آیین‌نامه‌ها

صفحه اصلی / آیین‌نامه‌ها / مبحث پانزدهم مقررات ملی ساختمان (آسانسورها و پلکان برقی)
2-15 آسانسورها

2-15 آسانسورها

1-2-15 الزامات اولیه انتخاب آسانسور

1-1-2-15 طراح (معمار طراح) باید تعداد، ظرفیت و نوع (مسافربر، باربر و…) آسانسورهای ساختمان را در مراحل اولیه طراحی، تعیین و آن‌ها را بر اساس اطلاعات به دست آمده و مقررات این مبحث جانمایی کند. پیش‌بینی تمهیدات لازم متناسب با شرایط اقلیمی به عهده طراح می‌باشد.

2-1-2-15 در ساختمان‌های با طول مسیر قائم حرکت بیش از 7 متر از کف ورودی اصلی (معمولا بیش از سه طبقه)، تعبیه آسانسور الزامی می‌باشد (شکل 1 پیوست 3).

تبصره: در ساختمان‌های غیرمسکونی طول مسیر قائم حرکت از کف پایین‌ترین طبقه تا کف بالاترین طبقه محاسبه می‌شود (شکل 2 پیوست 3).

3-1-2-15 در ساختمان‌های 8 طبقه یا ساختمان‌های با طول مسیر حرکت 28 متر و بیشتر از کف ورودی اصلی، باید حداقل دو دستگاه آسانسور پیشبینی گردد، حتی اگر از نظر محاسبات تعداد و ظرفیت یک دستگاه آسانسور کفایت نماید.

4-1-2-15 در کلیه ساختمان‌های با طول مسیر حرکت بیش از 21 متر از کف ورودی اصلی، لازم است حداقل یک دستگاه آسانسور مناسب حمل بیمار (برانکارد بر) تعبیه شود. این آسانسور باید با یک علامت مخصوص قابل رؤیت مشخص شده و به کلیه طبقات سرویس دهد.

5-1-2-15 در ساختمان‌هایی که وجود آسانسور الزامی می‌باشد، باید حداقل یکی از آسانسورها قابلیت حمل صندلی چرخدار را دارا باشد.

6-1-2-15 در ساختمان بیمارستان‌های بیش از یک طبقه، وجود حداقل یک دستگاه آسانسور تخت بر اجباری است. در صورتی که سطح شیب‌دار مناسب وجود داشته باشد این الزام وجود ندارد.

7-1-2-15 در ساختمان‌های دسته چهارم و مکان‌های نگهداری سالمندان و معلولان بیش از یک طبقه، تعبیه حداقل یک دستگاه آسانسور برانکارد بر الزامی است مگر اینکه سطح شیب‌دار مناسبی وجود داشته باشد.

8-1-2-15 در ساختمان‌های دسته سوم که مشمول مقررات بند (15-2-1-2) نمی‌باشند، وجود حداقل یک دستگاه آسانسور با قابلیت حمل صندلی چرخ‌دار الزامی است. در صورتی که سطح شیب‌دار مناسب برای تردد صندلی چرخ‌دار در کلیه طبقات وجود داشته باشد، این الزام وجود ندارد.

9-1-2-15 آسانسورهایی که قابلیت حمل صندلی چرخ‌دار را دارند باید دارای الزامات زیر باشند:

– حداقل ابعاد کابین 1400 × 1100 میلی‌متر باشد؛

– حداقل عرض بازشو در کابین، 800 میلی‌متر باشد؛

– مجهز به سیستم‌تر از طبقه مجدد باشد و

– مجهز به دکمه باز ماندن در کابین برای مدت طولانی‌تر از زمان عادی بسته شدن در باشد.

10-1-2-15 آسانسورهایی که قابلیت حمل بیمار (برانکارد بر) را دارند باید دارای الزامات زیر باشند:

– حداقل ابعاد کابین 2100 × 1100 میلی‌متر باشد؛

– حداقل عرض بازشو در کابین 900 میلی‌متر باشد؛

– مجهز به سیستم تراز طبقه مجدد باشد؛ و

– مجهز به دکمه باز ماندن درِ کابین برای مدت طولانی‌تر از زمان عادی بسته شدن در باشد.

11-1-2-15 آسانسورهایی که قابلیت حمل تخت بیمار (تخت بر ) را دارند باید دارای الزامات زیر باشند:

– حداقل ابعاد کابین 2400 × 1400 میلی‌متر باشد؛

– حداقل عرض و حداقل ارتفاع بازشو در کابین به ترتیب 1300 و 2100 میلی‌متر باشد؛

– مجهز به سیستم کنترل سرعت ولتاژ و فرکانس متغیرباشد؛

– مجهز به سیستم تراز طبقه مجدد باشد؛

– مجهز به دکمه باز ماندن درِ کابین برای مدت طولانی‌تر از زمان عادی بسته شدن در باشد؛

– مجهز به کلید مخصوصی باشد که آسانسور را در اختیار کاربران آموزش دیده قرار دهد؛ و

– مجهز به سیستم برق اضطراری باشد به گونه‌ای که هنگام قطع برق آسانسور را به نزدیکترین طبقه هدایت نماید.

12-1-2-15 در محاسبات ترافیک، علاوه بر کمیت، کیفیت سرویس نیز باید مد نظر قرار گیرد، به نحوی که حرکت آسانسور از طبقه ورودی اصلی به طور متوسط در هر 100 ثانیه، یکبار صورت گیرد.

2-2-15 طراحی و آماده‌سازی محل آسانسور و اجزاء آن
1-2-2-15 جانمایی آسانسور

طراح باید محل صحیح قرارگیری آسانسور در ساختمان را با توجه به معیارهای سهولت دسترسی سهولت رفت و آمد مسافران و هدایت آن‌ها به سمت آسانسور تعیین نماید به گونه‌ای که آسانسور در مرکز (مراکز) حرکتی و ترافیکی ساختمان قرار گرفته و بتوان با کمترین حرکت و جابه جایی مسافر یا بار از نقاط مختلف ساختمان به آن‌ها دسترسی پیدا کرد.

1-1-2-2-15 حداکثر مسافت از درِ ورودی ساختمان یا آپارتمان‌ها تا درِ آسانسور در هر طبقه 40 متر می‌باشد.

2-1-2-2-15 آسانسورها باید به نحوی جانمایی شوند که مسافت طی شده توسط مسافران برای سوار شدن به هر کابین، حداقل ممکن باشد.

3-1-2-2-15 در صورتی که تعداد آسانسور سه دستگاه یا کمتر باشد می‌توان آن‌ها را در یک چاه قرار داد. اگر تعداد آسانسور چهار دستگاه باشد باید حداقل در دو چاه مجزا قرار گیرند و در صورتی که بیش از چهار دستگاه باشند حداکثر چهار دستگاه آسانسور می‌توانند در یک چاه مشترک قرار گیرند.

4-1-2-2-15 ورود و خروج افراد از آسانسور به طبقات و بالعکس باید به راحتی و بدون تداخل حرکتی صورت گیرد و فضای کافی جهت انتظار، در ورودی‌ها و خروجی‌ها در نظر گرفته شود. راهروهای مقابل آسانسورها باید طبق ابعاد مندرج در جدول (15-2-2-1-4) طراحی گردد.

جدول 15-2-2-1-4 عمق (عرض یا طول هم راستای عمق کابین) راهرو مقابل ورودی‌های آسانسور

نوع ساختمان جانمایی آسانسور عمق راهرو مقابل ورودی‌های کابین
مسکونی تکی برابر یا بزرگتر از عمق کابین
گروهی در کنار هم برابر یا بزرگتر از 1/5 متر یا بزرگ‌ترین عمق کابین در گروه (هر کدام که بزرگتر باشند)
گروهی رو به روی هم برابر یا بزرگتر از 2/1 متر یا مجموع بزرگترین عمق آسانسورهای رو به روی هم (هر کدام که بزرگتر باشند)
غیرمسکونی به استثنای آسانسور تکی برابر یا بزرگتر از 1/5 برابر عمق کابین
گروهی در کنار هم برابر یا بزرگتر از 2/4 متر یا 1/5 برابر بزرگترین عمق کابین در گروه (هر کدام که بزرگتر باشند)
گروهی رو به روی هم برابر یا بزرگتر از مجموع بزرگترین عمق کابین‌های رو به روی هم حداکثر 4/5 متر
غیرمسکونی بیمارستان و … دارای آسانسور تخت بر تکی برابر یا بزرگتر از 1/5 برابر عمق کابین
گروهی در کنار هم برابر یا بزرگتر از 1/5 برابر عمق بزرگترین کابین در گروه
گروهی رو به روی هم برابر یا بزرگتر از مجموع بزرگترین عمق کابین‌های رو به روی هم

توجه: شکل‌های 15-2-2-1-4 (الف) و (ب) نمونه‌هایی جهت جانمایی آسانسورها و طراحی راهروهای مقابل آن‌ها را نشان می‌دهد.

(الف) جانمایی آسانسورها و فضای انتظار در راهروهای مقابل آن‌ها (دو و سه آسانسور)

شکل 15-2-2-1-4 (الف) جانمایی آسانسورها و فضای انتظار در راهروهای مقابل آن‌ها (دو و سه آسانسور)

(ب) جانمایی آسانسورها و فضای انتظار در راهروهای مقابل آن‌ها (چهار و شش آسانسور)

شکل 15-2-2-1-4 (ب) جانمایی آسانسورها و فضای انتظار در راهروهای مقابل آن‌ها (چهار و شش آسانسور)

5-1-2-2-15 در هتل‌ها، بیمارستان‌ها و ساختمان‌های مسکونی لازم است برای جلوگیری از انتقال سر و صدای ناشی از عملکرد و حرکت آسانسور تمهیدات لازم پیش‌بینی گردد و چاه آسانسور از اتاق‌های بستری یا خواب دور باشد.

2-2-2-15 چاه آسانسور

1-2-2-2-15 ابعاد چاه آسانسور باید متناسب با ظرفیت کابین، نوع در و سرعت آسانسور طراحی شود پیوست (2)

تبصره: در صورتی که دیواره‌های اطراف چاه آسانسور بتنی باشد طراح باید صفحات آهنی یا پروفیل‌های فلزی مخصوص جهت نصب اجزای آسانسور را در محل‌های مورد نیاز پیش‌بینی نماید. در صورتی که سازه اطراف چاه آسانسور فلزی باشد، لازم است پیش‌بینی‌های لازم جهت اتصال اجزای آسانسور به سازه ساختمان به عمل آید. استفاده از بولت‌های مخصوص بتن یا بولتهای مخصوص دیوارهای آجری که قابلیت تحمل نیروهای وارده بر اجزای مرتبط را دارند مجاز می‌باشد. در شرایطی که این اجزا دارای عملکرد کششی باشند استفاده از صفحات آهنی که به وسیله تفنگ‌های چاشنی‌دار در بتن کار گذاشته می‌شوند مجاز نیست.

2-2-2-2-15 برای جلوگیری از اضافه بار (بار بیش از ظرفیت آسانسور) مساحت کابین باید محدود گردد. بدین منظور ضمن توجه به ابعاد ارائه شده برای چاه آسانسور (پیوست 2)، توجه به حداکثر و حداقل مساحت مجاز داخل کابین، ارائه شده در جدول‌های 15-2-2-2-1-الف و ب الزامی است.

تبصره: در آسانسورهای خودروبر غیرتجاری که بهره‌برداری از آن‌ها توسط اشخاص مجاز و آموزش دیده انجام می‌شود به ازای هر 200 کیلوگرم بار اضافی باید حدود 0/18 متر مربع به سطح کابین اضافه شود.

جدول 15-2-2-2-1 (الف) حداکثر مساحت کابین متناسب با ظرفیت

حداکثر مساحت مفید کابین (مترمربع) ظرفیت – جرم (کیلوگرم)
0/37 100 (1)
0/58 180 (2)
0/70 225
0/90 300
1/10 375
1/17 400
1/30 450
1/45 525
1/60 600
1/66 630
1/75 675
1/90 750
2/00 800
2/05 825
2/20 900
2/35 975
2/40 1000
2/50 1050
2/65 1125
2/80 1200
2/90 250
2/95 1275
3/10 1350
3/25 1425
3/40 1500
3/56 1600
4/50 2000
5/00 2500
1- حداقل برای آسانسور یک نفره
2- حداقل برای آسانسور دونفره
– برای ظرفیت بیش از 2500 کیلوگرم به ازای هر 100 کیلوگرم 160 متر مربع به حداکثر مساحت قابل دسترسی کابین اضافه شود برای وزن‌های مابین مقادیر فوق مساحت از طریق میان‌یابی خطی محاسبه شود.

جدول 15-2-2-2-1 ( ب ) حداقل مساحت کابین متناسب با تعداد نفرات*

حداقل مساحت قابل دسترسی کابین (مترمربع) تعداد مسافران آسانسور (نفر)
0/28 1
0/49 2
0/60 3
0/79 4
0/98 5
1/17 6
1/31 7
1/45 8
1/59 9
1/73 10
1/87 11
2/01 12
2/15 13
2/29 14
2/43 15
2/57 16
2/71 17
2/85 18
2/99 19
3/13 20
* برای ظرفیت بیش از 20 نفر به ازای هر نفر 0/115 متر مربع به مساحت کابین اضافه می‌شود.
3-2-2-15 دیواره‌ها و سقف چاه آسانسور

1-3-2-2-15 دیواره‌ها و تیغه‌های پوشاننده چاه آسانسور باید از مصالح مقاوم در برابر آتش (با قابلیت تحمل بیشتر از یک ساعت) ساخته،شوند که در اثر حرارت، گاز و دود مسموم کننده یا خطرناک از آن‌ها متصاعد نشده و باعث ایجاد گرد و غبار نشوند. در صورتی که دیواره‌های چاه آسانسور از شیشه ساخته شوند مقاومت در برابر حریق ملاک نمی‌باشد ولیکن باید این شیشه‌ها از نوع لمینیت شده با ارتفاع متناسب با اندازه‌های مشخص شده در استانداردهای ملی آسانسور مطابق باشد.

2-3-2-2-15 از آنجا که بارهای استاتیکی و دینامیکی قطعات ثابت و تجهیزات متعلق به آسانسور، به علاوه ظرفیت آن بر سقف چاه آسانسور وارد می‌شود، کلیه نیروهای وارده به این سقف باید محاسبه شده و در طراحی سازه و سقف چاه لحاظ گردد.

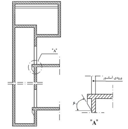
3-3-2-2-15 در کابین‌های دارای در، سطح داخلی دیوارهای چاه آسانسور در سمت ورودی‌های کابین باید صاف و بدون برجستگی و یا فرورفتگی باشد. در صورت وجود این برجستگی مطابق شکل 15-2-2-3-3 باید با زاویه 60 درجه نسبت به سطح افق پوشانده شود.

4-3-2-2-15 سطح داخلی دیواره‌های چاه آسانسور باید با مصالح مناسب به گونه‌ای پوشانده شوند که کمترین خلل و فرج را دارا باشد ( مانند سیمان‌کاری لیسه‌ای).

5-3-2-2-15 چاه باید منحصرا برای آسانسور باشد. نصب و عبور هرگونه لوله، کابل، سیم و تجهیزات دیگر، به استثنای سیم‌کشی و لوله‌کشی برق مربوط به سیستم روشنایی چاه، کابلهای برق تغذیه و سیستم کنترل مخصوص آسانسور در داخل چاه آسانسور، ممنوع است.

6-3-2-2-15 روشنایی چاه آسانسور باید به نحو مطلوب تأمین گردد. بدین ترتیب لازم است دو عدد چراغ در فاصله 0/5 متر از بالاترین و پایین‌ترین نقطه چاه و مابقی چراغ‌ها با فواصل حداکثر 7 متر با حفاظ و با قابلیت روشن و خاموش شدن از محل موتورخانه نصب شوند.

7-3-2-2-15 مدار تغذیه سیستم روشنایی موتورخانه، روشنایی چاه و پریزهای برق باید طوری در نظر گرفته شود که در صورت قطع مدار تغذیه آسانسور به منظور تعمیرات احتمالی و موارد دیگر، مدار تغذیه آن‌ها برقرار بماند.

8-3-2-2-15 وزنه تعادل و کابین باید در یک چاه باشند.

سطح داخلی دیدواره چاه در سمت ورودی طبقات

شکل 15-2-2-3-3 سطح داخلی دیدواره چاه در سمت ورودی طبقات.

4-2-2-15 تأثیرات آسانسو بر سازه ساختمان

مقررات این بخش برای طراحی سازه‌ای قطعات مرتبط با آسانسور در ساختمان‌ها که شامل قطعات اتصالات واقع در چاه، چاهک و اتاقک موتورخانه می‌باشند، به کار برده می‌شود. ضوابط طراحی سازه‌ای اسکلت کابین آسانسور و وزنه تعادل که براساس استانداردهای مربوطه توسط سازنده آسانسور لازم‌الاجرا است شامل این مقررات نمی‌باشد.

مسئولیت احراز مقاومت مکانیکی بارهای وارده بر دیواره چاه، سقف و کف آن و هم‌چنین تأیید استحکام جوش در صورت فلزی بودن سازه، مطابق با ضوابط تعیین شده در مبحث دوم مقررات ملی ساختمان می‌باشد.

1-4-2-2-15 نیروهای طراحی

کلیه قطعات و اتصالات سازه‌ای مرتبط با آسانسور باید به گونه‌ای طراحی و اجرا شوند که بارهای اعمال شده توسط وزن سیستم متحرکه، قسمت‌های متحرک آسانسور نیروهای وارده از ریل‌ها هنگام عملکرد ترمز ایمنی، نیروهای وارده به ضربه‌گیرها، اثرات ضربه‌ای بارها، اثرات زلزله و سایر بارها را تحمل نمایند. برای مجموع وزن ماشین‌آلات و قسمت‌های متحرک آسانسور، اثرات ضربه‌ای بارها و اثرات زلزله محاسبه شوند. تکیه‌گاه‌ها و اتصالات قطعات آسانسور به ساختمان باید برای نیروهای فوق محاسبه شده و تغییرشکل آن‌ها از حدود معینی که توسط آئین‌نامه‌های معتبر برای آسانسورهای مختلف تعیین شده است بیشتر نشود.

2-4-2-2-15 اثرات ضربه‌ای بارها

برای منظور نمودن اثرات ضربه‌ای بارها. در اثر حرکت آسانسورها در همه جهات، کلیه نیروهای طراحی باید بر اساس ضریب ضربه ارائه شده در مبحث ششم مقررات ملی ساختمان افزایش داده شود.

3-4-2-2-15 نیروهای استاتیکی معادل زلزله بر هر قطعه باید با توجه به عوامل مؤثر بر رفتار سازه و قطعه در برابر زلزله با توجه به ضوابط مبحث ششم "بارهای وارد بر ساختمان" محاسبه شود و در تمام جهات افقی و قائم با سایر نیروهای وارد بر قطعه و سازه ترکیب گردد. هم‌چنین در ساختمان‌های مشمول دسته‌های سوم و چهارم تعبیه حسگرهای زلزله الزامی است.

4-4-2-2-15 هنگام عملکرد اضطراری ترمز ایمنی، مجموع وزن کابین خالی به علاوه 1/25 برابر ظرفیت با سرعتی حداقل 1/15 برابر سرعت اسمی و شتاب منفی متناسب با نوع ترمز ایمنی بر روی ریل‌های راهنما متوقف می‌گردد. هر چند که عمده نیرو به ریل‌های راهنما وارد می‌شود ولی به دلیل اتصال آن‌ها به سازه و وجود نیروهای جانبی سازه آسانسور نیز باید قدرت تحمل این نیروها را داشته باشد لذا تأثیر این نیروها باید در محاسبات سازه منظور گردد.

5-4-2-2-15 در نظر گرفتن نیروهای استاتیکی و دینامیکی ناشی از وزن، حرکت آسانسور و ارتعاش موتور آسانسور در محاسبه و طراحی سازه ساختمان الزامی است.

6-4-2-2-15 لحاظ نمودن اثرات ناشی از ضربات وارده از حرکت و ترمز آسانسور و نیز برخورد آن با کف چاهک در محاسبه و طراحی سازه ساختمان و سازه نگهدارنده آسانسور الزامی است.

7-4-2-2-15 سازه نگهدارنده آسانسور باید برای مقاومت در برابر زلزله‌های با ریسک بالاتر و یا حداقل معادل درجه خطر زلزله ساختمان اصلی محاسبه و طراحی شود.

5-2-2-15 موتورخانه

1-5-2-2-15 بهترین محل جانمایی موتورخانه (در صورت وجود ) در بالای چاه آسانسور است، هر چند که ممکن است به دلیل پاره‌ای محدودیت‌ها، موتورخانه در پایین یا کنار چاه آسانسور باشد. فضای موتورخانه باید به اندازه‌ای باشد که امکان جای دادن تجهیزات، فضای مناسب جهت تردد ایمن افراد مجاز و تعمیرات احتمالی را دارا باشد.

2-5-2-2-15 ابعاد موتورخانه (در صورت وجود) باید طبق نقشه‌ها و جدول‌های پیوست 2 طراحی و اجرا گردد. در صورت عدم امکان لحاظ هر یک از این ابعاد در طراحی موتورخانه موارد زیر باید رعایت شود:

الف) حداقل فضای باز در جلوی تابلوهای کنترل آسانسور 700 میلی‌متر باشد؛

ب) حداقل معبر برای عبور از کنار تجهیزات ثابت 400 میلی‌متر باشد؛

پ) حداقل معبر برای عبور از کنار تجهیزات در حال چرخش 500 میلی‌متر باشد؛

ت) حداقل ارتفاع موتورخانه در نواحی تردد و دسترسی 2000 میلی‌متر باشد؛

ث) حداقل ارتفاع از روی قطعات در حال چرخش تا زیر سقف موتورخانه 300 میلی‌متر باشد؛

ج) در صورتی که اختلاف ارتفاع بین سطوح داخل موتورخانه بیش از 500 میلی‌متر باشد سطح بالاتر باید با نرده محصور شود و برای دسترسی به آن نردبانی تعبیه شود.

چ) سطح کاری معادل حداقل 500 × 600 میلی‌متر اطراف تجهیزات چرخنده (کنترل کننده مکانیکی سرعت فلکه‌ها و …) تعبیه شود.

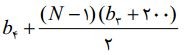
3-5-2-2-15 در صورتی که موتورخانه (در صورت وجود) برای بیش از یک آسانسور استفاده شود حداقل ابعاد موتورخانه مشترک از جدول (15-2-2-5-3) محاسبه گردد.

جدول 15-2-2-5-3 حداقل ابعاد موتورخانه مشترک آسانسورهای کششی به استثنای آسانسورهای مسکونی کم تردد

پارامتر موقعیت آسانسورها
مجاور یکدیگر مقابل یکدیگر
مساحت کف Ra+0/9Ra(N-1) Ra+0/9Ra(N-1)
عرض b4+(N-1)(b3+200) b4+n-1b3+200/2
عمق d4 فاصله بین دو چاه روبرو + 2d2

Ra = مساحت موتورخانه - پیوست 2
b4 = عرض موتورخانه - پیوست 2
b3= عرض چاه - پیوست 2
d4 = عمق موتورخانه - پیوست 2
d2= عمق چاه - پیوست 2
N = تعداد آسانسور - در صورت فرد بودن به عدد زوج بالاتر گرد شود.

4-5-2-2-15 بازشوی درِ موتورخانه (در صورت وجود) باید دارای حداقل 900 میلی‌متر عرض و 2000 میلی‌متر ارتفاع باشد. بازشوی در باید به سمت بیرون، دارای قفل و کلید مطمئن بوده و در اختیار افراد صاحب صلاحیت قرار گیرد قفل درِ موتورخانه باید به گونه‌ای باشد که از داخل بدون کلید و از بیرون با کلید باز شود.

راه عمومی برای ورود به موتورخانه و محل فلکه‌ها باید:

الف) دارای وسیله روشنایی دائمی مناسبی باشد که امکان روشن نمودن آن قبل از ورود فراهم باشد.

ب ) تردد از آن تحت هر شرایطی با ایمنی کافی و بدون نیاز به ورود به محوطه‌های خصوصی فراهم باشد.

راه‌های دسترسی به موتورخانه و ورودی‌ها باید حداقل 2000 میلی‌متر ارتفاع داشته باشند. به جز در مورد درِ موتورخانه در صورت وجود مانعی با ارتفاع کمتر از 400 میلی‌متر این اندازه‌گیری از کف به عمل می‌آید.

5-5-2-2-15 در صورتی که نتوان از پله‌های معمول دائمی برای دسترسی به موتورخانه استفاده نمود، باید نردبان اختصاصی ایمن و غیرلغزنده دائمی برای دسترسی به موتورخانه تعبیه گردد. استفاده از نردبان تحت شرایط زیر امکان‌پذیر می‌باشد:

الف) خطر لغزش و واژگونی نداشته باشد؛

ب) هنگام قرارگیری در محل، زاویه‌ای بین 70 و 76 درجه با افق داشته باشند، مگر اینکه به صورت ثابت بوده و ارتفاعشان از 1/5 متر کمتر نباشد؛

پ) باید منحصراً به منظور چنین استفاده‌ای بوده و همواره در مجاورت محل دسترسی نگهداری شوند، پیش‌بینی‌های لازم به این منظور ضروری می‌باشد؛

ت) نزدیک به انتهای نردبان باید یک یا چند دستگیره که به سهولت قابل دسترسی باشند؛ قرار گیرد؛

ث) باید قبل از گذاشتن نردبان، نقاط اتصال پیش‌بینی شده باشد.

6-5-2-2-15 برای جلوگیری از سقوط اجسام خارجی به داخل چاه باید لبه‌هایی به ارتفاع 50 میلی‌متر در اطراف کلیه سوراخ‌های باز کف موتورخانه ایجاد شود.

7-5-2-2-15 به منظور جابه جایی تجهیزات، باید مونوریل دائمی در سقف موتورخانه پیش‌بینی شود در غیراین صورت باید قلابی در مرکز چاه آسانسور و یا بالای سیستم محرکه آسانسور و در زیر سقف موتورخانه نصب گردد به طوری که بارهای وارده مطابق جدول (15-2-2-5-7) را تحمل نماید.

جدول 15-2-2-5-7 بار وارده به قلاب سقف موتورخانه

ضریب آسانسور (کیلوگرم) حداکثر بار استاتیکی وارده به قلاب (کیلوگرم)
تا 1000 1500
2500 2000
بیش از 2500 با مشورت شرکت سازنده و طراح آسانسور

8-5-2-2-15 روشنایی داخل موتورخانه باید به میزان حداقل 200 لوکس در کف و اطراف کلیه نواحی تردد و دسترسی تأمین گردد. هم‌چنین باید حداقل یک پریز در موتورخانه نصب گردد. منبع تغذیه این روشنایی و پریز بایستی مطابق با بند 15-2-2-3-7 باشد.

9-5-2-2-15 دمای فضای داخل موتورخانه حتی در زمان کارکرد آسانسور باید بین 5+ تا 40+ درجه سانتی گراد باشد. بدین منظور بایستی موتورخانه به شکل مناسبی تهویه شود. چنانچه تهویه چاه از طریق موتورخانه (در صورت وجود) انجام گیرد لازم است این امر در محاسبات منظور گردد.

10-5-2-2-15 مهندسان محاسب باید نقشه سازه جانمایی و مجموع نیروهای وارده به کف موتورخانه و تجهیزات نصب شده را محاسبه یا از شرکت‌های معتبر آسانسور اخذ نمایند و با در نظر گرفتن ضرایب ایمنی لازم محاسبات را کنترل نموده ضمن بررسی هرگونه ضعف در اثر سوراخ‌ها و شکافها از استحکام سازه اطمینان یابند.

11-5-2-2-15 در صورتی که سرعت آسانسور بیش از 2/5 متر بر ثانیه باشد موتورخانه باید در بالای چاه آسانسور باشد.

12-5-2-2-15 در صورتی که سیستم محرکه آسانسور و تجهیزات مربوطه در موتورخانه قرار گیرند، لازم است از این فضا فقط برای استقرار تجهیزات آسانسور استفاده شود.

تجهیزات زیر می‌تواند در موتور خانه وجود داشته باشد:

الف- سیستم محرکه آسانسورهای خدماتی و پلکان برقی؛

ب- تجهیزات تهویه مطبوع یا حرارتی مربوط به این فضاها به جز سیستم‌های گرمایش با بخار و تأسیسات گرمایش آب با فشار بالا؛

پ- حسگرهای آتش یا سیستم اطفای حریق، با دمای عملکرد بالا مناسب برای تجهیزات برقی، پایدار در دوره زمانی معین و محافظت شده به طور مناسب در برابر ضربات اتفاقی.

13-5-2-2-15 کف موتورخانه باید از مصالح غیرلغزنده مانند بتن ماله‌کشی شده یا ورق آج‌دار ساخته شده باشد.

6-2-2-15 چاهک

1-6-2-2-15 ارتفاع چاهک طبق نقشه‌ها و جدول‌های پیوست 2 باید طراحی و اجرا شود. هنگام طراحی ستون‌ها و فونداسیون اطراف چاهک دقت شود که ابعاد چاهک باید دقیقاً هم اندازه چاه باشد و فونداسیون پایه ستون‌های اطراف چاه آسانسور پایین‌تر از عمق مورد نیاز چاهک طراحی و اجرا شوند.

2-6-2-2-15 در صورتی که امکان هرگونه دسترسی به زیر چاه آسانسور وجود داشته باشد؛ یعنی زیر چاهک آسانسور خالی باشد (چاه معلق)، لازم است سازه کف چاهک به گونه‌ای تقویت گردد که کف آن حداقل دارای مقاومت مکانیکی 5000 نیوتن بر متر مربع باشد هم‌چنین باید:

– وزنه تعادل مجهز به سیستم ترمز ایمنی مستقل شده، یا

– ستون صلب و محکمی در امتداد مرکز وزنه تعادل از کف چاهک تا زمین امتداد یابد.

3-6-2-2-15 چاهک باید از نظر نفوذ رطوبت به داخل دارای عایق‌بندی مناسب باشد. در صورتی که عمق چاهک بیش از دو و نیم متر باشد نصب در بازرسی با ابعاد حداقل 600 میلی‌متر در 1400 میلی‌متر و یا نردبان با فاصله مناسب از دیواره چاه به نحوی که با قطعات متحرک داشته باشد حداقل 20 میلی‌متر الزامی است. هم‌چنین زهکشی و یا تعبیه تمهیدات جمع‌آوری آب در مورد چاه‌هایی که در مسیر آبهای زیرزمینی قرار دارند الزامی است.

4-6-2-2-15 در صورتی که چاه آسانسور مشترک باشد باید این چاهک‌ها به نحو مقتضی از کف چاهک تا ارتفاع 2/5 متر جداسازی شوند و بتوان به صورت ایمن از طریق هر ورودی به چاهک مربوطه رفت و آمد نمود.

چنانچه فاصله بین لبه سقف کابین و قسمت متحرک (کابین یا وزنه تعادل) آسانسور یا آسانسورهای مجاور هم کمتر از 300 میلی‌متر باشد جداسازی مذکور بایستی در سراسر ارتفاع چاه با پهنای مؤثر امتداد یابد. اندازه پهنای مؤثر باید حداقل برابر پهنای قسمت متحرک به اضافه 0/1 متردر هر طرف باشد. این جداسازی با دیواره و یا فنس اجرا می‌شود.

5-6-2-2-15 ضربه‌گیرها یا ستون‌های نشیمنگاه و ضربه‌گیر کابین و وزنه تعادل، در فضای داخلی چاهک و پایین‌ترین حد مسیر حرکت کابین و وزنه تعادل قرار میگیرند. این ضربه‌گیرها یا ستون‌های نشیمنگاه باید به نحوی در کف چاهک نصب یا اجرا شوند که پس از برخورد کابین یا وزنه تعادل به آن‌ها و فشرده شدن کامل فضای خالی به عنوان جانپناه باقی بماند به گونه‌ای که بتوان مکعبی مجازی به ابعاد 500 × 600 ×1000 میلی‌متر روی یکی از وجوه چاهک ایجاد نمود. در صورتیکه ضربه‌گیر وزنه تعادل متحرک باشد ارتفاع پایه ستون نشیمنگاه ضربه‌گیر وزنه تعادل با هر مقداری مجاز می‌باشد. حداقل ارتفاع ستون نشیمنگاه ضربه‌گیر کابین 500 میلی‌متر می‌باشد.

7-2-2-15 درهای طبقات، درها و دریچه‌های اضطراری و بازدید

1-7-2-2-15 حداقل ارتفاع مفید ورودی کابین در طبقات برای ورود عادی باید 200 سانتی‌متر با رواداری 5 سانتی‌متر باشد.

2-7-2-2-15 درهای طبقات باید پس از نصب ریل‌های راهنما طبق نقشه‌های مورد نظر به صورت کاملاً شاقول شده نصب شوند و هیچ‌گونه شکاف یا جای باز غیرمعمول نداشته باشند.

3-7-2-2-15 نصب هرگونه درِ اضافه به جز درهای مخصوص طبقات در ناحیه ورودی به کابین ممنوع می‌باشد.

4-7-2-2-15 در آسانسورهایی که فاصله بین دو طبقه متوالی آن بیش از 11 متر باشد یک درِ اضطراری باید در محل مناسب در نظر گرفته شود به طوری که فاصله آن‌ها حداکثر 11 متر باشد، هم‌چنین:

– درهای بازرسی (در صورت وجود) باید دارای حداقل ارتفاع 1/4 متر و حداقل پهنای 0/6 متر باشند.

– درهای اضطراری باید حداقل ارتفاع 1/8 متر و حداقل پهنای 0/35 متر باشند.

– دریچه‌های بازدید (در صورت وجود) باید حداکثر 0/5 متر درازا و 0/5 متر پهنا داشته باشند.

– کلیه درها و دریچه‌های فوق الذکر باید به قفل ایمنی طبق مقررات بند 15-2-3-7-5 مجهز بوده و به سمت بیرون چاه باز شوند.

5-7-2-2-15 نحوه باز و بسته شدن درها و دریچه‌های اضطراری چاه آسانسور باید به گونه‌ای باشد که از سمت بیرون بدون کلید باز نشوند، ولی از داخل به راحتی و بدون نیاز به کلید باز و بسته شوند. هم‌چنین در محل قفل، مدار الکتریکی توسط شرکت‌های سازنده آسانسور طراحی و نصب گردد که هنگام باز شدن آن‌ها کارکرد عادی آسانسور متوقف شود.

6-7-2-2-15 برآمدگی یا فرورفتگی‌های پشت درهای طبقات (در) نوع بدون درِ کابین (سمت چاه آسانسور) به نحوی باشد که سبب گیر کردن ناخواسته دست یا لباس یا هرگونه شیء خارجی نگردد. حداکثر ناصافی مجاز 5 میلی‌متر می‌باشد.

7-7-2-2-15 نباید هیچ‌گونه در، دریچه اضطراری و دریچه تخلیه هوا در سمتی که وزنه تعادل قرار می‌گیرد، تعبیه گردد.

تبصره: دریچه اضطراری برای ورود به بالای کابین در زیر سطح سقف چاه یا یکی از دیواره‌های چاه از فضای موتورخانه به ابعاد 0/6×0/6 متر تعبیه شود که بازشوی آن به بیرون چاه بوده و طبق بند 15-2-2-7-5 دارای قفل ایمنی باشد.

8-7-2-2-15 حداقل ارتفاع کف به کف دو طبقه متوالی در هر سمت چاه آسانسور (آسانسورهای با درِ رو به رو شامل این مورد نبوده و به صورت مجزا در نظر گرفته می‌شود) برای تعبیه درِ طبقه آسانسور طبق جدول 15-2-2-7-8 می‌باشد و طبقاتی که ارتفاع آن‌ها کمتر از ابعاد این جدول می‌باشد به عنوان طبقه توقف محسوب نشده و آسانسور نباید در آن طبقه توقف نماید.

جدول 15-2-2-7-8 حداقل فاصله کف به کف طبقات

فاصله کف به کف (میلی‌متر) نحوه باز شدنِ در ارتفاع مفیدِ در (میلی‌متر)
2450 افقی 2000
2550 2100
2750 2300
3700 قائم 2300
4000 2500

9-7-2-2-15 در آسانسورهای گروهی (2آسانسور یا بیشتر) در کف موتورخانه و در امتداد پاگرد جلوی در طبقه آخر دریچه‌ای برای حمل متعلقات داخل موتورخانه مانند موتور گیربکس، تابلو کنترل به توقف آخر تعبیه شود که بازشوی آن به سمت موتورخانه باشد ابعاد این دریچه متناسب با اندازه‌های سیستم محرکه یا وسایل سنگین داخل موتورخانه در نظر گرفته شود. هم‌چنین قلاب سقف یا مونوریلی در سقف موتورخانه تعبیه گردد که روی این دریچه نیز کاربرد داشته باشد.

10-7-2-2-15 طراحی و نصب درها یا دریچه‌ها و یا قطعات آن‌ها باید به گونه‌ای باشد که در اثر حوادث عادی مانند ضربه، حریق ترکیدگی لوله‌های آب و غیره به داخل چاه آسانسور سقوط ننماید.

8-2-2-15 تخلیه هوای چاه و موتورخانه

1-8-2-2-15 هوای چاهی که آسانسور را در خود جای داده و بیش از دو طبقه امتداد داشته باشد باید مستقیماً یا از طریق موتورخانه به فضای آزاد تخلیه شود مساحت دریچه تخلیه هوا نباید کمتر از 1 درصد مساحت مقطع چاه آسانسور باشد.

2-8-2-2-15 در صورتی که سرعت آسانسور بیش از 2/5 متر بر ثانیه باشد سطح تخلیه هوا باید حداقل 0/3 متر مربع باشد.

3-8-2-2-15 اگر تعداد دو یا سه آسانسور در یک چاه مشترک قرار گیرند سطح دریچه تخلیه هوا (تهویه) 0/3 متر مربع کافی می‌باشد ولی برای چهار آسانسور می‌بایستی به 0/4 متر مربع افزایش یابد و به نحوی محافظت شود که از نفوذ باران و برف، ورود پرندگان و حیوانات دیگر به چاه جلوگیری شود.

4-8-2-2-15 دریچه تخلیه هوا باید به صورت دستی عمل نماید.

5-8-2-2-15 چاه آسانسور نباید وسیله تخلیه هوای ساختمان باشد.

6-8-2-2-15 تخلیه هوای چاه هر گروه آسانسور مستقل از چاه‌های گروه دیگر خواهد بود. بنابراین نباید بین آن‌ها ارتباط تخلیه هوا وجود داشته باشد.

9-2-2-15 رواداری‌های اجرای چاه

1-9-2-2-15 دراجرای سازه چاه آسانسور با توجه به نوع سازه و پوشش دیواره‌ها، رواداری‌های ذکر شده در سایر مباحث مقررات ملی ساختمان لازم‌الاجرا می‌باشد.

2-9-2-2-15 رواداری شاقول بودن دیواره‌های داخل چاه آسانسور مطابق جدول 15-2-2-9-2 می‌باشد، در صورت عدم رعایت این اندازه‌ها، ابعاد مفید چاه پس از کسر ناشاقولی‌ها ملاک عمل می‌باشد.

جدول 15-2-2-9-2 حداکثر ناشاقولی مجاز ابعاد چاه آسانسور

ارتفاع چاه آسانسور حداکثر ناشاقولی مجاز
30 متر 25 میلی‌متر
30-60 متر 25 میلی‌متر
بزرگتر از 60 متر 50 میلی‌متر

3-9-2-2-15 در صورتی که چاه دارای چند آسانسور باشد خطوط شاقولی در سمت مجاور آسانسورها باید حداقل 200 میلی‌متر فاصله داشته باشند (مطابق شکل 15-2-2-9-3 با در نظر گرفتن تیغه جداساز) هم‌چنین رواداری ناشاقولی در محل‌های قید شده با حرف "L" حداکثر 25 میلی‌متر است.

4-9-2-2-15 نظر به اینکه در سازه‌های مرتفع (برج‌ها) تغییرمکان جانبی مجاز تحت تأثیر نیروهای باد در نظر گرفته می‌شود لذا باید تمهیدات خاصی برای این منظور در طراحی آسانسور مدنظر قرار گیرد.

خطوط شاقولی و دیواره‌های جداساز چاه‌های آسانسور

شکل 15-2-2-9-3 خطوط شاقولی و دیواره‌های جداساز چاه‌های آسانسور

3-2-15 ویژگی آسانسورهای مورد استفاده افراد ناتوان جسمی

در آسانسورهایی که احتمال جابه جایی افراد ناتوان جسمی بیشتر است (ساختمان‌های دسته دوم، سوم و چهارم)، علاوه بر رعایت کلیه ضوابط آسانسورها باید ضوابط و مقررات زیر نیز رعایت گردد:

1-3-2-15 عرض درِ طبقات حداقل باید 800 میلی‌متر باشد، ولی توصیه می‌شود در طبقات برای این نوع آسانسور از نوع اتوماتیک و با عرض 900 میلی‌متر انتخاب شود.

2-3-2-15 مسیر دسترسی به درِ آسانسور مخصوصا ورودی اصلی باید بدون مانع یا شیب تند باشد.

3-3-2-15 حداقل عرض کابین در ساختمان‌های عمومی 1100 میلی‌متر حداقل عمق 1400 و میلی‌متر باشد.

4-3-2-15 حداقل یک دستگیره روی یک دیواره کابین در ارتفاع 900 میلی‌متر نصب شود، سطح مقطع این دستگیره بین 30 تا 45 میلی‌متر با شعاع انحنای 10 میلی‌متر و فاصله آن از دیوار کابین حداقل 35 میلی‌متر باشد.

5-3-2-15 در صورتی که نیاز به تعبیه صندلی تاشو برای نشستن افراد ناتوان در داخل کابین باشد نشیمن این صندلی باید حداقل 300 میلی‌متر عمق و 400 میلی‌متر عرض داشته باشد و در ارتفاع 500 میلی‌متری از کف کابین نصب شود و حداقل 100 کیلوگرم بار را تحمل نماید.

6-3-2-15 حداکثر رواداری توقف در تراز طبقه 10 ± میلی‌متر باشد.

7-3-2-15 زمان باز ماندن در، متناسب با نوع کاربری توسط افراد ناتوان، از 2 تا 20 ثانیه قابل تنظیم باشد.

8-3-2-15 در آسانسورهای تکی لازم است کنار در آسانسور حداقل یک شستی احضار و در آسانسورهای گروهی که روبروی هم هستند در هر دیوار تعبیه گردد.

9-3-2-15 لازم است رسیدن آسانسور به طبقه مورد نظر و شروع باز شدن در طبقه با صدای زنگی که شدت صوتی آن قابل تنظیم از 35 تا 65 دسی‌بل باشد، اعلام گردد.

10-3-2-15 علاوه بر وجود نشان دهنده جهت حرکت آسانسور در داخل کابین، باید جهت حرکت به صورت علائم صوتی نیز مشخص شود. بدین منظور سیگنالهای صوتی منقطع تکی برای نشان دادن جهت حرکت به سمت بالا و دوتایی برای نشان دادن جهت حرکت به سمت پایین در داخل کابین پخش شود.

4-2-15 ویژگی‌های آسانسورهای هیدرولیک

1-4-2-15 در صورتی که سیستم از نوع مستقیم باشد جک باید دارای شیر اطمینان مخصوص باشد. در صورتی که از نوع غیرمستقیم باشد علاوه بر شیر اطمینان مخصوص، تدابیر ایمنی برای پیشگیری از سقوط آسانسور در اثر پاره شدن سیم بکسل مطابق استاندارد شماره 2 -6303 سازمان ملی استاندارد ایران در نظر گرفته شود.

2-4-2-15 در صورتی که بیش از یک جک برای جابه جایی کابین به کار رود باید به نحوی به همدیگر مرتبط شوند که فشار روغن آن‌ها همواره یکسان باشد.

3-4-2-15 در صورتی که آسانسور هیدرولیک از نوعی باشد که نیاز به حفر چاه جهت استقرار جک باشد (چاه جک) باید پیش‌بینی لازم جهت حفر این چاه به عمل آید.

4-4-2-15 چاه جک (در صورت وجود) باید نسبت به نفوذ آب مقاوم باشد و با دقت شاقولی 25 میلی‌متر در ارتفاع 3 متر اجرا گردد.

5-4-2-15 سایر الزامات مانند محاسبه،تعداد ظرفیت جابه جایی که برای آسانسورهای کششی مقرر شده برای آسانسورهای هیدرولیک نیز لازم‌الاجرا می‌باشد.

5-2-15 الزامات آسانسورهای حمل خودرو

1-5-2-15 تعبیه آسانسورهای خودروبر به عنوان تنها راه ورود و خروج خودرو در طبقات پارکینگ کلیه ساختمان‌های مسکونی، تجاری، اداری و عمومی ممنوع می‌باشد.

2-5-2-15 در پارکینگهای طبقاتی و ساختمان‌هایی که طبقات پارکینگ در کنار ساختمان قرار دارند تعبیه آسانسورهای خودروبر مجاز می‌باشد. در این شرایط تعداد مورد نیاز آسانسور باید بر اساس محاسبات ترافیکی آن تعیین شود (تعبیه حداقل 2 آسانسور الزامی است).

3-5-2-15 تأمین نیروی برق ثانویه (ژنراتور) به منظور سرویس‌دهی کامل آسانسورهای خودروبر الزامی است.

4-5-2-15 در ساختمان‌هایی که مطابق بند (15-2-5-2) تعبیه آسانسور حمل خودرو در آن‌ها ممنوع نشده است، رعایت مقررات مبحث سوم مقررات ملی ساختمان در خصوص راههای خروج، سیستم‌های اعلام حریق اتوماتیک و دستی، سیستم‌های اطفای حریق و…. الزامی است.

5-5-2-15 به منظور تخلیه گاز و دودهای خروجی از اگزوز خودروها تعبیه فنهای مکنده متناسب با حجم کابین در سقف کابین و در بالای چاه آسانسور الزامی است.

6-5-2-15 کابین آسانسورهای خودروبر باید دارای درِ اتوماتیک با سیستم محرکه مجزا باشد و درهای طبقات نیز از نوع اتوماتیک انتخاب شوند.

7-5-2-15 در هر کابین باید دو شستی احضار در دو سمت دیواره کابین نصب شود. محل قرارگیری این شستی‌ها باید به گونه‌ای باشد که راننده خودرو هنگام ورود و خروج از هر دو سمت امکان دسترسی به دکمه‌های طبقات و کلیدهای توقف اضطراری را دارا باشد.

8-5-2-15 استفاده از چشم الکترونیکی پرده‌ای دو بعدی یا سه بعدی در ورودی(های) کابین الزامی است.

9-5-2-15 آسانسور حمل خودرو باید به سیستم تراز طبقه مجدد مجهز باشد.

6-2-15 آزمایش و تحویل‌گیری

1-6-2-15 آسانسور باید مطابق ضوابط این مقررات در ساختمان‌ها نصب، راه‌اندازی و تحویل گردد و قطعات منفصله و یا مونتاژ شده آن مطابق ضوابط سازمان ملی استاندارد ایران به شماره‌های 1-6303 و 2-6303 ساخته شده باشند.

2-6-2-15 آسانسور پس از نصب و راه‌اندازی باید توسط متخصصان صاحب صلاحیت آزمایش و تحویل گرفته شود. این تحویل‌گیری مانع از ضمانت شرکت سازنده، فروشنده و نصاب آسانسور نخواهد بود.

3-6-2-15 عقد قرارداد نگهداری مناسب با اشخاص حقیقی و حقوقی صاحب صلاحیت در حین بهره‌برداری، همواره الزامی است، در غیراین صورت مسئولیت آسانسور با کارفرما یا بهره‌بردار ساختمان خواهد بود و باید در قبال هر حادثه‌ای پاسخگو باشند.

4-6-2-15 هنگام بازدید یا تعمیر آسانسور در دوره بهره‌برداری لازم است کلیه ورودی‌های آسانسور در طبقات مختلف توسط سرویس کار مجاز ساختمان مسدود گردد. مسدود نمودن ورودی‌های مذکور لازم است با علائم هشدار دهنده مطابق با مبحث بیستم مقررات ملی ساختمان انجام گیرد.

هنگام تحویل‌گیری آسانسور علاوه بر مواردی که قبلاً ذکر شد، رعایت نکات زیر نیز الزامی است:

1-4-6-2-15 کابین باید در تراز هر طبقه توقف نماید و در حین ورود و خروج مسافر یا بار در آن تراز باقی بماند.

2-4-6-2-15 رواداری توقف کابین از سطح تراز ورودی نباید از 20 میلی‌متر بیشتر شود.

3-4-6-2-15 در صورتی که به دلیل ظرفیت سنگین و یا ارتفاع زیاد و یا هر دلیل دیگر کابین بعد از کم یا زیاد شدن مسافران و بار، تغییر سطح دهد و از رواداری مجاز تجاوز نماید باید مکانیزم تراز طبقه شدن مجدد به سیستم اضافه شود.

4-4-6-2-15 کابین نباید هنگام حرکت به سمت بالا یا پایین لرزش یا تکان داشته باشد و صداهای سایش یا غیرمعمول بدهد.

5-4-6-2-15 سیستم محرکه آسانسور باید کمترین لرزش و صدا را داشته باشد و با بالانس کردن صحیح و نصب لرزه‌گیرهای مناسب از به وجود آمدن و انتقال این موارد به سازه ساختمان جلوگیری شده باشد.

6-4-6-2-15 در مواقع قطع برق باید بتوان به طور دستی کابین را به نزدیک‌ترین طبقه رسانید تا مسافران خارج شوند، دستورالعمل نحوه عملکرد باید در موتورخانه نصب باشد.

7-4-6-2-15 در کابین و درهای طبقات در هنگام بسته بودن باید کاملاً محدوده بازشوی ورودی را پوشش داده و قفل شوند (قفل ایمنی).

8-4-6-2-15 دکمه‌های زنگ اخبار و توقف اضطراری در کابین در صورت وجود پایین‌ترین دکمه بوده و در ارتفاعی برابر با 890 میلی‌متر نصب شوند و بالاترین دکمه نباید بیش از 1370 میلی‌متر از کف کابین ارتفاع داشته باشد.

9-4-6-2-15 زنگ اخبار (در صورت وجود) باید مجهز به باطری قابل شارژ باشد و حتی المقدور امکان نصب زنگ کمکی در اتاق نگهبانی نیز فراهم گردد.

10-4-6-2-15 در ساختمان‌های عمومی باید وسیله مکالمه دوطرفه (تلفن یا …) در کابین نصب شود (توصیه می‌شود این وسیله در کلیه آسانسورها نصب شود).

11-4-6-2-15 درهای لولایی طبقات باید مجهز به پنجره مرئی شوند تا بودن کابین در طبقه مشخص شود کیفیت و ابعاد این پنجره و شیشه باید طبق ضوابط استانداردهای ملی یا استانداردهای معتبر بین‌المللی باشد.

12-4-6-2-15 روشن بودن داخل کابین به طور دائم در حین حرکت یا با درِ باز الزامی است.

13-4-6-2-15 تعبیه هواکش برای کابین دارای در الزامی است.

14-4-6-2-15 در صورتی که کابین فاقد در باشد (آسانسورهای باری ویژه) باید لبه ایمنی مجهز به میکروسوئیچ و حداقل یک چشم الکترونیکی در آستانه ورودی کابین نصب شود. علاوه بر آن باید کلیه شرایط ایمنی مطابق با ضوابط سازمان ملی استاندارد ایران به شماره‌های 1-6303 و 2-6303 رعایت گردد.

15-4-6-2-15 ریل‌های راهنمای آسانسور باید از جنس فولاد مخصوص بوده و استحکام و درستی انتخاب و نصب آن‌ها توسط شرکت آسانسوری تضمین شده باشند.

16-4-6-2-15 در موقع تحویل‌گیری آسانسور باید شناسنامه مربوطه به آسانسور مطابق پیوست شماره 1 دریافت شود و در هر قرارداد نگهداری، این شناسنامه به رویت شرکت نگهدارنده برسد تا آخرین تغییرات اساسی در آسانسور به اطلاعات آن شناسنامه اضافه گردد.

17-4-6-2-15 دستگیره‌ای بر روی یکی از دیواره‌های کابین، ترجیحاً در عقب با سطحی صاف با فاصله‌ای حداقل 20 میلی‌متر از دیواره و در ارتفاع 900 میلی‌متر از کف کابین نصب شود.

18-4-6-2-15 وقتی که در کابین و در طبقات باز می‌شوند، شدت روشنایی بر روی دکمه‌های کنترل کابین و یا راهروها، نباید از 50 لوکس کمتر باشد و این روشنایی باید دایمی باشد.

19-4-6-2-15 در آسانسورهای تخت بر و آسانسورهای حمل بار، نصب یک یا دو ردیف ضربه‌گیر روی تمام دیواره‌های کابین الزامی است.

20-4-6-2-15 حداکثر ارتفاع بالاترین دکمه‌ها و نشانگرهای کابین نباید بیش از 1800 میلی‌متر باشد. دکمه‌های نشان دهنده جهت اندازه‌ای برابر 18 میلی‌متر خواهند داشت. نشانگر قابل رؤیتی جهت نشان دادن تقاضای مسافر ثبت شده روی دکمه‌ها یا کنار آن‌ها برای هر آسانسور، باید وجود داشته باشد و پس از جواب دادن به این تقاضا باید خاموش شده یا تغییر رنگ دهد.

21-4-6-2-15 در کلیه طبقات به جز طبقه ورودی اصلی، یک علامت تصویری با طرح استاندارد شده در مجاورت هر دکمه آسانسور نصب شود که نشان میدهد که در مواقع آتش‌سوزی از آسانسور استفاده نشود و راه‌پله خروجی و اضطراری را نشان دهد.

22-4-6-2-15 اتصال زمین مناسبی برای سیستم برق آسانسور و هم‌چنین سیستم هم‌بندی برای هم ولتاژ کردن جهت ریل‌های آسانسور و قطعات فلزی ثابت آن، مطابق مفاد مقررات مبحث سیزدهم مقررات ملی ساختمان در نظر گرفته شود.

23-4-6-2-15 در صورتی که ساختمان به هر دلیلی قبل از تکمیل سیستم آسانسور مورد بهره‌برداری قرار گیرد باید تمام نقاط دسترسی به چاه و آسانسور و موتورخانه آسانسور در برابر خطر سقوط حفاظت شوند.

7-2-15 حفاظت در مقابل آتش

هنگام آتش‌سوزی ساختمان‌ها، آسانسورها می‌توانند نقش حیاتی در تخلیه ساختمان و نجات افراد داشته باشند در حالی که همیشه این پیغام در آسانسورها نصب می‌شود که از آسانسورها هنگام آتش‌سوزی استفاده نشود. هنگام وقوع حریق در تمام یا قسمتی از ساختمان مشکلات تخلیه خصوصاً برای سالمندان و بیماران پیش می‌آید. به همین منظور استفاده از آسانسور در مواقع آتش‌سوزی در صورتی مجاز است که آسانسور در اختیار افراد ذی صلاح یا آتشنشانها قرار گیرد تا بتوانند با راندمان بیشتر، عملیات تخلیه را انجام دهند.

1-7-2-15 رعایت مفاد مبحث سوم مقررات ملی ساختمان تحت عنوان "محافظت ساختمان‌ها در برابر حریق" لازم‌الاجرا می‌باشد.

2-7-2-15 چاه آسانسور به عنوان یک کانال هوایی عمل می‌کند و لذا راهرو طبقات باید توسط درهای ضد گسترش حریق محفوظ گردد تا از نفوذ دود و آتش به چاه آسانسور و عمل نمودن چاه آسانسور به عنوان دودکش جلوگیری شود.

3-7-2-15 کابل تغذیه برق برای آسانسور باید مستقل باشد تا چنانچه در اثر آتش‌سوزی، اتصال برق منجر به عمل فیوزها یا کلیدهای حفاظتی دیگر گشته و سبب قطع مدار برق قسمت‌هایی از ساختمان شوند سیستم برق آسانسور همچنان متصل و فعال باشد.

4-7-2-15 در پایین‌ترین نقطه یا در طبقه همکف داکت هوایی خاصی برای چاه آسانسور و طراحی و ساخته شود تا در مواقع آتش‌سوزی و نفوذ دود به چاه آسانسور، تهویه هوای تازه از داکت ممکن باشد.

5-7-2-15 داکت فوق باید به نحوی محفوظ شود تا از ورود انسان و یا حیوانات به چاه آسانسور جلوگیری شود.

6-7-2-15 در صورت الزام به پیش‌بینی سیستم اعلام حریق در ساختمان (با توجه به ضوابط سایر مباحث مقررات ملی ساختمان یا ضوابط سازمان آتش‌نشانی و غیره) نصب حسگرهای سیستم اعلام حریق در فضاهای موتورخانه آسانسور، چاه آسانسور، راهرو و ورودی به موتورخانه آسانسور و راهرو جلوی در طبقات آسانسور الزامی است. حداکثر فاصله افقی نصب این حسگرها از مرکز هر بازشو آسانسور (مرکز در طبقات) برابر 1/5 متر است. این حسگرها از طریق تابلو کنترل پانل کنترل سیستم اعلام حریق به سیستم کنترل آسانسور مرتبط می‌گردند. در صورتی که حسگرهای فوق الذکر فعال شوند، در آسانسور نباید در هیچیک از طبقات به جز طبقه ورودی یا طبقه از پیش تعریف شده باز شود. تمام آسانسورها باید به طبقه‌ای که توسط افراد مسئول ساختمان مشخص می‌شود منتقل شوند و قابلیت کنترل به صورت دستی (کلید آتشنشان) را دارا باشند.

7-7-2-15 استفاده از هر نوع وسایل آتش‌نشانی در موتورخانه آسانسور به شرطی مجاز می‌باشد که این تجهیزات برای اطفای حریق ناشی از آسانسور به کار روند.

8-7-2-15 انبار کردن و یا گذاشتن هر نوع مواد قابل اشتعال و یا غیرقابل اشتعال در چاه آسانسور، موتورخانه و یا چاهک آسانسور ممنوع می‌باشد.

9-7-2-15 در صورتی که دیواره‌های چاه آسانسور از نظر مقاومت به آتش درجه‌بندی شده باشند باید درهای لولایی همان درجه و درهای اتوماتیک حداقل نصف آن درجه‌بندی را دارا باشند.

8-2-15 برق اضطراری

در صورتی که وجود برق اضطراری برای یک ساختمان ضروری باشد باید حداقل یک آسانسور از هر گروه آسانسور در ساختمان از برق اضطراری تغذیه گردد و این خط تغذیه باید بتواند هر یک از آسانسورهای دیگر را به انتخاب تغذیه نماید. این سیستم باید به صورت خودکار فعال شود.

مشخصات آیین‌نامه

تعداد فصول: 7 فصل
سال انتشار: 1392
ویرایش: سوم

جستجو در آیین‌نامه‌ها

ناشرین آیین‌نامه‌ها

مقررات ملی ساختمان

قوانین، آیین‌نامه‌ها، شیوه‌نامه‌ها، دستورالعمل‌ها و بخشنامه‌های ساختمان

نظام مهندسی ساختمان

ضوابط، بخشنامه‌ها، نشریه‌ها و معیار‌های فنی نظام مهندسی ساختمان

مرکز تحقیقات راه، مسکن و شهرسازی

قوانین، آیین‌نامه‌ها و بخشنامه‌های مرکز تحقیقات راه، مسکن و شهرسازی

سازمان برنامه و بودجه کشور

ضوابط، بخشنامه‌ها و قوانین سازمان برنامه و بودجه کشور

سازمان ملی استاندارد ایران

استانداردهای کمیته‌های مختلف سازمان ملی استاندارد ایران

سازمان تامین اجتماعی کشور

مقررات و آیین‌نامه‌های درمانی و بیمه‌ای سازمان تامین اجتماعی کشور

ضوابط فنی و اجرایی شهرداری‌ها

ضوابط، بخشنامه‌ها، نشریه‌ها و معیار‌های فنی شهرداری‌های کشور

ضوابط فنی و اجرایی وزارت بهداشت

ضوابط، بخشنامه‌ها، نشریه‌ها و معیار‌های فنی وزارت بهداشت

ضوابط فنی و اجرایی وزارت نیرو-آبفا

ضوابط، بخشنامه‌ها، نشریه‌ها و معیار‌های فنی وزارت نیرو-آبفا

ضوابط سازمان بنادر و دریانوردی

ضوابط، بخشنامه‌ها، نشریه‌ها و معیار‌های فنی سازمان بنادر و دریانوردی

ضوابط فنی و اجرایی وزارت نفت

ضوابط، بخشنامه‌ها، نشریه‌ها و معیار‌های فنی وزارت نفت

قوانین و مقررات مالیاتی کشور

قوانین، مقررات، ضوابط و دستورالعمل‌هاى مالیاتى سازمان مالیات كشور

تازه‌ترین فصل‌ها

واژه‌نامه

مبحث هفدهم مقررات ملی ساختمان (سامانه گاز طبیعی در ساختمان)

پیوست ۶ دسته‌بندی نوع دستگاه‌‌‌های گازسوز

مبحث هفدهم مقررات ملی ساختمان (سامانه گاز طبیعی در ساختمان)

پیوست 5 شکل‌ها

مبحث هفدهم مقررات ملی ساختمان (سامانه گاز طبیعی در ساختمان)

پیوست 4 جدول‌ها

مبحث هفدهم مقررات ملی ساختمان (سامانه گاز طبیعی در ساختمان)

پیوست 3 ایمنی و ضوابط بهره‌برداری و نگهداری از سیستم لوله‌‌کشی گاز

مبحث هفدهم مقررات ملی ساختمان (سامانه گاز طبیعی در ساختمان)

پیوست 2 نمونه محاسبات

مبحث هفدهم مقررات ملی ساختمان (سامانه گاز طبیعی در ساختمان)

پیوست 1 راهنمای ایمنی

مبحث هفدهم مقررات ملی ساختمان (سامانه گاز طبیعی در ساختمان)