پیوست 1 : روش تعیین شاخص کاهش صدای یک جداکننده مرکب
پ-1-1 روش محاسبه
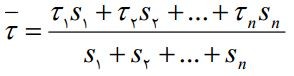
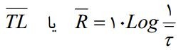
برای محاسبه شاخص کاهش صدا (R) یا افت تراگسیل (TL) یک جداکننده مرکب، از مقادیر شاخص کاهش صدای جداکنندههای ساده تشکیلدهنده آن که از طرف آزمایشگاههای آکوستیک ارائه شده استفاده میگردد. ابتدا با داشتن شاخص کاهش صدای جداکننده ساده و با توجه به رابطه (پ-1-1) که وابستگی متقابل بین ضریب تراگسیل و شاخص کاهش صدای هر جداکننده را مشخص میکند، ضریب تراگسیل جداکننده ساده محاسبه میشود.
| (پ-1-1) |
که در آن:
R: شاخص کاهش صدای جداکننده، برحسب دسی بل؛
: ضریب تراگسیل جداکننده.
سپس با داشتن ضریب تراگسیل برای هر جداکننده ساده و با استفاده از رابطه (پ-1-2) ضریب تراگسیل جداکننده مرکب محاسبه میشود.
| (پ-1-2) |
که در آن:
: ضریب تراگسیل جداکننده مرکب؛
: ضریب تراگسیل هر یک از جداکنندههای ساده تشکیلدهنده جداکننده مرکب؛
: سطح هر یک از جدا کنندههای ساده تشکیلدهنده جداکننده مرکب، بر حسب متر مربع.
با قرار دادن در رابطه (پ-1-3) شاخص کاهش صدای جداکننده مرکب محاسبه میگردد.
| (پ-1-3) |
که در آن:
: ضریب تراگسیل صدای جداکننده مرکب؛
: شاخص کاهش صدای جداکننده مرکب، برحسب دسی بل.
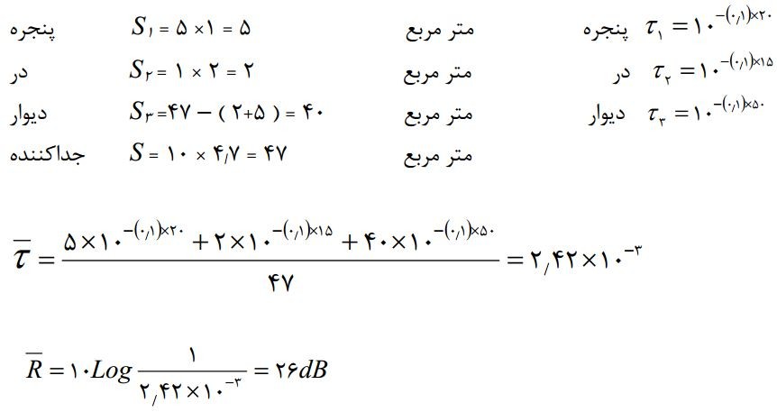
به عنوان مثال: جداکننده مرکبی به ابعاد 4/7 × 10 متر شامل دیوار آجری به ضخامت 22 سانتیمتر، یک در به ابعاد 2×1 متر و پنجرهای به ابعاد 1×5 متر است. در صورتی که شاخص کاهش صدای وزن یافته دیوار، در و پنجره به ترتیب 50، 15 و 20 دسیبل باشد، شاخص کاهش صدای وزن یافته این جداکننده مرکب به صورت زیر محاسبه میشود:
حل:
پ-1-2 روش تخمینی با استفاده از نمودار
در مواردی که سرعت محاسبه از دقت آن اهمیت بیشتری دارد، میتوان مقدار شاخص کاهش صدای جداکننده مرکب را با استفاده از نمودارهای شکل پ-1-1- تخمین زد. محدودیت این روش، این است که از مجموعه ساختارهای یک جدار مرکب در هر مرحله دو ساختار در نظر گرفته شده و نتیجه به دست آمده با ساختار بعدی مورد بررسی قرار میگیرد.

شکل پ-1-1: نمودار تخمین شاخص کاهش صدای جداکننده مرکب
در شکل پ-1-1:
R1: شاخص کاهش صدای ساختاری که افت صوتی بیشتری دارد؛
R2: شاخص کاهش صدای ساختاری که افت صوتی کمتری دارد؛
S1: سطح جداری که افت صوتی بیشتری دارد؛
S1: سطح جداری که افت صوتی کمتری دارد؛
R: شاخص کاهش صدای جدار مرکب.
به عنوان نمونه، جواب مثالی را که در بند پ-1-1- مطرح شده است میتوان به روش تخمینی به دست آورد. بدین منظور ابتدا دیوار به عنوان یک ساختار و پنجره به عنوان ساختاری دیگر در نظر گرفته شده و به صورت زیر عمل میشود:
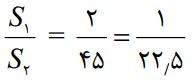
الف: اختلاف دو کاهش صدای دیوار و پنجره را به دست آورده (R1-R2=50-20=30) و سپس منحنی 30 از روی شکل مشخص میگردد.
ب: نسبت دو سطح تشکیلدهنده دیوار و پنجره را به دست آورده () و از نقطه مربوط به این نسبت در روی محور عمودی خطی به موازات محور افقی رسم کرده تا نمودار اختلاف 30 دسیبل را قطع کند. از محل تلاقی به دست آمده خطی عمود بر محور افقی رسم کرده تا محور «کسر شده از شاخص کاهش صدا» را قطع کند. در نتیجه شاخص کاهش صدای مرکب R، به صورت زیر به دست میآید:
R= 50-20=30 ⇒ 50-R= 20 ⇒ R1-R=20
مراحل فوق روی شکل پ-1-2- نشان داده شده است.

شکل پ-1-2 نمودار تخمین شاخص کاهش صدای جداکننده مرکب
در ادامه به همین روش ساختار مرکب دیوار و پنجره به عنوان یک ساختار و ساختار در به عنوان ساختاری دیگر در نظر گرفته میشود:
جدا کننده S1=10×4/7 =47 متر مربع
در S1=1×2=2 متر مربع
دیوار و پنجره S2=47-(2)=45 متر مربع
R1-R2= 30- 15= 15 و R1-R=4 ⇒ R= 30-4=26
مراحل فوق روی شکل پ-1-3 نشان داده شده است.

شکل پ-1-3: نمودار تخمین شاخص کاهش صدای جداکننده مرکب
در نتیجه مقدار افت صوتی جداکننده مرکب از روش تخمینی 26 دسیبل و از روش محاسبه نیز 26 دسیبل به دست آمده است.