروی زلزله در امتداد عمود بر آن را ترکیب کرد. در این موارد منظور کردن برون مرکزی اتفاقی، موضوع بند (3-3-7)، در امتدادی که 30 درصد نیرو اعمال می‌شود، الزامی نیست.

5-1-3 نیروی زلزله در هر یک از امتدادهای ساختمان باید در هر دو جهت آن امتداد یعنی به صورت رفت و برگشت در نظر گرفته شود.

6-1-3 مدل ریاضی که برای تحلیل سازه در نظر گرفته می‌شود، باید تا حد امکان نمایانگر وضعیت سازه به لحاظ توزیع جرم و سختی باشد. در این مدل باید علاوه بر کلیه اجزای مقاوم جانبی، اجزایی که مقاومت و سختی آن‌ها تأثیر قابل ملاحظه‌ای در توزیع نیروها دارند، در نظر گرفته شوند. در این ارتباط در سازه‌های بتن‌آرمه رعایت اثر ترک‌خوردگی اجزا در سختی آن‌ها الزامی است. اثر ترک‌خوردگی در این سازه‌ها را می‌توان مطابق بند (3-5-5) برای تعیین تغییرشکل‌ها و نیز نیروهای داخلی در تحلیل سازه منظور کرد.

7-1-3 نیروی جانبی زلزله، که با استفاده از روش‌های مختلف محاسبه می‌گردد، در شرایط خاصی از سازه‌ها باید افزایش داده شود. در این ارتباط باید به موارد زیر توجه شود:

الف- ضریب نامعینی سازه، ρ، موضوع بند (3-3-2)

ب- ضریب اضافه مقاومت، Ω0، موضوع بند (3-3-10)

2-3 روش‌های تحلیل سازه

1-2-3 اثر زلزله بر سازه ساختمان‌ها را می‌توان به روش‌های خطی یا غیرخطی تحلیل نمود. روش‌های خطی شامل "تحلیل استاتیکی معادل" و"تحلیل دینامیکی طیفی" و "تحلیل دینامیکی تاریخچه زمانی" است. روش‌های غیرخطی شامل "تحلیل استاتیکی غیرخطی" و "تحلیل تاریخچه زمانی غیرخطی" است. محدودیت‌های مربوط به هریک از روش‌ها در بندهای زیر ارائه شده است:

2-2-3 روش‌های تحلیل خطی

روش‌های تحلیل خطی را می‌توان در کلیه ساختمان‌ها با هر تعداد طبقه به کار برد. تنها، روش استاتیکی معادل را می‌توان در ساختمان‌های سه طبقه و کوتاه‌تر، از تراز پایه و یا ساختمان‌های زیر به کار گرفت:

الف- ساختمان‌های منظم با ارتفاع کمتر از 50 متر از تراز پایه

ب- ساختمان‌های نامنظم با ارتفاع کمتر از 50 متر از تراز پایه که دارای:

    – نامنظمی زیاد و شدید پیچشی در پلان نباشد

    – نامنظمی جرمی، نرم و خیلی نرم در ارتفاع نباشد

3-2-3 روش‌های تحلیل غیرخطی

روش‌های تحلیل غیرخطی را می‌توان در کلیه ساختمان‌ها با هر تعداد طبقه به کار برد، ولی برای استفاده از آن‌ها ضروری است سازه علاوه بر اقناع الزامات آن‌ها، ضوابط تحلیل و طراحی یکی از روش‌های خطی عنوان شده در بند (3-2-3) را نیز اقناع نماید. الزامات مربوط به روش‌های تحلیل غیرخطی در پیوست شماره (2) ارائه شده است.

3-3 روش تحلیل استاتیکی معادل

در این روش نیروی جانبی زلزله بر طبق ضوابط این بند تعیین شده و به صورت استاتیکی در امتدادها و جهات مختلف بر طبق بندهای (3-1-4) و (3-1-5) به سازه اعمال می‌گردد و سازه با فرض رفتار خطی تحلیل می‌شود.

1-3-3 نیروهای جانبی زلزله
1-1-3-3 نیروی برشی پایه Vu

نیروی برشی پایه، یا برش پایه، به مجموع نیروهای جانبی زلزله اطلاق می‌شود که در تراز پایه، موضوع بند (3-3-1-2)، به ساختمان اعمال می‌گردد. این نیرو در هر یک از امتدادهای ساختمان با استفاده از رابطه (3-1) به دست آورده می‌شود:

(1-3) Vu=CW

در این رابطه:

Vu: نیروی برشی درحد مقاومت. حد مقاومت و حد تنش مجاز در "تعاریف" آیین‌نامه توضیح داده شده‌اند. برای تعیین این نیرو در حد تنش مجاز مقدار آن باید بر ضریب 1.4 تقسیم شود.

W: وزن مؤثر لرزه‌ای، شامل مجموع بارهای مرده و وزن تأسیسات ثابت و وزن دیوارهای تقسیم کننده به اضافه درصدی از بار زنده و بار برف، مطابق جدول (3-1). بار زنده باید به صورت تخفیف نیافته، مطابق ضوابط مبحث ششم مقررات ملی ساختمان در نظر گرفته شود.

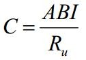
C: ضریب زلزله که از رابطه (3-2) به دست می‌آید:

(2-3) ضریب زلزله

در این رابطه:

A: نسبت شتاب مبنای طرح مطابق بند (2-2)

B: ضریب بازتاب ساختمان مطابق بند (2-3)

I: ضریب اهمیت ساختمان مطابق بند (3-3-4)

Ru: ضریب رفتار ساختمان مطابق بند (3-3-5)

مقدار برش پایه، Vu، در هیچ حالت نباید کمتر از مقدار زیر در نظر گرفته شود.

(3-3) Vu min = 0.12AIW 

جدول 3-1 درصد میزان مشارکت بار زنده و بار برف در محاسبه نیروی جانبی زلزله

محل بار زنده درصد میزان بار زنده
بام‌های ساختمان‌ها در مناطق با برف زیاد، سنگین و فوق سنگین 20
بام‌های ساختمان‌ها در سایر مناطق
ساختمان‌های مسکونی، اداری، هتل‌ها و پارکینگ‌ها 20
بیمارستان‌ها، مدارس، فروشگاه‌ها، ساختمان‌های محل اجتماع یا ازدحام 20
کتابخانه‌ها و انبارها (با توجه به نوع کاربری) حداقل 40
حداقل مخازن آب و یا سایر مایعات 100
2-1-3-3 تراز پایه

تراز پایه، بنا به تعریف، به ترازی در ساختمان اطلاق می‌شود که در هنگام زلزله از آن تراز به پایین اختلاف حرکتی بین ساختمان و زمین وجود نداشته باشند. تراز پایه برای طراحی ساختمان‌ها به صورت زیر در نظر گرفته می‌شود:

1- برای ساختمان‌های بدون زیرزمین یا ساختمان‌های دارای زیرزمینی که دیوارهای نگهبان آن به سازه متصل نباشند، تراز پایه باید در سطح بالای شالوده در نظر گرفته شود.

2- برای ساختمان‌های دارای زیرزمینی که دیوارهای نگهبان آن به سازه متصل باشند و فضای بین خاکبرداری و دیوار نگهبان زیرزمین با خاک متراکم پر شده باشد، تراز پایه می‌تواند در نزدیک‌ترین سقف زیرزمین به زمین طبیعی اطراف در نظر گرفته شود، منوط بر آنکه اولاً خاک طبیعی موجود در اطراف ساختمان متراکم باشد و ثانیاً دیوارهای نگهبان زیرزمین بتن‌آرمه بوده و آخرین سقف زیرزمین نیز دارای صلبیت کافی باشد. در این راستا می‌توان از صلبیت تیرها و یا مجموعه تیر و دال سقف‌ها برای افزایش صلبیت سقف استفاده نمود.

2-3-3 ضریب نامعینی سازه، ρ

1-2-3-3 ساختمان‌هایی که سیستم مقاوم جانبی آن‌ها در دو جهت عمود برهم دارای نامعینی کافی نیستند، باید برای بار جانبی بیشتری طراحی شوند. در این ساختمان‌ها بار جانبی باید با ضریب ρ برابر با 1.2 افزایش داده شود.

2-2-3-3 ساختمان‌هایی که سیستم مقاوم جانبی آن‌ها دارای خصوصیات زیر هستند، دارای نامعینی کافی بوده و در آن‌ها ضریب ρ برابر با 1.0 منظور می‌شود.

الف- در ساختمان‌های منظم در پلان، در طبقاتی که برش در آن‌ها از 35درصد برش پایه تجاوز می‌کند، حداقل دو دهانه سیستم مقاوم جانبی در هر سمت مرکز جرم، در هر دو امتداد عمود برهم، موجود باشد. در سیستم‌های دارای دیوار برشی تعداد دهانه‌ها از تقسیم طول دیوار بر ارتفاع آن در طبقه به دست می‌آید.

ب- در سایر ساختمان‌ها، در طبقاتی که میزان برش در آن‌ها از 35 درصد برش پایه تجاوز می‌کند، چنانچه حذف جزئی از سیستم مقاوم جانبی، مطابق جدول (3-2)، موجب کاهش مقاومت جانبی طبقه به میزان بیشتر از 33 درصد نشود و در طبقه نامنظمی شدید پیچشی، مطابق تعریف بند (1-7-1) ایجاد نگردد.

جدول 3-2 محدویت‌های مربوط به ρ=1.0

نوع سیستم مقاوم جانبی الزامات
سیستم مهاربندی شده حذف یک مهاربند یا اتصال آن
سیستم با دیوار برشی عادی یا دیوارهای برشی هم بسته با نسبت ارتفاع هر پایه به طول بزرگتر از 1.0 حذف یک دیوار و یا یک پایه و یا اتصالات جمع کننده آن‌ها
سیستم قاب خمشی حذف مقاومت خمشی اتصالات دو انتهای یک تیر
سیستم کنسولی حذف مقاومت خمشی در اتصال پایه یکی از ستون‌ها

3-2-3-3 ساختمان‌ها و یا اجزای زیر مشمول محدودیت‌های مربوط به ضریب نامعینی نمی‌شوند و ρ در آن‌ها باید برابر با 1.0 منظور شود:

الف- ساختمان‌های با تعداد طبقات کمتر از 3 طبقه و یا کوتاه‌تر از 10 متراز تراز پایه

ب- محاسبه تغییرمکان جانبی ساختمان

پ- محاسبه اثر P-Δ

ت- تعیین نیروی جانبی در اجزای غیرسازه ای

ث- تعیین نیروی جانبی در سازه‌های غیرساختمانی غیرمشابه ساختمان

ج- تعیین نیروها در دیافراگم‌ها، رابطه (3-15)

چ- در کلیه اعضایی که مشمول طراحی برای زلزله تشدید یافته می‌شوند و نیروی زلزله در آن‌ها در ضریب اضافه مقاومت Ω0 ضرب می‌شود.

3-3-3 زمان تناوب اصلی نوسان، T
1-3-3-3 ساختمان‌های متعارف

ساختمان‌های متعارف به ساختمان‌هایی اطلاق می‌شود که توزیع جرم و سختی در ارتفاع آن‌ها عمدتاً به صورت متناسب تغییر کند. در این ساختمان‌ها زمان تناوب اصلی نوسان را می‌توان از روابط تجربی زیر به دست آورد.

الف- برای ساختمان‌های با سیستم قاب خمشی

1- در مواردی که جداگرهای میانقابی مانعی برای حرکت قاب‌ها ایجاد ننمایند:

– در قاب‌های فولادی

(3-3) T=0.08H0.75

– در قاب‌های بتن‌آرمه

(4-3) T=0.05H0.9

2- در مواردی که جداگرهای میانقابی مانعی برای حرکت قاب‌ها ایجاد نمایند:

مقدار T باید برابر با 80 درصد مقادیر عنوان شده در بالا در نظر گرفته شود.

ب- برای ساختمان‌های با سیستم مهاربندی واگرا، مشابه قاب‌های فولادی، از رابطه (3-3)

پ- برای ساختمان‌های با سایر سیستم‌های مندرج در جدول (3-4)، به غیر از سیستم کنسولی، با یا بدون وجود جداگرهای میانقابی:

(5-3) T=0.05H0.75

در روابط بالا H ارتفاع ساختمان از تراز پایه است و در محاسبه آن ارتفاع خرپشته، در صورتی که وزن آن بیشتر از 25 درصد وزن بام باشد، باید منظور گردد. در بام‌های شیب‌دار، H متوسط ارتفاع بام از تراز پایه است.

تبصره- در این ساختمان‌ها، در کلیه موارد، می‌توان زمان تناوب اصلی نوسان را با استفاده از تحلیل دینامیکی تعیین و در محاسبات نیروها منظور نمود، ولی مقدار آن در هر حالت نباید از 1.25 برابر مقادیر به دست آورده شده از روابط تجربی بالا بیشتر در نظر گرفته شود.

2-3-3-3 ساختمان‌های غیرمتعارف

ساختمان‌های غیرمتعارف به ساختمان‌هایی اطلاق می‌شوند که مشمول تعریف بند ( 3-3-3-1) نمی‌گردند، مانند ساختمان مساجد، آمفی تئاترها، سالن‌های ورزشی، گنبدها و …. در این ساختمان‌ها زمان تناوب اصلی نوسان باید با استفاده از تحلیل دینامیکی ساختمان و با منظور داشتن ضوابط زیر تعیین گردد:

الف- در مواردی که جداگرهای میانقابی در مدل تحلیلی منظور شده باشند:

(5a-3) T=TD

ب- در مواردی که جداگرهای میانقابی در مدل تحلیلی منظور نشده باشند:

(5b-3) T=0.8TD

در این روابط TDزمان تناوب اصلی انتقالی در تحلیل دینامیکی است.

3-3-3-3 سختی قطعات بتن‌آرمه

در محاسبه زمان تناوب اصلی ساختمان‌های بتن‌آرمه اثر ترک‌خوردگی اعضاء در سختی خمشی آن‌ها باید در نظر گرفته شود. بدین منظور می‌توان سختی مؤثر اعضا را برابر با مقادیر زیر در نظر گرفت:

- در تیرها Ie=0.5Ig
- در ستون‌ها و دیوارها Ie=Ig

در این روابط Igممان اینرسی مقطع کل عضو بدون در نظر گرفتن فولاد است. توجه شود مقادیر فوق تنها در محاسبه زمان تناوب اصلی ساختمان کاربرد دارد.

4-3-3 ضریب اهمیت ساختمان، I

ضریب اهمیت ساختمان با توجه به گروه طبقه‌بندی آن‌ها، در بند (1-6)، مطابق جدول (3-3) تعیین می‌گردد:

جدول 3-3 ضریب اهمیت ساختمان

طبقه‌بندی ساختمان ضریب اهمیت
گروه 1 1.4
گروه 2 1.2
گروه 3 1.0
گروه 4 0.8
5-3-3 ضریب رفتار ساختمان، Ru

1-5-3-3 ضریب رفتار ساختمان در برگیرنده خصوصیاتی مانند شکل‌پذیری، نامعینی و اضافه مقاومت موجود در سازه ساختمان است. این ضریب با توجه به نوع سیستم باربر ساختمان و تمهیداتی که برای شکل‌پذیر کردن آن به کار برده شده است، با رعایت محدودیت‌های بندهای (3-3-5-2) تا (3-3-5-7)، از جدول (3-4) تعیین می‌گردد. توجه شود که مقدار Ru نیروی برشی در رابطه (3-2) را در حد مقاومت به دست می‌دهد.

Hm: حداکثر ارتفاع مجاز ساختمان است که با سیستم باربر عنوان شده ساخته می‌شود. این ارتفاع از تراز پایه تعیین می‌گردد.

Cd: ضریب بزرگنمایی تغییرمکان جانبی سازه به علت رفتار غیرخطی آن است. به بند ( 3-5) مراجعه شود.

Ω0: ضریب اضافه مقاومت سازه است که برای تعیین زلزله تشدید یافته مورد استفاده قرار می‌گیرد. به بند (3-3-10) مراجعه شود.

جدول 3-4 مقادیر ضریب رفتار ساختمان، Ru، همراه با حداکثر ارتفاع مجاز ساختمان Hm

سیستم سازه سیستم مقاوم در برابر نیروهای جانبی Ru Ω0 Cd Hm (متر)
الف- سیستم دیوارهای باربر 1- دیوارهای برشی بتن‌آرمه ویژه 5 2.5 5 50
3- دیوارهای برشی بتن‌آرمه متوسط 4 2.5 4 50
3- دیوارهای برشی بتن‌آرمه معمولی [1] 3.5 2.5 3.5
4- دیوارهای برشی با مصالح بنایی مسلح 3 2.5 3 15
5- دیوارهای متشکل از قاب‌های سبک فولادی سرد نورد و مهارهای تسمه‌ای فولادی 4 2 3.5 15
6- دیوارهای متشکل از قاب‌های سبک فولادی سرد نورد و صفحات پوشش فولادی 5.5 3 4 15
7- دیوارهای بتن پاششی سه بعدی 3 2 3 10
ب- سیستم قاب ساختمانی 1- دیوارهای برشی بتن‌آرمه ویژه [2] 6 2.5 5 50
2- دیوارهای برشی بتن‌آرمه متوسط 5 2.5 4 35
3- دیوارهای برشی بتن‌آرمه معمولی [1] 4 2.5 3
4- دیوارهای برشی با مصالح بنایی مسلح 3 2.5 2.5 15
5- مهاربندی واگرای ویژه فولادی [2] و [3] 7 2 4 50
6- مهاربندی کمانش تاب 7 2.5 5 50
7- مهاربندی همگرای معمولی فولادی 3.5 2 3.5 15
8- مهاربندی همگرای ویژه فولادی [2] 5.5 2 5 50
پ- سیستم قاب خمشی 1- قاب خمشی بتن‌آرمه ویژه [4] 7.5 3 5.5 200
2- قاب خمشی بتن‌آرمه متوسط [4] 5 3 4.5 35
3- قاب خمشی بتن‌آرمه معمولی [4] و [1] 3 3 2.5
4- قاب خمشی فولادی ویژه 7.5 3 5.5 200
5- قاب خمشی فولادی متوسط 5 3 4 50
6- قاب خمشی فولادی معمولی [1] 3.5 3 3
ت- سیستم دوگانه یا ترکیبی 1- قاب خمشی ویژه (فولادی یا بتنی) + دیوارهای برشی بتن‌آرمه ویژه 7.5 2.5 5.5 200
2- قاب خمشی بتن‌آرمه متوسط و دیوار برشی بتن‌آرمه ویژه 6.5 2.5 5 70
3- قاب خمشی بتن‌آرمه متوسط به دیوار برشی بتن‌آرمه متوسط 6 2.5 4.5 50
4- قاب خمشی فولادی متوسط + دیوار برشی بتن‌آرمه متوسط 6 2.5 4.5 50
5- قاب خمشی فولادی ویژه مهاربندی واگرای ویژه فولادی 7.5 2.5 4 200
6- قاب خمشی فولادی متوسط + مهاربندی واگرای ویژه فولادی 6 2.5 5 70
7- قاب خمشی فولادی ویژه+ مهاربندی همگرای ویژه فولادی 7 2.5 5.5 200
8- قاب خمشی فولادی متوسط + مهاربندی همگرای ویژه فولادی 6 2.5 5 70
ث- سیستم کنسولی 1- سازه‌های فولادی با بتن‌آرمه ویژه 2 1.5 2 10

یادداشت‌های مربوط به جدول (3-4)

[1] استفاده از این سیستم برای ساختمان‌های «با اهمیت خیلی زیاد و زیاد» در تمام مناطق لرزه‌خیزی و برای ساختمان‌های «با اهمیت متوسط» در مناطق لرزه‌خیزی 1 و 2 مجاز نیست. ارتفاع حداکثر این سیستم برای ساختمان‌های «با اهمیت متوسط» در مناطق لرزه‌خیزی 3 و 4 به 15 متر محدود می‌گردد.

[2] ارتفاع مجاز در سیستم قاب ساختمانی با دیوار برشی بتن‌آرمه ویژه، یا مهاربندهای واگرای ویژه یا با مهاربندهای همگرای ویژه، در صورتی که شرایط زیر موجود باشد، می‌تواند از 50 متر به 75 متر افزایش یابد:

الف- زمین ساختگاه از نوع II، I یا III جدول (2-3) باشد.

ب- ساختمان دارای نامنظمی در پلان از نوع شدید پیچشی نباشد.

پ- ساختمان در هر امتداد اصلی دارای سیستم مقاوم جانبی در دو طرف مرکز جرم باشد.

[3] در سیستم‌های قاب ساختمانی با مهاربندی‌های واگرای ویژه فولادی، چنانچه در تیرهای پیوند رفتار برشی حاکم باشد، ضریب رفتار برابر با 7 و چنانچه رفتار خمشی حاکم باشد، این ضریب باید برابر 6 در نظر گرفته شود.

[4] در این جدول قاب‌های خمشی بتن‌آرمه با شکل‌پذیری کم، متوسط و زیاد عنوان شده در آیین‌نامه بتن ایران "آبا" با عناوین معمولی، متوسط و ویژه معرفی شده‌اند.ضمناً در این سازه‌ها فاصله خاموت‌ها از یکدیگر در ناحیه ویژه دو انتهای ستون‌ها، مطابق تعریف آبا، نباید بیش از 15 سانتی‌متر در نظر گرفته شود.

2-5-3-3 ساخت ساختمان‌های با ارتفاع بیش از Hm در جدول (3-4) در کلیه مناطق کشور مجاز نیست. برای ساختمان‌های خاص که در آن‌ها ارتفاعی بیشتر از این حدود مدنظر باشد، تأیید کمیته اجرایی این آیین‌نامه الزامی است.

3-5-3-3 در مناطق با خطر نسبی خیلی زیاد برای ساختمان‌های با اهمیت «خیلی زیاد» فقط باید از سیستم‌هایی که عنوان «ویژه» دارند، استفاده شود.

4-5-3-3 در ساختمان‌های با بیشتر از 15 طبقه و یا بلندتر از 50 متر، استفاده از سیستم قاب خمشی ویژه و یا سیستم دوگانه، به استثناء موارد تصریح شده در یادداشت [2] مربوط به جدول (3-4)، الزامی است. در این ساختمان‌ها نمی‌توان برای مقابله با تمام نیروی جانبی زلزله منحصراً به دیوارهای برشی و یا قاب‌های مهاربندی شده اکتفا نمود.

5-5-3-3 استفاده از دال تخت یا قارچی و ستون به عنوان سیستم قاب خمشی منحصراً در ساختمان‌های سه طبقه و یا کوتاه‌تر از 10 متر مجاز می‌باشد. در صورت تجاوز از این حد، تنها در صورتی استفاده از این سیستم سازه مجاز است که مقابله با نیروی جانبی زلزله توسط دیوارهای برشی و یا قاب‌های مهاربندی شده تأمین گردد.

6-5-3-3 در ساختمان‌های بتن‌آرمه که در آن‌ها از سیستم تیرچه و بلوک برای پوشش سقف‌ها استفاده می‌گردد و ارتفاع تیرها برابر ضخامت سقف در نظر گرفته می‌شود، در صورتی که ارتفاع تیرها کمتر از 30 سانتی‌متر باشد، سیستم سقف به منزله دال تخت محسوب شده و ساختمان مشمول بند (3-3-5-5) می‌شود.

7-5-3-3 قاب‌های فولادی دارای اتصالات خورجینی ساده بر طبق نشریه شماره 324 معاونت برنامه‌ریزی و نظارت راهبردی همراه با دیوار برشی یا مهاربندی، در گروه سیستم قاب ساختمانی ساده قرار می‌گیرند. قاب‌های فولادی دارای اتصالات خورجینی گیردار بر طبق ضوابط آن نشریه، قاب خمشی فولادی متوسط محسوب می‌شوند. حداکثر ارتفاع مجاز ساختمان‌هایی که در آن‌ها تنها از قاب‌های خمشی با این نوع اتصالات استفاده می‌شود به 30 متر تقلیل می‌یابد.

8-5-3-3 ترکیب سیستم‌ها در پلان

در ساختمان‌هایی که از دو سیستم سازه‌ای مختلف برای تحمل بار جانبی، در دو امتداد در پلان استفاده شده باشد، برای هر سیستم باید ضریب رفتار و ضرایب Cd و Ω0 مربوط به آن سیستم در نظر گرفته شود.

تنها در مواردی که در یک امتداد از سیستم دیوارهای باربر استفاده شده باشد، مقدار ضریب رفتار در امتداد دیگر نباید بیشتر از مقدار آن در امتداد سیستم دیوارهای باربر اختیار گردد.

9-5-3-3 ترکیب سیستم‌ها در ارتفاع

در ساختمان‌هایی که از دو سیستم سازه‌ای مختلف برای تحمل بار جانبی در یک امتداد در ارتفاع استفاده شده باشد، برای تعیین نیروی جانبی زلزله باید الزامات زیر رعایت گردد

1-9-5-3-3 حالت کلی

الف- زمان تناوب اصلی سازه باید مطابق ضوابط بند (3-3-3) تعیین گردد.در مواردی که از روابط تجربی استفاده می‌شود، این زمان باید برابر با متوسط وزنی زمان‌های تناوب هر یک از سیستم‌ها در ارتفاع کل سازه در نظر گرفته شود.

ب- در ساختمان‌هایی که ضریب رفتار برای سیستم قسمت تحتانی بیشتر از مقدار آن برای سیستم قسمت فوقانی است، مقادیر Cd , Ru و Ω0 قسمت فوقانی باید برای محاسبات هردو قسمت مورد استفاده قرار گیرد.

پ- در ساختمان‌هایی که ضریب رفتار برای سیستم قسمت تحتانی کمتر از مقدار آن برای سیستم قسمت فوقانی است، مقادیر Cd , Ru و Ω0 قسمت فوقانی باید برای محاسبات این قسمت مورد استفاده قرار گیرد. برای محاسبات قسمت تحتانی مقادیر Cd , Ru و Ω0 مربوط به همین قسمت مورد استفاده قرار می‌گیرد. ولی حالت نیروهای عکس‌العمل ناشی از تحلیل قسمت فوقانی نیز که در نسبت Ru/ρ قسمت فوقانی به Ru/ρ قسمت تحتانی ضرب شده‌اند، باید به مدل سازه قسمت تحتانی اضافه شود. این نسبت در هر حال نباید کوچکتر از 1.0 باشد.

2-9-5-3-3 حالت خاص

در ساختمان‌هایی که سختی جانبی قسمت فوقانی به طور قابل ملاحظه‌ای کمتر از سختی جانبی قسمت تحتانی بوده و شرایط زیر موجود باشد:

الف) سختی جانبی متوسط طبقات تحتانی حداقل ده برابر سختی متوسط طبقات فوقانی باشد.

ب) زمان تناوب اصلی نوسان کل سازه کمتر از 1/1 برابر زمان تناوب اصلی قسمت فوقانی باشد.

نیروهای جانبی را می‌توان با استفاده از روش دو مرحله زیر تعیین نمود:

1- سازه انعطاف‌پذیر قسمت فوقانی به طور مجزا و با پایه‌های گیردار در نظر گرفته شده و مطابق روال عادی تحلیل می‌گردد. در تعیین نیروها کلیه پارامترهای مربوط به سیستم این قسمت مورد استفاده قرار داده می‌شود.

2- سازه سخت قسمت تحتانی عینة مانند آنچه در زیر بند (1) گفته شد و با در نظر گرفتن پارامترهای مربوط به این قسمت تحلیل می‌گردد، با این تفاوت که نیروهای عکس‌العمل سازه فوقانی نیز به سازه تحتانی اثر داده می‌شود. این نیروها باید با ضریب نسبت Ru/ρ قسمت تحتانی به Ru/ρ قسمت فوقانی تعدیل شوند. ضریب مورد نظر نباید کوچکتر از 1.0 در نظر گرفته شود.

6-3-3 توزیع نیروی جانبی زلزله در ارتفاع ساختمان

نیروی برشی پایه Vu، که طبق بند (3-3-1-1) محاسبه شده است، مطابق رابطه زیر در ارتفاع ساختمان توزیع می‌گردد:

(6-3) نیروی جانبی در تراز طبقه i

در این رابطه:

Fui: نیروی جانبی در تراز طبقه iWi: وزن طبقه شامل وزن سقف و قسمتی از سربار آن مطابق جدول (3-1) و نصف وزن دیوارها و ستون‌هایی که در بالا و پایین سقف قرار گرفته‌اند.

hi: ارتفاع تراز سقف طبقه i از تراز پایه

n: تعداد طبقات ساختمان از تراز پایه به بالا

k: ضریبی است که با توجه به زمان تناوب نوسان اصلی سازه T از رابطه زیر به دست آورده می‌شود:

(7-3) k=0.5T+0.75      0.5≤T≤2.5 sec

مقدار K برای مقادیر T کوچک‌تر از 0.5 ثانیه و بزرگ‌تر از 2.5 ثانیه باید به ترتیب برابر با 1.0 و 2.0 در نظر گرفته شود.

تبصره: در صورتی که وزن خرپشته ساختمان بیشتر از 25 درصد وزن بام باشد، باید به عنوان یک طبقه مستقل محسوب شود. در غیراین صورت خرپشته به عنوان بخشی از بام در نظر گرفته می‌شود.

7-3-3 توزیع نیروی برشی زلزله در پلان ساختمان

1-7-3-3 نیروی برشی زلزله، که بر اساس توزیع نیروها در بند (3-3-6) در طبقات ساختمان ایجاد می‌شود، به همراه نیروی برشی ناشی از پیچش ایجاد شده به علت برون از مرکز بودن این نیروها در طبقات باید، طبق بند (3-3-7-2)، در هر طبقه بین عناصر مختلف سیستم مقاوم در برابر نیروهای جانبی به تناسب سختی آن‌ها توزیع گردد. در صورت صلب نبودن کف طبقات، در توزیع این برش‌ها باید اثر تغییرشکل‌های ایجادشده در کف‌ها نیز منظور شود.

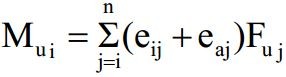
2-7-3-3 لنگر پیچشی ایجاد شده در طبقه i، در اثر نیروهای جانبی زلزله، از رابطه زیر به دست می‌آید:

(8-3) لنگر پیچشی در طبقه i

در این رابطه:

eij: برون مرکزی نیروی جانبی طبقه j نسبت به مرکز سختی طبقه i، فاصله افقی مرکز جرم طبقه j و مرکز سختی طبقه i

eaj: برون مرکزی اتفاقی طبقه j، موضوع بند (3-3-7-3)

Fuj: نیروی جانبی در تراز طبقه j

3-7-3-3 برون مرکزی اتفاقی در تراز هر طبقه، eaj، به منظور به حساب آوردن احتمال تغییرات اتفاقی توزیع جرم و سختی از یک سو و نیروی ناشی از مؤلفه پیچشی زلزله از سوی دیگر، در نظر گرفته می‌شود. این برون مرکزی باید در هر دو جهت و حداقل برابر با 5 درصد بعد ساختمان در آن طبقه، در امتداد عمود بر نیروی جانبی اختیار شود. در مواردی که ساختمان مشمول نامنظمی پیچشی موضوع بند (1-7-1-ب) می‌شود، برون مرکزی اتفاقی حداقل باید در ضریب بزرگنمایی Aj، طبق رابطه زیر، ضرب شود.

(9-3) صریب بزرگنمایی

در این رابطه:

Δmax = حداکثر تغییرمکان طبقه j که با فرض 1.0 = Aj محاسبه شده است.

Δave = میانگین تغییرمکان دو انتهای ساختمان در طبقه j که با فرض 1.0= Aj محاسبه شده است.

4-7-3-3 در ساختمان‌های تا 5 طبقه و یا کوتاه‌تر از هجده متر در مواردی که برون مرکزی نیروی جانبی طبقه در طبقات بالاتر از هر طبقه کمتر از 5 درصد بعد ساختمان در آن طبقه در امتداد عمود بر نیروی جانبی باشد، برای محاسبات لنگر پیچشی نیازی به در نظر گرفتن برون مرکزی اتفاقی در طبقات نیست.

8-3-3 محاسبه ساختمان در برابر واژگونی

لنگر واژگونی ناشی از نیروهای جانبی زلزله در تراز زیر شالوده برابر مجموع حاصلضرب نیروی جانبی هر تراز در ارتفاع آن نسبت به تراز زیر شالوده ساختمان است. در محاسبه لنگر مقاوم در برابر واژگونی، بار تعادل وزن مؤثر لرزه‌ای ساختمان است که برای تعیین نیروی جانبی به کار رفته است و وزن شالوده و خاک روی آن به وزن مؤثر لرزه‌ای اضافه می‌شود. سازه ساختمان و پی آن باید به گونه‌ای طراحی شوند که توانایی تحمل اثر لنگر واژگونی را داشته باشند.

9-3-3 نیروی قائم ناشی از زلزله

1-9-3-3 نیروی قائم ناشی از زلزله که اثر مؤلفه قائم شتاب زلزله در ساختمان است، در موارد زیر باید در محاسبات منظور شود.

الف-کل سازه ساختمان‌هایی که در پهنه با خطر نسبی خیلی زیاد واقع شده‌اند.

ب- تیرهایی که دهانه آن‌ها بیشتر از پانزده متر می‌باشد، همراه با ستون‌ها و دیوارهای تکیه‌گاهی آن‌ها.

پ-تیرهایی که بار قائم متمرکز قابل توجهی در مقایسه با سایر بارهای منتقل شده به تیر را تحمل می‌کنند، همراه با ستون‌ها و دیوارهای تکیه‌گاهی آنها. در صورتی که بار متمرکز حداقل برابر با نصف مجموع بار وارده به تیر باشد، آن بار قابل توجه تلقی می‌شود.

ت- بالکن‌ها و پیش‌آمدگی‌هایی که به صورت طره ساخته می‌شوند.

2-9-3-3 مقدار نیروی قائم از رابطه (3-10) محاسبه می‌شود. در مورد بالکن‌ها و پیش‌آمدگی‌ها، این نیرو باید در هر دو جهت رو به بالا و رو به پایین و بدون منظور نمودن اثر کاهنده بارهای ثقلی در نظر گرفته شود.

(10-3) Fvu=0.6 AIWP

در این رابطه:

A و I مقادیری هستند که برای محاسبه نیروی برشی پایه منظور شده‌اند.

Wp: در مورد بند الف بالا بار مرده و در مورد سایر بندها بار مرده به اضافه کل سربار است. نیروی قائم زلزله باید در هر دو جهت رو به بالا و روبه پایین، جداگانه به سازه اعمال شود. در نظر گرفتن نیروی قائم در جهت رو به بالا در طراحی پی ساختمان ضروری نیست.

3-9-3-3 نیروهای قائم و افقی زلزله باید همزمان با بارهای مرده و زنده ترکیب شده و در طراحی اعضای سازه به کار رود. در این ترکیب ضوابط بند (3-1-4) باید رعایت شود و سازه باید برای بیشینه اثر این ترکیبات طراحی گردد.

10-3-3 ضریب اضافه مقاومت، Ω0

این ضریب، در مواردی که براساس ضوابط آیین‌نامه‌های طراحی، عضوی از سازه باید برای نیروی زلزله تشدید یافته طراحی شود، به کار برده می‌شود. در این اعضا، اثرهای ناشی از بار جانبی زلزله باید در ضریب Ω0 ضرب گردند. مقدار Ω0 در سازه‌های با سیستم‌های باربری مختلف در جدول (3-4) ارائه شده است. این آثار در هر حال لزومی ندارد بیشتر از حداکثر آنچه اعضای متصل به عضو می‌توانند به آن منتقل نمایند، در نظر گرفته شود. در این موارد تغییرات لازم در تنش‌های مجاز و یا ضرایب بار نهایی در ترکیبات مختلف بارگذاری باید براساس ضوابط آیین‌نامه‌های طراحی صورت گیرد.

11-3-3 اثر اندرکنش خاک و سازه

در تحلیل سازه‌ها با روش‌های خطی، تکیه‌گاه سازه در تراز شالوده و خاک را می‌توان ثابت فرض نمود. لیکن چنانچه در نظر گرفتن انعطاف‌پذیری پی سازه مد نظر باشد، لازم است اثر اندر کنش سازه و خاک زیر آن در نظر گرفته شود. در این حالت این اثرها باید با توجه به مشخصات پی و با استفاده از روش‌های معتبر مکانیک خاک در محاسبات منظور گردد. برای سازه‌های واقع بر روی زمین‌های نوع I، II یا III اثر اندرکنش سازه و خاک را می‌توان به روش‌های مندرج در پیوست شماره (5) در تحلیل‌ها در نظر گرفت.

در هر حالت شالوده سازه باید به گونه‌ای طراحی شود که بتواند نیروها و تغییرشکل‌های ایجاد شده را متناسب با فرضیات تحلیل تحمل نماید.

4-3 روش‌های تحلیل دینامیکی خطی

روش‌های تحلیل دینامیکی خطی شامل روش‌های "تحلیل طیفی" و "تحلیل تاریخچه زمانی "اند و در کاربرد آن‌ها باید ضوابط بندهای (3-4-1) و (3-4-2) رعایت شوند. کلیه پارامترهای مربوط به حرکت زمین نظیر جرم، نسبت شتاب مبنا و غیره در این روش‌ها همان مقادیر عنوان شده در تحلیل استاتیکی معادل‌اند.

در این روش‌ها رعایت ضوابط مربوط به موضوعات زیر که در روش استاتیکی معادل عنوان شده است، نیز الزامی است:

– ضریب نامعینی سازه ρ، موضوع بند (3-3-2)

– محاسبه ساختمان‌ها در برابر واژگونی موضوع بند (3-3-8)

– نیروی قائم زلزله موضوع بند (3-3-9)

– ضریب اضافه مقاومت Ω0 موضوع بند (3-3-10)

– اثرهای اندرکنش خاک و سازه موضوع بند (3-3-11)

1-4-3 روش تحلیل طیفی

1-1-4-3 در این روش، ابتدا تحلیل مقادیر ویژه بر روی مدل سازه که بر اساس رفتار خطی تهیه شده است، انجام شده و مشخصات مدهای طبیعی توسان آن تعیین می‌گردد. سپس حداکثر بازتاب در هر مد با توجه به زمان تناوب آن مد از طیف طرح به دست آورده شده و با ترکیب آماری آن‌ها بازتاب کلی سازه تعیین می‌گردد.

در این روش تحلیل، الزامات بندهای (3-4-1-2) تا (3-4-1-6) باید رعایت شود.

2-1-4-3 تعداد مدهای نوسان

در هر یک از دو امتداد متعامد ساختمان باید تمام مدهای نوسان که مجموع جرم‌های مؤثر در آن‌ها بیشتر از 90 درصد جرم کل سازه است، در نظر گرفته شود.

3-1-4-3 ترکیب اثر مدها

حداکثر بازتاب‌های دینامیکی سازه در هر مود، از قبیل نیروهای داخلی اعضا، تغییرمکان‌ها، نیروهای طبقات، برش‌های طبقات و عکس‌العمل پایه‌ها باید با استفاده از روش‌های آماری شناخته شده، مانند روش جذر مجموع مربعات و یا روش ترکیب مربعی کامل ترکیب گردد. در ساختمان‌های نامنظم در پلان و یا در ساختمان‌هایی که پیچش در آن‌ها حائز اهمیت است، روش ترکیب مدها باید در برگیرنده اندرکنش مدهای ارتعاشی نیز باشد. در این موارد می‌توان از روش ترکیب مربعی کامل استفاده نمود.

4-1-4-3 اصلاح مقادیر بازتاب‌ها

در مواردی که برش پایه به دست آمده از روش تحلیل طیفی کمتر از برش پایه تحلیل استاتیکی معادل، رابطه (3-1) باشد، مقدار برش پایه تحلیل طیفی باید به مقادیر زیر افزایش داده شده و بازتاب‌های سازه متناسب با آن‌ها اصلاح گردد. برش پایه استاتیکی معادل عنوان شده در ردیف‌های زیر، مقدار برش پایه بر اساس رابطه (3-1) و با استفاده از مشخصات طیف استاندارد است.

الف- در سازه‌های نامنظم، که نامنظمی در آن‌ها از نوع "طبقه خیلی ضعیف" یا "طبقه خیلی نرم" یا "پیچشی شدید" نباشد، مقادیر بازتاب‌ها باید در 90 درصد نسبت برش پایه استاتیکی معادل به برش پایه به دست آمده از تحلیل طیفی ضرب شوند. ولی در سازه‌های نامنظمی که نامنظمی آن‌ها مشمول موارد فوق الذکر باشد، مقادیر بازتاب‌ها باید در نسبت برش پایه استاتیکی معادل به برش به دست آمده از تحلیل طیفی ضرب شود.

ب- در سازه‌های منظم، مقادیر بازتاب‌ها باید در 85 درصد نسبت برش پایه استاتیکی معادل به برش پایه به دست آمده از تحلیل طیفی ضرب شود.

تبصره: مقادیر برش پایۀ تعدیل شده در بندهای الف و ب نباید از برش پایه به دست آمده از تحلیل طیفی کمتر در نظر گرفته شود.

5-1-4-3 اثر پیچش

در روش تحلیل طیفی باید اثر پیچش و پیچش اتفاقی را مشابه ضابطه بند (3-3-7) منظور نمود. در مواردی که از مدل‌های سه بعدی برای آنالیز سازه استفاده می‌شود، اثر پیچش اتفاقی را می‌توان با جابجا کردن مرکز جرم طبقه به اندازه برون مرکزی اتفاقی منظور نمود.

6-1-4-3 روش تحلیل در سیستم دوگانه و یا ترکیبی

در مواردی که برای تحمل بار جانبی زلزله از سیستم سازه‌ای دوگانه و یا ترکیبی استفاده می‌شود، برای اقناع ضابطه بند (1-8-4-پ) باید 25 درصد و 50 درصد برش پایه به دست آمده از تحلیل طیفی را به قاب‌های خمشی، مهاربندی‌ها و یا دیوارهای برشی اثر داد و اطمینان حاصل کرد که هر یک از آن‌ها قادر به تحمل این بار می‌باشند. برای توزیع این برش در ارتفاع سازه می‌توان از توزیع برش به دست آمده از تحلیل طیفی و یا از توزیع برش روش تحلیل استاتیکی معادل، بند (3-3-6) استفاده نمود.

2-4-3 روش تحلیل تاریخچه زمانی

1-2-4-3 در این روش، تحلیل دینامیکی سازه با اثر دادن شتاب زمین به صورت تابعی از زمان، در تراز پایه و محاسبات پاسخ مدل ریاضی ساختمان با فرض رفتار خطی انجام می‌شود. در این تحلیل نسبت میرایی را می‌توان 5 درصد منظور کرد، مگر آنکه بتوان نشان داد مقدار دیگری برای سازه مناسب‌تر است. شتاب زمین براساس شتاب‌نگاشت‌هایی که با شرایط یاد شده در بند (2-5-3) تهیه شده‌اند، تعیین می‌شود.

* هر زوج شتاب‌نگاشت عنوان شده در آن بند همزمان در دو جهت عمود بر یکدیگر، در امتدادهای اصلی سازه، به آن اثر داده می‌شوند و بازتاب‌های سازه به صورت تابعی از زمان تعیین می‌گردند. بازتاب نهایی سازه برابر با حداکثر بازتاب‌های به دست آمده از تحلیل با سه زوج شتاب‌نگاشت مورد نظر می‌باشد.

در این روش تحلیل، می‌توان به جای سه زوج شتاب‌نگاشت عنوان شده در بند (2-5-3) هفت زوج شتاب‌نگاشت با مشخصات عنوان شده در آن بند را به کار گرفت و مقدار متوسط بیشینه بازتاب‌های به دست آمده از آن‌ها را بازتاب نهایی تلقی کرد.

2-2-4-3 اصلاح مقادیر بازتابها

پس از انجام تحلیل برای زوج شتاب‌نگاشت i، مقدار حداکثر برش پایه Vi، تلاش اعضاء QEi، و جابجایی نسبی طبقات Δi در هر طبقه تعیین خواهد شد. در صورتی که مقدار حداکثر برش پایه حاصل از تحلیل، Vi، کمتر از مقدار برش پایه استاتیکی معادل Vu باشد، تلاش‌های اعضا، QEi و جابجایی نسبی طبقات Δi، باید مجدداً در نسبت نسبت اصلاح مقادیر بازتابها نیز ضرب شوند.

اگر سه زوج شتاب‌نگاشت برای تحلیل مورد استفاده قرار گیرد، تلاش طراحی اعضاء و جابجایی نسبی طراحی طبقات باید برابر با ماکزیمم مقادیر QEi و Δi حاصل از تحلیل‌ها در نظر گرفته شوند.

اگر از حداقل 7 شتاب‌نگاشت برای تحلیل استفاده شود، تلاش طراحی اعضاء و جابجایی نسبی طراحی طبقات را می‌توان به ترتیب برابر با مقدار متوسط مقادیر QEi و Δi حاصل از تحلیل‌ها در نظر گرفت.

3-2-4-3 در این تحلیل باید برای اثر پیچش ضابطه بند (3-4-1-5)، و برای سیستم‌های دوگانه و یا ترکیبی ضابطه بند (3-4-1-6) متناسب با روش تحلیل تاریخچه زمانی رعایت گردد.

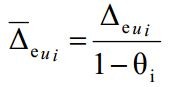
5-3 تغییرمکان جانبی نسبی طبقات

1-5-3 تغییرمکان جانبی نسبی واقعی هر طبقه، که اختلاف بین تغییرمکان‌های جانبی واقعی مراکز جرم کف‌های بالا و پایین آن طبقه است، نباید از مقدار مشخصی که در این بند تعیین شده، تجاوز نماید. این تغییرمکان تنها با استفاده از تحلیل غیرخطی سازه قابل محاسبه است، ولی می‌توان آن را با تقریب خوبی از رابطه زیر به دست آورد:

(11-3) ΔM=cdeu

در این رابطه:

ΔM = تغییرمکان جانبی نسبی غیرخطی و یا تغییرمکان نسبی واقعی طبقه

Cd= ضریب بزرگنمایی مطابق جدول (3-4)

Δeu= تغییرمکان جانبی نسبی طبقه زیر اثر زلزله طرح، مطابق رابطه (3-1)

در مواردی که روش طراحی تنش مجاز است، تغییرمکان جانبی نسبی به دست آمده از آن روش باید در ضریب 1.4 ضرب شود و سپس با مقدار مجاز Δa در بند (3-5-2) مقایسه شود.

2-5-3 مقدار ΔM که با منظور کردن اثر P-Δ در محاسبهΔM به دست می‌آید نباید از مقدار مجازΔa زیر تجاوز نماید.

- در ساختمان‌های تا 5 طبقه Δa=0.025h
- در سایر ساختمان‌ها Δa=0.020h

در این روابط h ارتفاع طبقه است.

3-5-3 در محاسبه تغییرمکان نسبی هر طبقه Δeu، برای رعایت محدودیت‌های فوق، مقدار برش پایه در رابطه (3-1) را می‌توان بدون منظور کردن محدودیت مربوط به زمان تناوب اصلی ساختمان T در تبصره بند (3-3-3-1) تعیین کرد. ولی در ساختمان‌های با اهمیت خیلی زیاد محدودیت آن بند در مورد زمان تناوب اصلی باید رعایت شود. در هر حال، رعایت رابطه (3-3) از بند (3-3-1-1) در خصوص حداقل برش پایه در محاسبات تغییرمکان نسبی ضروری است.

4-5-3 در ساختمان‌های نامنظم پیچشی و یا نامنظم شدید پیچشی، برای محاسبه تغییرمکان نسبی هر طبقه Δeu، به جای تفاوت بین تغییرمکان‌های جانبی مراکز جرم کف‌ها، باید تفاوت بین تغییرمکان‌های جانبی کف‌های بالا و پایین آن طبقه در امتداد محورهای کناری ساختمان مد نظر قرار گیرد.

5-5-3 در سازه‌های بتن‌آرمه در تعیین تغییرمکان جانبی نسبی طرح، ممان اینرسی مقطع ترک خورده قطعات را می‌توان، مطابق توصیه آیین‌نامه بتن ایران «آبا» برای تیرها 0.35lg، برای ستون‌ها 0.7lg، و برای دیوارها 0.35lg یا 0.7lg نسبت به میزان ترک‌خوردگی آن‌ها، منظور کرد. برای زلزله بهره‌برداری مقادیر این ممان اینرسی‌ها را می‌توان تا 1.5 برابر افزایش داد و از اثر P-Δ نیز صرف نظر کرد.

6-5-3 در ساختمان‌های با اهمیت "خیلی زیاد" و "زیاد" با هر تعداد طبقه و یا در ساختمان‌های بیشتر از هشت طبقه، عرض درز انقطاع بین ساختمان و ساختمان مجاور باید با استفاده از تغییرمکان جانبی غیرخطی طرح در طبقه (با درنظر گرفتن اثر P-Δ ) تعیین شود. برا? ? این منظور پس از محاسبه این تغییرمکان برای هر دو ساختمان می‌توان از جذر مجموع مربعات دو عدد برای تعیین درز انقطاع استفاده نمود. در صورتی که مشخصات ساختمان مجاور در دسترس نباشد، حداقل فاصله هر طبقه ساختمان از زمین مجاور باید برابر 70٪ مقدار تغییرمکان جانبی غیرخطی طرح در آن طبقه ساختمان در نظر گرفته شود.

7-5-3 در زلزله سطح بهره‌برداری، تغییرمکان نسبی باید الزامات بند (3-11-2) را اقناع نماید.

6-3 اثر P-Δ

در کلیه سازه‌ها تأثیر بار محوری در عناصر قائم بر روی تغییرمکان‌های جانبی آن‌ها، برش‌ها و لنگرهای خمشی موجود در اعضا و نیز تغییرمکان‌های جانبی طبقات را افزایش می‌دهد. این افزایش به اثر ثانویه و یا اثر P-Δ معروف است. این اثر در مواردی که شاخص پایداری θi، در رابطه (3-12)، کمتر از ده درصد باشد ناچیز بوده و می‌تواند نادیده گرفته شود. ولی θi بیشتر از ده درصد باشد، این اثر باید در محاسبات منظور گردد.

(12-3) شاخص پایداری

در این رابطه:

Pui = مجموع بارهای مرده و زنده موجود در طبقه i تا n، طبقه آخر، در حد مقاومت

Δeui= تغییرمکان جانبی نسبی اولیه در طبقه i حاصل از تحلیل خطی

Vui= مجموع نیروی برشی وارد در طبقه i

hi = ارتفاع طبقه i

شاخص پایداری θi در سازه‌ها نباید از θmax در رابطه (3-12) بیشتر باشد. در این موارد احتمال ناپایداری سازه موجود است و باید در طراحی آن تجدید نظر شود.

(13-3) ماکزیمم شاخص پایداری

برای منظور کردن اثر P-Δ در طراحی سازه‌ها یا می‌توان این اثر را همراه با سایر عوامل در تحلیل سازه‌ها منظور کرد و نیروهای داخلی اعضاء را به دست آورد و یا می‌توان از روش‌های تقریبی عنوان شده در آیین‌نامه‌های طراحی استفاده نمود. هم‌چنین می‌توان روش تقریبی ارائه شده در پیوست (3) را مورد استفاده قرار داد. در کلیه موارد، تغییرمکان‌های جانبی طبقات که در محاسبات نیروهای داخلی به کار برده می‌شوند باید تغییرمکان‌های جانبی نسبی افزایش یافته طبقات، تغییرمکان‌های جانبی نسبی افزایش یافته طبقات باشند.

تغییرمکان افزایش یافته جانبی نسبی طبقه با منظور کردن اثر P-Δ، را می‌توان از رابطه (3-14) محاسبه کرد:

(14-3) تغيير مكانهاي جانبي نسبي افزايش يافته طبقات
7-3 مشخصات سازه از تراز پایه تا روی شالوده

در سازه‌هایی که تراز پایه بالاتر از تراز روی شالوده منظور شده باشد، سختی و مقاومت جانبی طبقات پایین‌تر از تراز پایه نباید از سختی و مقاومت جانبی طبقه روی تراز پایه کمتر باشد.

در این سازه‌ها ضروری است ضوابط بند (3-9) در خصوص مقاومت اعضایی که در زیر تراز پایه قرار دارند و تحمل کننده بار اعضای باربر جانبی هستند که تا روی شالوده ادامه پیدا نمی‌کنند، نیز رعایت شود.

8-3 دیافراگم‌ها و جمع کننده‌ها

دیافراگم‌ها که معمولاً کف‌های سازه‌ای تحمل کننده بارهای ثقلی در ساختمان‌ها هستند، در هنگام وقوع زلزله وظیفه انتقال نیروهای ایجاد شده در کف‌ها را به عناصر قائم باربر جانبی بر عهده دارند. این دیافراگم‌ها باید در برابر تغییرشکل‌های افقی که در آن‌ها ایجاد می‌شود، مقاومت و سختی کافی را دارا باشند.

1-8-3 در تحلیل سازه ساختمان اثر صلبیت دیافراگم‌ها باید به طور مناسب در نظر گرفته شود. به طور کلی دیافراگم‌ها به سه دسته نرم، نیمه صلب و صلب تقسیم می‌شوند.

الف- در دیافراگم‌هایی که حداکثر تغییرشکل افقی ایجادشده در آن‌ها تحت اثر نیروی جانبی زلزله، بند (3-3-6)، بیش از دو برابر تغییرمکان نسبی متوسط طبقه باشد، دیافراگم نرم تلقی می‌شود. دیافراگم‌های از نوع چوبی یا ورق‌های فلزی تقویت شده بدون پوشش بتن در سازه‌های دارای سیستم جانبی با دیوارهای برشی یا قاب‌های مهاربندی شده ممکن است در این دسته قرار گیرند.

در سازه‌های دارای دیافراگم‌های نرم نیازی به در نظر گرفتن اثر لنگرهای پیچشی در ساختمان بر طبق بندهای (3-3-7-2) و (3-3-7-3) نبوده و توزیع نیروی برشی زلزله بین اجزای قائم مقاوم در برابر زلزله بر اساس موقعیت و جرم سهمیه این اجزا انجام می‌شود.

ب- در دیافراگم‌هایی که حداکثر تغییرشکل افقی ایجاد شده در آن‌ها تحت اثر نیروی جانبی زلزله کمتر از نصف تغییرمکان نسبی متوسط طبقه باشد، دیافراگم صلب تلقی می‌شود. دیافراگم‌های از نوع دال بتنی یا ورق‌های فلزی همراه با بتن‌آرمه رویه دارای نسبت دهانه به عرض 3 یا کمتر که دارای هیچ یک از نامنظمی‌های مندرج در بند ( 1-7-1) نباشند، ممکن است در این دسته قرار گیرند.

پ- سایر دیافراگم‌ها نیمه صلب محسوب شده و اثر سختی نسبی آن‌ها در توزیع نیروها بین اجزای سازه، باید با مدل کردن دیافراگم‌ها، در نظر گرفته شود.

2-8-3 در سازه‌های دارای دیافراگم‌های صلب و نیمه صلب در نظر گرفتن اثر لنگرهای پیچشی در ساختمان بر طبق بندهای (3-3-7-2) و (3-3-7-3) الزامی است.

3-8-3 دیافراگم‌های صلب و نیمه صلب باید برای تلاش‌های برشی و لنگرهای خمشی ناشی از نیروی مؤثر بر دیافراگم‌ها، مطابق رابطه (3-15) محاسبه شوند.

(15-3) نیروی جانبی وارد به دیافراگم در تراز i

در این رابطه:

Fpui: نیروی جانبی وارد به دیافراگم در تراز i

Wi: وزن دیافراگم و اجزای متصل به آن در تراز i، شامل قسمتی از بار زنده مطابق ضابطه بند (3-3-1-1)

Fuj و Wj: به ترتیب، نیروهای وارد به طبقه و وزن طبقه مطابق تعاریف بند (3-3-6) در رابطه فوق، حداقل مقدار Fpui برابر با AIWi 0.5 است و حداکثر آن لازم نیست بیشتر از AIWi در نظر گرفته شود.

4-8-3 در مواردی که دیافراگم علاوه بر نیروی زلزله طبقه، نیروی جانبی اعضای قائمی را که در قسمت بالا و پایین دیافراگم بر روی یکدیگر واقع نشده‌اند، به یکدیگر منتقل می‌نماید، مقدار این نیروها نیز باید به نیروی به دست آمده از رابطه (3-15) اضافه شود. در این موارد اثر ضریب نامعینی ρ سازه باید طبق ضوابط بند (3-3-2) برای محاسبه مقادیر این بخش از نیروها نیز در محاسبات منظور شود.

5-8-3 تلاش‌های داخلی و نیز تغییرشکل‌های ایجاد شده در دیافراگم‌ها باید با استفاده از روش‌های شناخته شده تحلیل سازه‌ها تعیین گردند. در دیافراگم‌های متعارف که دارای پلان نسبتاً منظمی بوده و فاقد بازشوهای بزرگ و نزدیک به هم باشند، این تلاش‌ها و تغییرشکل‌ها را می‌توان با فرض عملکرد دیافراگم به صورت تیر تیغه‌ای که بر روی تکیه‌گاه‌های ارتجاعی قرار گرفته است، تعیین نمود. کنترل مقاومت دیافراگم‌های بتن‌آرمه بر اساس ضوابط آیین‌نامه بتن ایران «آبا» و دیافراگم‌های ساخته شده از مصالح دیگر براساس ضوابط آیین‌نامه‌های مربوط تعیین می‌گردد.

6-8-3 در مواردی که تعبیه اجزای "جمع کننده" برای انتقال بار از دیافراگم به اجزای مقاوم در برابر بارهای جانبی ضروری باشد، طراحی آن‌ها و اتصالاتشان باید برای زلزله تشدید یافته (Ω0E) انجام شود.

7-8-3 در کلیه سازه‌های نامنظم در پلان به لحاظ هندسی، دیافراگم و خارج از صفحه بند (1-7-1) و یا نامنظم در ارتفاع به لحاظ قطع سیستم باربر جانبی بند (1-7-2) در پهنه‌های با خطر نسبی متوسط و بالاتر، نیروی طراحی اتصالات دیافراگم به اجزای قائم اجزای جمع کننده باید به میزان 25٪ افزایش یابد.

9-3 افزایش بارجانبی در اعضای خاص

در مواردی که سازه دارای نامنظمی در پلان از نوع " نامنظمی خارج از صفحه" یا نامنظمی در ارتفاع از نوع "نامنظمی در سختی جانبی" می‌باشد و دیوار یا ستون تا روی شالوده ادامه پیدا نمی‌کند، ستون‌ها، تیرها، خرپاها و یا کف‌هایی که این اعضا را تحمل می‌کنند، باید برای بارهای محوری اعضا ادامه نیافته تحت اثر زلزله تشدید یافته (Ω0E) طراحی شوند. اتصالات اعضای ادامه نیافته به سازه نگهدارنده باید قادر به تحمل بارهایی که این اعضا باید منتقل نمایند، باشند.

10-3 طراحی اجزای سازه‌ای که جزئی از سیستم باربر جانبی نیستند

در ساختمان‌های بلندتر از 5 طبقه تمام اجزای سازه‌ای که جزئی از سیستم باربر جانبی نیستند ولی از طریق دیافراگم‌های کف‌ها با سیستم باربر جانبی مرتبط هستند، باید برای اثر ناشی از تغییرمکان جانبی نسبی غیرخطی طرح طبقه، بند (3-5-2)، طراحی شوند. در این محاسبات، در صورت نیاز، اثر P-Δ باید منظور گردد.

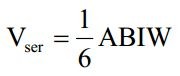
11-3 کنترل سازه برای بار زلزله سطح بهره‌برداری

1-11-3 ساختمان‌های «با اهمیت خیلی زیاد و زیاد» و یا بلندتر از 50 متر و یا بیشتر از 15 طبقه باید برای زلزله سطح بهره‌برداری کنترل شوند، به طوری که، مطابق تعریف بند (1-1-2)، قابلیت بهره‌برداری خود را در زمان وقوع زلزله حفظ نمایند. برای این منظور مشخصات سازه این ساختمان‌ها باید چنان باشد که تحت اثر ترکیب بارها در سطح بهره‌برداری، بدون اعمال ضریب بار، الزامات زیر را تأمین نمایند:

الف- در سازه‌های فولادی تنش‌های ایجاد شده در اعضا از حد رفتار ارتجاعی اعضا تجاوز ننماید. برای کنترل این موضوع در طراحی به روش تنش مجاز، تنش‌های ایجاد شده در اعضا نباید از 1.7 برابر مقادیر تنش مجاز عادی تجاوز نماید. در این حالت نباید افزایش مجدد 33٪ در تنش‌های مجاز صورت گیرد. در طراحی به روش حدی تلاش‌های ایجادشده در اعضا نباید از مقاومت نهایی اسمی اعضا، بدون اعمال ضرایب کاهش مقاومت، تجاوز نماید.

ب- در سازه‌های بتن‌آرمه تلاش‌های ایجاد شده در اعضاء، بدون اعمال ضرایب کاهش مقاومت، از مقاومت نهایی اسمی آن‌ها تجاوز نکند. تغییرمکان‌های نسبی ارتجاعی بهره‌برداری طبقات محدودیت بند (3-5-4) را رعایت نماید.

2-11-3 در زلزله سطح بهره‌برداری "تغییرمکان جانبی نسبی بهره‌برداری" که از تحلیل خطی سازه تحت اثر نیروی زلزله مذکور به دست می‌آید، نباید از 0.005 ارتفاع آن طبقه بیشتر باشد. این محدودیت را در مواردی که نوع و نحوه به‌کارگیری مصالح و سیستم اتصال قطعات غیرسازه‌ای به گونه‌ای باشد که این قطعات بتوانند در برابر تغییرمکان جانبی بیشتر، بدون خسارات عمده، بر جا بمانند می‌توان تا 0.008 ارتفاع طبقه افزایش داد.

3-11-3 مشخصات حرکت زمین در زلزله سطح بهره‌برداری باید مشابه زلزله طرح، بند (3-3)، در نظر گرفته شود، با این تفاوت که شتاب مبنای طرح A در آن به یک ششم مقدار خود کاهش داده شود. در مقابل ضریب رفتار R در محاسبه نیروی جانبی زلزله برابر با یک منظور می‌گردد. به این ترتیب در روش تحلیل استاتیکی معادل مقدار برش پایه در این سطح از رابطه (3-16) محاسبه می‌شود.

(16-3) برش پایه در روش تحلیل استاتیکی معادل

پارامترهای W, I, B,A تعاریف معمول بند (3-3-1) را دارند.

12-3 ترکیب نیروی زلزله با سایر بارها

نیروهای زلزله که بر اساس ضوابط بندهای مختلف این فصل محاسبه می‌شوند، باید بر طبق ضوابط مبحث ششم مقررات ملی ساختمان با سایر بارهای وارد بر ساختمان، ترکیب شوند.

1-12-3 در صورتی که طراحی سازه به روش تنش مجاز انجام شود، در ترکیب بارهای زلزله طرح با سایر بارها، بارهای جانبی و قائم زلزله باید مطابق بند (3-3-1-1) بر ضریب 1.4 تقسیم شوند.

در حالتی که بر طبق آیین‌نامه طراحی، نیروی زلزله باید با در نظر گرفتن اثر اضافه مقاومت در کنترل اجزای سازه مورد استفاده قرار گیرد، بار جانبی زلزله طرح باید پس از ضرب در 0.7 در ضریب اضافه مقاومت ضرب شده و در ترکیب بارها لحاظ شود ولی نیازی به در نظر گرفتن ضریب اضافه مقاومت در مؤلفه قائم زلزله نمی‌باشد.

2-12-3 در صورتی که طراحی سازه بر اساس مقاومت انجام شود، در ترکیب بارهای زلزله طرح با سایر بارها، بارهای جانبی و قائم زلزله باید با ضریب بار 1.0 در نظر گرفته شوند.

در حالتی که بر طبق آیین‌نامه طراحی، نیروی زلزله باید با در نظر گرفتن اثر اضافه مقاومت در کنترل اجزای سازه مورد استفاده قرار گیرد، بار جانبی زلزله طرح باید در ضریب اضافه مقاومت ضرب شده و در ترکیب بارها لحاظ شود و نیازی به در نظر گرفتن ضریب اضافه مقاومت در مؤلفه قائم زلزله نمی‌باشد.

در طراحی سازه‌های بتنی که بر اساس آیین‌نامه بتن ایران "آبا" طراحی می‌شوند، مقادیر بار زلزله باید در ضریب 0.85 ضرب شده و در ترکیبات بار مورد استفاده قرار گیرد.

13-3 روش ساده شده تحلیل و طراحی

1-13-3 تحلیل و طراحی سازه برخی از ساختمان‌ها در برابر زلزله را می‌توان با استفاده از روش ساده شده انجام داد. موارد کاربرد این روش و جزئیات آن در بندهای زیر توضیح داده شده است. در کاربرد این روش لازم است الزامات ژئوتکنیکی فصل ششم، معماری، پیکربندی سازه‌ای و ضوابط کلی طراحی ساختمان‌ها در برابر زلزله به شرح مندرج در بندهای (1-3)، (1-4) و (1-5) این استاندارد نیز مورد توجه قرار گیرد.

2-13-3 روش ساده شده تحلیل را تنها در مورد ساختمان‌هایی که تمام شرایط زیر را دارا باشند، می‌توان به کار برد.

الف – ساختمان دارای کاربری مسکونی، اداری یا تجاری بوده و بر روی زمین‌های نوع II، I یا III واقع شده باشد.

ب- ارتفاع ساختمان از 3 طبقه از تراز پایه بیشتر نباشد و نسبت طول به عرض آن در پلان از سه تجاوز ننماید.

پ- سیستم مقاوم در برابر نیروهای جانبی یکی از سیستم‌های مندرج در ردیف‌های الف یا ب جدول (3-4) این استاندارد باشد. در این ساختمان‌ها تغییر سیستم سازه‌ای در ارتفاع بالاتر از تراز پایه نباید وجود داشته باشد.

ت- دیافراگم‌های سازه از نوع دال بتنی یکطرفه یا دو طرفه و یا تیرچه‌های فولادی یا بتنی به همراه دال بتنی باشد و مجموع سطوح بازشو در هر دیافراگم از 20٪ سطح کل دیافراگم تجاوز نکند. بام ساختمان از این شرط مستثنا بوده و می‌تواند از نوع سبک یا شیب‌دار هم باشد.

ث – سیستم باربر جانبی یعنی دیوارهای برشی و یا دهانه‌های مهاربندی شده در هر امتداد ساختمان، حداقل در دو محور قرار گرفته باشد و هر یک از این محورها در یک طرف مرکز جرم ساختمان باشد. ضمن امتداد محورهای مذکور با محورهای متعامد اصلی ساختمان بیشتر از 15ºزاویه نداشته باشد.

ج- در هر طبقه فاصله بین مرکز جرم و مرکز سختی در هر یک از دو امتداد متعامد ساختمان از 20٪ بعد ساختمان در آن امتداد بیشتر نباشد.

چ – ساختمان در پلان شرایط نامنظمی خارج از صفحه سیستم باربر جانبی، موضوع بند ( 1-7-1-ت) و در ارتفاع نامنظمی هندسی، جرمی و سیستم باربر جانبی موضوع بندهای ( 1-7-2- الف، ب و پ) را دارا نباشد.

3-13-3 در روش ساده شده تحلیل، نیروی جانبی ناشی از زلزله محاسبه شده و با اعمال آن به صورت استاتیکی معادل در هر امتداد ساختمان، مدل سازه با فرض رفتار خطی تحلیل می‌شود. تلاش‌های حاصل در اعضا پس از ترکیب با نیروهای حاصل از سایر و بارها، بر طبق آیین‌نامه‌های طراحی کنترل می‌گردد.

1-3-13-3 نیروی برش پایه

نیروی برشی پایه از رابطه (3-1) محاسبه می‌شود، با این تفاوت که در این روش c، ضریب زلزله، از رابطه (3-17) به دست می‌آید،

(17-3) ضریب زلزله

I، A و Ru ضرایب تعریف شده در بند (3-3-1) می‌باشند.

B: ضریب بازتاب ساختمان است که در روش ساده شده برابر B=S+1 در نظر گرفته می‌شود. ضریب S با توجه به نوع زمین و پهنه‌بندی خطر زلزله با استفاده از جدول (2-2) تعیین می‌شود.

F: ضریبی است که برای ساختمان‌های 1 الی 3 طبقه به ترتیب برابر 1، 1.1 و 1.2 در نظر گرفته می‌شود.

2-3-13-3 توزیع نیروی جانبی زلزله در ارتفاع ساختمان

نیروی برش پایه که طبق بند فوق محاسبه شده است، مطابق رابطه (3-18) در ارتفاع ساختمان توزیع می‌گردد.

(18-3) توزیع نیروی جانبی زلزله در ارتفاع ساختمان

در این رابطه Wiبخشی از وزن مؤثر لرزه‌ای ساختمان است که به تراز طبقه i نسبت داده شده است.

3-3-13-3 توزیع نیروی برشی زلزله در پلان ساختمان

با توجه به صلب بودن دیافراگم‌ها، نیروهای جانبی محاسبه شده طبق بند (3-13-3-2) در ترازهای مختلف در محل مرکز جرم طبقه به ساختمان اعمال شده و سازه تحلیل می‌شود. در این حالت نیروی برشی ایجادشده در طبقات به همراه اثر ناشی از پیچش ایجادشده به علت برون مرکزی مراکز جرم و سختی، در هر طبقه به تناسب سختی بین عناصر مختلف سیستم مقاوم در برابر نیروهای جانبی توزیع می‌گردد. در مورد بام ساختمان‌هایی که از نوع سبک یا شیب‌دار می‌باشند، نیروی جانبی باید با توجه به توزیع جرم در سقف به سازه اعمال شود و توزیع آن بین عناصر مختلف سیستم مقاوم در برابر نیروهای جانبی با توجه به صلبیت نسبی دیافراگم انجام شود.

4-13-3 کنترل تغییرمکان جانبی نسبی طبقات در روش ساده شده تحلیل ضروری نیست. چنانچه محاسبه این تغییرمکان به منظور کنترل اجزای غیرسازه ای، تعیین درز انقطاع و یا استفاده‌های محاسباتی دیگر نیاز باشد، مقدار تغییرمکان جانبی غیرخطی طرح را می‌توان 0.01 ارتفاع در نظر گرفت. البته در صورت استفاده از ضوابط بند (3-5)، می‌توان مقدار محاسباتی را برای منظور فوق در نظر گرفت.

5-13-3 در مواردی که استفاده از ضریب اضافه مقاومت برای کنترل اجزایی از سازه بر طبق ضوابط آیین‌نامه‌های طراحی ضروری باشد، ویاسازه مشمول بند (3-9) این استاندارد باشد، این ضریب در روش ساده شده برابر 2.5 فرض می‌شود.

6-13-3 در روش ساده شده، تحلیل سازه با فرض تکیه‌گاه صلب صورت می‌پذیرد. شالوده ساختمان در این روش باید به گونه‌ای طراحی شود که ضریب اطمینان در مقابل واژگونی، یعنی نسبت لنگر مقاوم به لنگر واژگونی حاصل از نیروهای جانبی، حداقل برابر یک باشد.

7-13-3 در روش ساده شده، اثر نیروی قائم ناشی از زلزله بر سازه باید بر اساس ضوابط بند (3-3-9) این استاندارد در طراحی سازه و اجزای آن در نظر گرفته شود.

مشخصات آیین‌نامه

تعداد فصول: 15 فصل
سال انتشار: 1393
ویرایش: چهارم

جستجو در آیین‌نامه‌ها

ناشرین آیین‌نامه‌ها

مقررات ملی ساختمان

قوانین، آیین‌نامه‌ها، شیوه‌نامه‌ها، دستورالعمل‌ها و بخشنامه‌های ساختمان

نظام مهندسی ساختمان

ضوابط، بخشنامه‌ها، نشریه‌ها و معیار‌های فنی نظام مهندسی ساختمان

مرکز تحقیقات راه، مسکن و شهرسازی

قوانین، آیین‌نامه‌ها و بخشنامه‌های مرکز تحقیقات راه، مسکن و شهرسازی

سازمان برنامه و بودجه کشور

ضوابط، بخشنامه‌ها و قوانین سازمان برنامه و بودجه کشور

سازمان ملی استاندارد ایران

استانداردهای کمیته‌های مختلف سازمان ملی استاندارد ایران

سازمان تامین اجتماعی کشور

مقررات و آیین‌نامه‌های درمانی و بیمه‌ای سازمان تامین اجتماعی کشور

ضوابط فنی و اجرایی شهرداری‌ها

ضوابط، بخشنامه‌ها، نشریه‌ها و معیار‌های فنی شهرداری‌های کشور

ضوابط فنی و اجرایی وزارت بهداشت

ضوابط، بخشنامه‌ها، نشریه‌ها و معیار‌های فنی وزارت بهداشت

ضوابط فنی و اجرایی وزارت نیرو-آبفا

ضوابط، بخشنامه‌ها، نشریه‌ها و معیار‌های فنی وزارت نیرو-آبفا

ضوابط سازمان بنادر و دریانوردی

ضوابط، بخشنامه‌ها، نشریه‌ها و معیار‌های فنی سازمان بنادر و دریانوردی

ضوابط فنی و اجرایی وزارت نفت

ضوابط، بخشنامه‌ها، نشریه‌ها و معیار‌های فنی وزارت نفت

قوانین و مقررات مالیاتی کشور

قوانین، مقررات، ضوابط و دستورالعمل‌هاى مالیاتى سازمان مالیات كشور

تازه‌ترین فصل‌ها

واژه‌نامه

مبحث هفدهم مقررات ملی ساختمان (سامانه گاز طبیعی در ساختمان)

پیوست ۶ دسته‌بندی نوع دستگاه‌‌‌های گازسوز

مبحث هفدهم مقررات ملی ساختمان (سامانه گاز طبیعی در ساختمان)

پیوست 5 شکل‌ها

مبحث هفدهم مقررات ملی ساختمان (سامانه گاز طبیعی در ساختمان)

پیوست 4 جدول‌ها

مبحث هفدهم مقررات ملی ساختمان (سامانه گاز طبیعی در ساختمان)

پیوست 3 ایمنی و ضوابط بهره‌برداری و نگهداری از سیستم لوله‌‌کشی گاز

مبحث هفدهم مقررات ملی ساختمان (سامانه گاز طبیعی در ساختمان)

پیوست 2 نمونه محاسبات

مبحث هفدهم مقررات ملی ساختمان (سامانه گاز طبیعی در ساختمان)

پیوست 1 راهنمای ایمنی

مبحث هفدهم مقررات ملی ساختمان (سامانه گاز طبیعی در ساختمان)