1-18 کلیات
1-1-18 هدف
هدف از تدوین این مقررات تعیین مقادیر مجاز برای شاخصهای اصلی مورد نیاز در طراحی آکوستیکی ساختمان، در راستای فراهم آوردن صدابندی و صدارسانی مطلوب در ساختمانها است تا از این طریق، آسایش و شرایط مناسب شنیداری تأمین شود.
2-1-18 حدود و نحوه کاربرد
رعایت این مقررات در مورد کاربریهای ساختمانی عنوان شده در بند 18-2-1-1 الزامی است. همچنین این مقررات در تمام ساختمانهای کوتاه مرتبه و بلند مرتبه بدون در نظر گرفتن تعداد طبقه و محاسبات اضافه، قابل اجرا میباشد.
1-2-1-18 تراز نوفه زمینه، زمان واخنش و شاخص وضوح گفتار تعیین شده برای فضاهای مختلف که در بند 18-2 ارائه شدهاند، مربوط به شرایط تحویل میباشد.
2-2-1-18 روش اندازهگیری مربوط به تراز نوفه زمینه، زمان واخنش، وضوح گفتار و شاخصهای صدابندی جدارها، باید براساس استانداردهای ملی ایران باشد و در صورت عدم وجود استاندارد ملی، باید استانداردهای بینالمللی تأیید شده و معتبر، ملاک عمل قرار گیرد.
چنانچه در مدت اعتبار این مبحث، استانداردها و معیارهای جدیدی به تصویب برسد، جانشین استانداردها و معیارهای مشابه در این مبحث خواهد شد.
3-1-18 تعاریف
1-3-1-18 تراز شدت صدا، LI
تراز شدت صدا عبارت است از ده برابر لگاریتم (بر پایه ده) نسبت شدت صدا به شدت صدای مبنا برحسب دسی بل، که از معادله (1) به دست میآید:
| (1) |
که در آن:
I: شدت مؤثر صدای مورد نظر، برحسب وات بر متر مربع؛
I0: شدت مؤثر صدای مبنا که مقدار آن برابر است با 12-10 وات بر متر مربع.
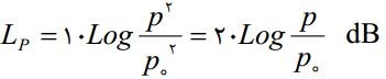
2-3-1-18 تراز فشار صدا، Lp
تراز فشار صدا عبارت است از ده برابر لگاریتم (بر پایه ده) نسبت مربع فشار صدا به مربع فشار صدای مبنا برحسب دسی بل، که از معادله (2) به دست میآید:
| (2) |
که در آن:
p: فشار صدای مؤثر مورد نظر، برحسب پاسکال؛
p0: فشار صدای مؤثر مبنا که مقدار آن برابر است با 5-10×2 پاسکال.
یادآوری 1: فشار صدای مؤثر مبنا و شدت صدای مؤثر مبنا نشان دهنده آستانه شنوایی گوش انسان است.
یادآوری 2: از آنجائی که مقدار عددیتر از فشار صدا و تراز شدت صدا با یکدیگر برابرند، در هر دو مورد میتوان از واژه "تراز صدا" استفاده کرد.
3-3-1-18 تراز فشار صدای وزن یافته LPA ،A
تراز فشار صدای وزن یافته A، از معادله (3) برحسب دسیبل محاسبه میشود:
| (3) |
که در آن:
pA: فشار صدای وزن یافته براساس شبکه وزنی A، بر حسب پاسکال؛
p0: فشار صدای مؤثر مبنا که مقدار آن برابر است با 5-10×2 پاسکال؛
4-3-1-18 تراز صدای معادل، Leq
تراز صدای معادل یک موج صوتی غیریکنواخت، عبارت است از مقدارتر از فشار صدای پیوسته و پایدار که در یک مدت زمان مشخص T، دارای همان فشار صدای مؤثری باشد که صدای مورد نظر با تراز متغیردارد. این کمیت از معادله (4) برحسب دسیبل به دست میآید:
| (4) |
که در آن:
p(t): فشار صدای لحظهای برحسب پاسکال
p0: فشار صدای مؤثر مبنا که مقدار آن برابر است با 5-10×2 پاسکال؛
T: مدت زمان اندازهگیری تراز صدا، برحسب ثانیه.
یادآوری: "تراز صدای معادل": عبارت اختصاری برای "تراز فشار صدای معادل پیوسته" است، که در برخی مراجع به عنوان "تراز صدای میانگین" نیز قید شده است.
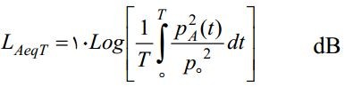
5-3-1-18 تراز صدای معادل وزن یافته LAeqT ،A
این کمیت تراز معادل فشار صدای پیوستهای است که پیش از مربع کردن و میانگینگیری، با اعمال شبکه A، وزندهی شده است. مقدار این کمیت از معادله (5) برحسب دسیبل محاسبه میشود:
| (5) |
که در آن:
pA(t): فشار صدای لحظهای وزن یافته با شبکه وزنی A، برحسب پاسکال؛
p0: فشار صدای مؤثر مبنا که مقدار آن برابر است با 5-10×2 پاسکال؛
T: مدت زمان اندازهگیری تراز صدا، برحسب ثانیه.
یادآوری: در این مقررات، مدت زمان اندازهگیری برابر با 30 دقیقه (معادل 1800 ثانیه) در نظر گرفته شده است.
6-3-1-18 تراز فشار صدای کوبهای معمول شده، Ln
این شاخص، بیانگر میزان تراز فشار صدای کوبهای تراگسیل یافته از سقف است و از معادله (6) برحسب دسیبل به دست میآید:
| (6) |
که در آن:
Li: تراز فشار صدای میانگین در یک بند یک سوم هنگامی در اتاق دریافت برحسب دسی بل؛
A: سطح معادل جذب اندازهگیری شده در اتاق دریافت، برحسب متر مربع؛
A0: سطح معادل جذب مبنا، برابر با 10 متر مربع.
یادآوری: در آزمایشگاه صدابندی، این کمیت بر اساس استاندارد ملی ایران 6-8568 و در شرایط میدانی بر اساس استاندارد ملی ایران 7-8568 به دست میآید. اندازهگیری کاهش تراگسیل صدای کوبهای توسط کف پوشها بر اساس استاندارد ملی ایران 8-8568 انجام میشود.
7-3-1-18 تراز فشار صدای کوبهای معمول شده وزن یافته، Lnw
تراز فشار صدای کوبهای معمول شده وزن یافته کمیتی است تک عددی برای درجهبندی صدابندی سقف-کف در برابر صدای کوبهای که بر اساس نتایج اندازهگیریهای تراز فشار صدای کوبهای معمول شده در بسامد بندهای یک سوم هنگامی به دست میآید. این کمیت، برابر است با مقدار نمودار مبنا برای صدای کوبهای در بسامد 500 هرتز، پس از لغزاندن آن به روشی که در استاندارد ملی ایران 2-8834 مشخص شده است. مقادیر مبنا برای صدای کوبهای در جدول 18-1-3-1 و نمودار شکل 18-1-3-1 ارائه شده است.
جدول 18-1-3-1: مقادیر مبنا برای صدای کوبه ای
| بسامد بر حسب هرتز | مقادیر مبنا بر حسب دسی بل | |
| بندهای یک سوم هنگامی | بندهای یک هنگامی | |
| 100 | 62 | 67 |
| 125 | 62 | |
| 160 | 62 | |
| 200 | 62 | 67 |
| 250 | 62 | |
| 315 | 62 | |
| 400 | 61 | 65 |
| 500 | 60 | |
| 630 | 59 | |
| 800 | 58 | 62 |
| 1000 | 57 | |
| 1250 | 54 | |
| 1600 | 51 | 49 |
| 2000 | 48 | |
| 2500 | 45 | |
| 3150 | 42 | |
شکل 18-1-3-1: نمودار مقادیر مبنا برای صدای کوبه ای، در بندهای یک سوم هنگامی
با توجه به آنکه هر چقدر میزان صدای تراگسیل شده کمتر باشد، صدابندی بهتری حاصل میشود، بنابراین کاهش Lnw بیانگر افزایش صدابندی در برابر صدای کوبهای است.
شاخص تک عددی دیگری که برای بیان صدابندی سقف در برابر صدای کوبهای به کار میرود، بر اساس استاندارد ASTM E989 درجه صدابندی کوبه ای، IIC است. افزایش IIC نشان دهنده افزایش صدابندی در برابر صدای کوبهای است.
رابطه بین IIC و Lnw در معادله (7) نشان داده شده است:
| (7) | IIC= 110-Lnw |
8-3-1-18 تراگسیل صدای کوبهای
هرگاه جداکنندهای در اثر کوبش به ارتعاش درآید، نحوه انتقال صدای اولیه به فضای مورد نظر را تراگسیل صدای کوبهای از طریق آن جدا کننده گویند. مانند صدای راه رفتن بر روی کف که به طبقه پایین منتقل شود (شکل 18-1-3-2).
شکل 18-1-3-2: تراگسیل صدای کوبهای از طریق کف – سقف
9-3-1-18 تراگسیل صدای هوابرد
هرگاه جدا کنندهای به وسیله امواج صدای هوابرد به ارتعاش درآید، نحوه انتقال صدای اولیه به فضای مورد نظر را تراگسیل صدای هوابرد از طریق آن جدا کننده گویند. مانند صدای آموزگار که از یک کلاس درس به کلاس مجاور انتقال مییابد (شکل 18-1-3-3).
شکل 18-1-3-3: تراگسیل صدای هوابرد از طریق یک جداکننده
10-3-1-18 جداکننده ساده
جداکننده ساده به جدا کنندهای گفته میشود که در مقطع از یک یا چند لایه تشکیل شده است چگالی سطحی (جرم واحد سطح) آن در تمام نقاط یکسان است. مانند در، پنجره، دیوار آجری با اندود گچ و خاک یا دیوار دوجداره آجری.
11-3-1-18 جداکننده مرکب
جدا کننده مرکب به جدا کنندهای گفته میشود که سطح آن از دو یا چند جداکننده ساده تشکیل شده باشد. مانند پوسته خارجی ساختمان که ترکیبی از دیوار، در و پنجره است.
یادآوری: نحوه محاسبه شاخص کاهش صدا برای جداکننده مرکب، در پیوست 1 ارائه شده است.
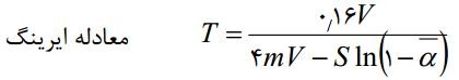
12-3-1-18 زمان واخنش، T
زمان واخنش در یک فضای بسته، مدت زمانی است که پس از قطع منبع صدا، تراز فشار صدا 60 دسیبل افت کند. زمان و واخنش با توجه به مشخصات فضا با استفاده از یکی از دو معادله (8) یا (9) محاسبه میشود:
| (8) | |
| (9) |
که در آن:
T: زمان واخنش اتاق، برحسب ثانیه؛
S: مجموعه سطوح اتاق، برحسب متر مربع؛
V: حجم اتاق، برحسب متر مکعب؛
A: سطح معادل جذب کنندههای اتاق، برحسب متر مربع؛
m: جذب طولی هوا برحسب متر به توان منفی یک؛
: ضریب جذب میانگین اتاق؛
ln: لگاریتم در پایه e
یادآوری 1: سطح معادل جذب کنندهها، A و ضریب جذب میانگین،، از معادلههای (10) و (11) محاسبه میشود:
| (10) | |
| (11) |
که در آن:
αi : ضریب جذب صوتی هر یک از سطوح موجود در اتاق؛
si : مساحت هر یک از سطوح موجود در اتاق، برحسب متر مربع.
یادآوری2: در صورتی که باشد، نتایج حاصل از فرمول ایرینگ دقیقتر است.
یادآوری3: در برخی از مراجع رابطه زمان واخنش به ساده شده است.
یادآوری 4: زمان واخنش یک فضای بسته بر اساس استاندارد ملی ایران شماره 12519 اندازهگیری میشود.
13-3-1-18 شاخص تراگسیل گفتار، STI
شاخص تراگسیل گفتار، شاخصی برای سنجش و تعیین وضوح گفتار در یک فضا است. این کمیت به نوفه زمینه، زمان واخنش و فاصله شنونده از منبع صدا بستگی دارد و بر اساس استاندارد IEC 60268-16 اندازهگیری و محاسبه میشود.
14-3-1-18 شاخص کاهش صدا، R
این شاخص بیانگر میزان صدابندی جداکننده در برابر صدای هوابرد است (اصطلاح "افت تراگسیل صدا" (TL) که همچنان در برخی کشورها مورد استفاده قرار میگیرد، معادل با "شاخص کاهش صدا" است). شاخص کاهش صدا یا افت تراگسیل صدا از معادله (12) برحسب دسیبل تعیین میشوند:
| (12) |
که در آن:
W1: توان صدای فرودی بر روی جداکننده تحت آزمون، برحسب وات؛
W2: توان صدای تراگسیل شده از طریق آزمونه، برحسب وات؛
: ضریب تراگسیل جداکننده.
یادآوری: در آزمایشگاه صدابندی، این کمیت بر اساس استاندارد ملی ایران 3-8568 و در شرایط میدانی بر اساس استاندارد ملی ایران 4 – 8568 به دست میآید. اندازهگیری صدابندی نمای ساختمان بر اساس استاندارد ملی ایران 5-8568 انجام میشود.
15-3-1-18 شاخص کاهش صدای وزن یافته، Rw
شاخص کاهش صدای وزن یافته، کمیتی تک عددی برای درجهبندی صدابندی جداکننده در برابر صدای هوابرد است که بر اساس نتایج اندازهگیریهای شاخص کاهش صدا در بسامد بندهای یک سوم هنگامی به دست میآید. مقدار این کمیت، برابر است با مقدار نمودار مبنا در بسامد 500 هرتز، پس از لغزاندن آن به روشی که در استاندارد ملی ایران 1-8834 مشخص شده است. مقادیر مبنا برای صدای هوابرد در جدول 18-1-3-2 و نمودار شکل 18-1-3-4 ارائه شده است.
جدول 18-1-3-2 مقادیر مبنا برای صدای هوابرد
| بسامد بر حسب هرتز | مقادیر مبنا بر حسب دسی بل | |
| بندهای یک سوم هنگامی | بندهای یک هنگامی | |
| 100 | 33 | 36 |
| 125 | 36 | |
| 160 | 39 | |
| 200 | 42 | 45 |
| 250 | 45 | |
| 315 | 48 | |
| 400 | 51 | 52 |
| 500 | 52 | |
| 630 | 53 | |
| 800 | 54 | 55 |
| 1000 | 55 | |
| 1250 | 56 | |
| 1600 | 56 | 56 |
| 2000 | 56 | |
| 2500 | 56 | |
| 3150 | 56 | |
شکل 18-1-3-4 نمودار مقادیر مبنا برای صدای هوابرد، در بندهای یک سوم هنگامی
شاخص تک عددی دیگری که برای بیان صدابندی جداکننده در برابر صدای هوابرد به کار میرود، بر اساس استاندارد ASTM E413 درجه تراگسیل صدا STC است که مقدار آن از نظر عددی تقریباً برابر با Rw است.
16-3-1-18 شاخصهای اندازهگیری نوفه زمینه
مقدار صدای یک منبع صوتی یا نوفه زمینه در یک فضا معمولاً به دو روش تک عددی و یا نموداری ارائه میشود که به طور مختصر به شرح زیر میباشد:
1-16-3-1-18 شاخص تک عددی
شاخص تک عددی شاخصی است کهتر از نوفه زمینه را به وسیله یک عدد تنها بیان میکند. در این مقررات از شاخص تراز صدای معادل در شبکه وزنی (LAqeT) A استفاده شده است.
2-16-3-1-18 شاخص نموداری
این شاخص، نوفه زمینه را در بسامدهای مختلف مورد بررسی قرار میدهد و معمولاً برای فضاهایی مانند سالنهای سخنرانی، سینما، آمفی تأتر و امثال آنها به کار برده میشود. در این مقررات نمودارهای برسنج ترجیحی نوفه (PNC) برای اندازهگیری نوفه در فضاهای داخلی مورد استفاده قرار میگیرند. نمودارهای PNC برای سنجش میزان قابل قبول بودن نوفه ناشی از تهویه و دیگر منابع نوفه زمینه در گستره وسیع بسامدی به کار میرود. در این روش تراز صدا به وسیله صافیهای صوتی در یک گسترۀ بسامدی (معمولاً 31/5 تا 8000 هرتز) اندازهگیری و به صورت نمودار ارائه میشود. سپس با نمودارهای برسنج ترجیحی نوفه (PNC) که در این مقررات ارائه شده، مقایسه و درجهبندی میگردد (جدول 18-1-3-3 و شکل 18-1-3-5).
جدول 18-1-3-3: مقادیر تراز فشار صدا مربوط به نمودارهای برسنج ترجیحی نوفه، PNC
| ترازهای فشار صدا، بر حسب دسی بل | شماره نمودارهای PNC | ||||||||
| بسامدهای مرکزی بندهای یک هنگامی، بر حسب هرتز | |||||||||
| 8000 | 4000 | 2000 | 1000 | 500 | 250 | 125 | 63 | 5/31 | |
| 8 | 8 | 10 | 15 | 21 | 28 | 35 | 43 | 58 | PNC-15 |
| 13 | 13 | 15 | 20 | 26 | 32 | 39 | 46 | 59 | PNC-20 |
| 18 | 18 | 20 | 25 | 31 | 37 | 43 | 49 | 60 | PNC-25 |
| 23 | 23 | 25 | 30 | 35 | 41 | 46 | 52 | 61 | PNC-30 |
| 28 | 28 | 30 | 35 | 40 | 45 | 50 | 55 | 62 | PNC-35 |
| 33 | 33 | 36 | 40 | 45 | 50 | 54 | 59 | 64 | PNC-40 |
| 38 | 38 | 41 | 45 | 50 | 54 | 58 | 63 | 67 | PNC-45 |
| 43 | 43 | 46 | 50 | 54 | 58 | 62 | 66 | 70 | PNC-50 |
| 48 | 48 | 51 | 55 | 59 | 62 | 66 | 70 | 73 | PNC-55 |
| 53 | 53 | 56 | 59 | 63 | 66 | 69 | 73 | 76 | PNC-60 |
| 58 | 58 | 61 | 64 | 67 | 70 | 73 | 76 | 79 | PNC-65 |
شکل 18-1-3-5: نمودارهای برسنج ترجیحی نوفه PNC
17-3-1-18 شبکه وزنی A
شبکه وزنی A، شبکهای است که به طور تقریبی پاسخ بسامدی گوش انسان را در بسامدهای مختلف به وسیله یک مدار الکترونیکی در دستگاه ترازسنج صدا تقلید کرده و بر روی صدای مورد اندازهگیری اعمال میکند (جدول 18-1-3-4 و شکل 18-1-3-6).
جدول 18-1-3-4: مقادیر شبکه وزنی A برحسب دسی بل
| بسامد به هرتز | تغییرات نسبی شبکه A به دسی بل | بسامد به هرتز | تغییرات نسبی شبکه A به دسی بل |
| 10 | 70/4- | 500 | 3/2- |
| 12/5 | 63/4- | 630 | 1/9- |
| 16 | 56/7- | 800 | 0/8- |
| 20 | 50/5- | 1000 | 0 |
| 25 | 44/7- | 1250 | 0/6 |
| 31/5 | 39/4- | 1600 | 1/0 |
| 40 | 34/6- | 2000 | 1/2 |
| 50 | 30/2- | 2500 | 1/3 |
| 63 | 26/2- | 3150 | 1/2 |
| 80 | 22/5- | 4000 | 1/0 |
| 100 | 19/1- | 5000 | 0/6 |
| 125 | 16/1- | 6300 | 0/1- |
| 160 | 13/4- | 8000 | 1/1- |
| 200 | 10/9- | 10000 | 2/5- |
| 250 | 8/6- | 12500 | 4/3- |
| 315 | 6/6- | 16000 | 6/6- |
| 400 | 4/8- | 20000 | 9/3- |
شکل 18-1-3-6: نمودار تغییرات نسبی شبکه وزنی A در بسامدهای مختلف
یادآوری: شبکه وزنی A در نهایت به منظور بیان تراز صدا به صورت یک عدد تنها، به کار میرود. این عمل از طریق جمع برپایه انرژی اعداد تصحیح یافته با این شبکه صورت میپذیرد.
18-3-1-18 شرایط تحویل یک فضا
شرایط تحویل به شرایطی گفته میشود که کلیه عملیات اجرایی ساختمان اعم از سفتکاری، نازککاری، نصب در و پنجره و غیره تکمیل شده باشد و کلیه سیستمهای تأسیسات مکانیکی و الکتریکی فعال باشند.
19-3-1-18 صدا
صدا موج مکانیکی است که در گازها، مایعات و جامدات منتشر میشود. به تعبیر ساده تر، صدا را میتوان به صورت حرکات موجی در یک فراگیر کشسان و یا به عنوان محرک حس شنوایی تعریف کرد. گستره بسامدی امواج صوتی قابل شنیدن، بین 20 تا 20000 هرتز است.
1-19-3-1-18 صدای کوبه ای
صدای کوبهای صدایی است که منشأ تولید آن ضربه یا کوبش باشد. صدای کوبهای از نوع صدای پیکرهای است که محیط انتشار آن جامدات مانند بتن، فولاد، چوب، شیشه یا ترکیبی از این گونه مواد است.
2-19-3-1-18 صدای هوابرد
صدای هوابرد صدایی است که محیط انتشار آن هوا است. مانند صدای صحبت کردن موسیقی و نوفه ترافیک.
20-3-1-18 صدابندی
صدابندی، جلوگیری از تراگسیل صدا به فضای مجاور و یا به عبارت دیگر، کاهش انرژی صوتی تراگسیل یافته به فضای مجاور است. در آکوستیک ساختمان، دو نوع صدابندی در برابر صدای هوابرد و صدای کوبهای مورد بررسی قرار میگیرد و برای هر کدام شاخصهای مربوطه ارائه میگردد.
21-3-1-18 ضریب تراگسیل صدا، 
هنگامی که موج صوتی با یک جداکننده برخورد میکند، بخشی از انرژی از طریق جداکننده تراگسیل میشود (شکل 18-1-3-3). نسبت شدت موج تراگسیل یافته () به شدت موج فرودی (Ii)، ضریب تراگسیل جداکننده (
) نامیده میشود و از معادله (13) به دست میآید:
| (13) |
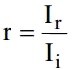
22-3-1-18 ضریب جذب صدا، α
هنگامی که موج صوتی با سطحی برخورد میکند، بخشی از انرژی بازتاب شده (Ir) و باقی آن جذب میشود. نسبت شدت موج جذب شده (Iα) به شدت موج فرودی (Ii)، ضریب جذب آن سطح (α) نامیده میشود و از معادله (14) به دست میآید:
| (14) |
یادآوری 1: ضریب جذب معیار انرژی صوتی است که بازتاب نشده.است در نتیجه α=1-r که در آن r، ضریب بازتاب سطح است و از معادله (15) به دست میآید:
| (15) |
یادآوری 2: ضریب جذب صدا در اتاق واخنش بر اساس استاندارد ملی ایران شماره 10945 اندازهگیری میشود.
23-3-1-18 ضریب جذب صدای وزن یافته، αw
ضریب جذب صدای وزن یافته، αw، کمیتی تک عددی برای درجهبندی جذب صدا است که بر اساس نتایج اندازهگیریهای ضریب جذب صدا در بسامد بندهای یک هنگامی به دست میآید. مقدار این کمیت برابر است با مقدار نمودار مبنا در بسامد 500 هرتز، پس از لغزاندن آن به روشی که در استاندارد ملی ایران 8184 مشخص شده است. مقادیر مبنا برای ضریب جذب صدا در جدول 18-1-3-5 و نمودار شکل 18-1-3-7 ارائه شده است.
جدول 18-1-3-5: مقادیر نمودار مرجع برای ارزیابی ضریب جذب صدای وزن یافته، αw
| بسامد بر حسب هرتز | 250 | 500 | 1000 | 2000 | 4000 |
| مقدار نمودار مبنا | 0/80 | 1/00 | 1/00 | 1/00 | 0/90 |
شکل 18-1-3-7: نمودار مبنا برای ارزیابی ضریب جذب صدای وزن یافته، αw
24-3-1-18 گستره بسامدی اندازهگیری ها
پارامترهای آکوستیکی با استفاده از صافیهای بند یک سوم هنگامی، با بسامدهای مرکزی زیر (برحسب هرتز) اندازهگیری میشوند:
31/5 40 50 63 80 100 125 160 200 250
315 400 500 630 800 1000 1250 1600 2000 2500
3150 4000 5000 6300 8000
لازم به ذکر است که میتوان از مقادیر نتایج اندازهگیری در بندهای یک سوم هنگامی نتایج در بندهای یک هنگامی، را با بسامدهای مرکزی زیر به دست آورد:
31/5 63 125 250 500 1000 2000 4000 8000
یادآوری: در مواردی که اندازهگیری در بسامدهای میانی مطرح میشود، منظور بسامدهای 500، 1000 و 2000 هرتز است.
25-3-1-18 لایه
لایه به ساختاری گفته میشود که چگالی سطحی آن در نقاط مختلف روی یک سطح، یکسان باشد. مانند اندود گچ، قیرگونی، دیوار آجری.
26-3-1-18 نوفه
نوفه به هرگونه صدای ناخواسته گفته میشود.
یادآوری: تفاوت بین واژههای صدا و نوفه یک تفاوت ذهنی است که صدا را خواسته و نوفه را ناخواسته ارزیابی میکند. این تعریف در برگیرنده نوع صدا نیست. برای مثال "گفتار" که در اکثر موارد صدای خواسته است، هنگامی که از واحد مسکونی مجاور شنیده میشود، از نظر ذهنی نوفه ارزیابی میگردد.
27-3-1-18 نوفه زمینه
نوفه زمینه به صداهای ناخواسته موجود در یک فضا گفته میشود. نوفه زمینه میتواند از منابع خارجی مانند نوفه ترافیک و نوفه ناشی از فضاهای مجاور و همچنین منابع داخلی مانند نوفه ناشی از سیستمهای تأسیسات مکانیکی و الکتریکی از قبیل تهویه، آبرسانی و آسانسور سرچشمه بگیرد.