آیین‌نامه‌ها

صفحه اصلی / آیین‌نامه‌ها / مبحث چهاردهم مقررات ملی ساختمان (تاسیسات مکانیکی)
7-14 دیگ، آب‌گرم‌کن و مخزن آبگرم تحت فشار

7-14 دیگ، آب‌گرم‌کن و مخزن آبگرم تحت فشار

1-7-14 کلیات
1-1-7-14 دامنه کاربرد

الف) طراحی، ساخت، نصب و بازرسی دیگ‌های آبگرم و بخار، آب‌گرم‌کن و مخزن آب گرم تحت فشار، در تأسیسات گرمایی و تولید و ذخیره آب گرم مصرفی ساختمان، باید طبق الزامات مندرج در این فصل از مقررات «(14-7) دیگ، آب‌گرم‌کن و مخزن آبگرم تحت فشار» صورت گیرد.

ب) الزامات مندرج در «(14-3) مقررات کلی» در این فصل نیز معتبر است و باید رعایت شود.

پ) این فصل از مقررات الزامات مربوط به دستگاه‌های با سوخت مایع یا گاز را مقرر میدارد.

(1) الزامات مربوط به دستگاه‌های با سوخت جامد خارج از شمول این فصل از مقررات است.

ت) این فصل از مقررات الزامات دستگاه‌های تولید و ذخیره آبگرم با دمای پایین را مقرر میدارد.

(1) الزامات مربوط به تولید و ذخیره آبگرم با دمای متوسط و بالا خارج از شمول این فصل از مقررات است.

ث) الزامات مربوط به مخازن تحت فشار آب سرد خارج از شمول این فصل از مقررات است.

2-7-14 آب‌گرم‌کن
1-2-7-14 کلیات

الف) آب‌گرم‌کن باید ظرفیت لازم برای تأمین آبگرم مصرفی ساختمان را داشته باشد.

2-2-7-14 استاندارد

الف) آب‌گرم‌کن باید گواهی ساخت و آزمایش از یک مؤسسه دارای صلاحیت قانونی داشته باشد.

ب) ساخت آب‌گرم‌کن باید مطابق استانداردهای جدول 14-7-2-2 "ب" باشد.

جدول ( 14-7-2-2) "ب" استاندارد آب‌گرم‌کن‌ها

آب‌گرم‌کن خورشیدی CSA F379.1 /UL174 / UL1453
آب‌گرم‌کن برقی فوری ISIRI1562-1 / ISIRI1562-2-35
آب‌گرم‌کن برقی خانگی مخزن‌دار ISIRI 1562-1 / ISIRI 1562-2-21 ISIRI 1563-2
آب‌گرم‌کن گازی مخزن‌دار ISIRI 1219/ ISIRI 1219-2
آب‌گرم‌کن گازی فوری (بدون مخزن) ISIRI 1828/ ISIRI 1828-2
آب‌گرم‌کن با سوخت مایع ISIRI 3527 /ISIRI 1228
3-2-7-14 نصب

الف) آب‌گرم‌کن باید طبق دستورالعمل کارخانه سازنده نصب گردد. فاصله آب‌گرم‌کن با دیوارهای اطراف باید دست کم 300 میلی‌متر (12 اینچ) باشد. در نصب آب‌گرم‌کن گازی باید علاوه بر دستورالعمل کارخانه سازنده، استانداردهای شرکت ملی گاز ایران نیز رعایت شود.

ب) آب‌گرم‌کن در جایی باید نصب شود که بدون تخریب اجزای دایمی ساختمان، قابل برداشتن باشد.

پ) لوله‌کشی آب سرد و گرم و تخلیه شیر اطمینان آب‌گرم‌کن باید طبق الزامات مندرج در « مبحث شانزدهم، تأسیسات بهداشتی» انجام شود.

(1) لوله تخلیه شیر اطمینان و لوله تخلیۀ آب‌گرم‌کن نباید مستقیماً به شبکه فاضلاب متصل شود.

ت) دودکش آب‌گرم‌کن‌های نفت سوز و گاز سوز باید با رعایت الزامات فصل یازدهم این مبحث طراحی و اجرا شود.

ث) هوای احتراق آب‌گرم‌کن‌های نفت سوز و گاز سوز باید با رعایت الزامات فصل نهم این مبحث تأمین شود.

ج) گاز سوخت آب‌گرم‌کن گازی باید طبق الزامات مندرج در « مبحث هفدهم، لوله‌کشی گاز طبیعی» لوله‌کشی شود.

ح) کابل‌کشی برق و سیستم کنترل آب‌گرم‌کن برقی باید با رعایت الزامات « مبحث سیزدهم، طرح و اجرای تأسیسات برقی ساختمان‌ها» طراحی و اجرا شود.

4-2-7-14 کنترل و ایمنی

الف) آب‌گرم‌کن باید مجهز به کنترل کننده خودکار دما مطابق استاندارد ساخت باشد. کنترل کننده دمای آب‌گرم‌کن گازی باید مورد تأیید "شرکت ملی گاز ایران" باشد.

آب‌گرم‌کن گازی فوری باید به کنترل کننده دما، شیر خودکار کنترل جریان گاز، و سیستم جرقه زن و نظارت بر شعله مطابق استاندارد ملی ISIRI 1828، مجهز باشد.

ب) آب‌گرم‌کن باید مجهز به شیر اطمینان فشار و دما، با فشار تنظیم شده 1035 کیلوپاسکال (150 پوند بر اینچ مربع) و دمای تنظیم شده 99 درجه سلسیوس (210 درجه فارنهایت)، باشد. نصب هرگونه شیر بر روی لوله خروجی شیراطمینان مجاز نیست. انتهای لوله تخلیه شیر اطمینان باید بدون دنده باشد و تا 300میلی‌متری (12 اینچ) کف اتاق محل نصب ادامه یابد. اتصال این لوله به شبکه فاضلاب ساختمان مجاز نیست.

5-2-7-14 آب‌گرم‌کن باید به شیر تخلیه مجهز باشد. اندازه قطر شیر تخلیه باید طبق دستور العمل کارخانه سازنده و دست کم برابر قطر دهانه تخلیه باشد.

6-2-7-14 آب‌گرم‌کن باید با عایق گرمایی پوشانده شود، ضخامت عایق باید به اندازه‌ای باشد که تلفات انرژی گرمایی از سطوح خارجی آب‌گرم‌کن از 47 وات بر متر مربع (15 بی‌تی یو در ساعت بر فوت مربع ) بیشتر نشود. در محاسبه اتلاف انرژی، دمای محیط محل نصب باید حداکثر 18 درجه سلسیوس در نظر گرفته شود.

7-2-7-14 فشار کار مجاز آب‌گرم‌کن نباید از 1035 کیلوپاسکال (150 پوند بر اینچ مربع) کمتر باشد.

8-2-7-14 ظرفیت آب‌گرم‌کن

ظرفیت ذخیره آب‌گرم‌کن گازی مخزن‌دار باید دست کم برای هر واحد مسکونی یک خوابه 75 لیتر (20 گالن)؛ دوخوابه 110 لیتر (30 گالن ) و سه خوابه 150 لیتر (40 گالن)، باشد.

9-2-7-14 ظرفیت آب‌گرم‌کن گازی فوری برای واحدهای مسکونی یک و دو خوابه باید دست کم 12 لیتر در دقیقه (3/2 گالن در دقیقه) و سه خوابه و بیشتر دست کم 19 لیتر در دقیقه (5 گالن در دقیقه) باشد.

10-2-7-14 آب‌گرم‌کن‌هایی که از مبدل‌های مبرد به آب برای گرم کردن آب گرم مصرفی استفاده می‌کنند باید از طرف سازنده برای این منظور توصیه شده باشد و گواهی ساخت و آزمایش تأیید شده توسط مؤسسۀ دارای صلاحیت قانونی داشته باشد.

11-2-7-14 استفاده از آب‌گرم‌کن برای گرم کردن ساختمان

الف) اگر آب‌گرم‌کن علاوه بر تهیه و ذخیره آبگرم مصرفی، برای گرم کردن ساختمان هم به کار می‌رود، باید بوسیله سازنده برای این منظور توصیه شده باشد و دارای گواهی ساخت و آزمایش باشد.

ب) ظرفیت آب‌گرم‌کن که برای تهیه آبگرم مصرفی و نیز گرم کردن ساختمان به کار می‌رود، باید به اندازه‌ای باشد که بار گرمایی ساختمان موجب کاهش دمای آب گرم مصرفی مورد نیاز نشود.

پ) در آب‌گرم‌کن‌های ویژه تهیۀ آبگرم مصرفی و تأمین انرژی گرمایی ساختمان، باید مدارهای لوله‌کشی آبگرم مصرفی و آب گرمکنندۀ ساختمان مستقل و جدا از هم باشند.

ت) دستگاه مشترک تهیه آبگرم مصرفی و آب گرم کننده ساختمان باید مجهز به سیستم کنترل دمای آبگرم مصرفی باشد تا با وجود نیاز به دمای بالاتر برای گرم کردن ساختمان، دمای آب گرم مصرفی بیش از 60 درجه سلسیوس (140 درجه فارنهایت) نشود.

12-2-7-14 دودکش آب‌گرم‌کن باید مطابق الزامات فصل یازدهم همین مبحث طراحی، ساخته و نصب شود.

3-7-14 مخزن تحت فشار آب گرم مصرفی

الف) محاسبه ظرفیت مخزن تحت فشار باید طبق روش‌های مهندسی مورد تأیید صورت گیرد و مخزن ظرفیت لازم برای تأمین آبگرم مصرفی ساختمان را داشته باشد

ب) ساخت مخزن و جوش‌کاری آن باید توسط کارگران آموزش دیده و طبق یکی از استانداردهای معتبر و مورد تأیید، انجام شود.

پ) مصالح مصرفی در ساخت و نصب مخزن تحت فشار آب گرم مصرفی، از جمله اتصالات لوله‌کشی‌های مربوط به آن، باید برای فشار و دمای کار و کاربری آن مناسب باشد.

ت) مصالح مصرفی در ساخت مخزن تحت فشار آبگرم مصرفی باید از نظر بهداشتی مورد تأیید باشد.

ث) مخزن تحت فشار آبگرم مصرفی باید طبق دستور کارخانه سازنده نصب شود.

ج) مخزن تحت فشار آب گرم مصرفی باید با عایق پوشانده شود، ضخامت عایق باید به اندازه‌ای باشد که تلفات انرژی گرمایی از سطوح خارجی مخزن از 47 وات بر متر مربع (15 بی‌تی یو در ساعت بر فوت مربع) بیشتر نشود.

4-7-14 دیگ آب گرم و بخار
1-4-7-14 کلیات

الف) دیگ‌های آبگرم و بخار فولادی از نوع پوسته‌ای با ساختمان جوش شده باید طبق الزامات مندرج در استاندارد ملی 4231 یا BS 2790 و یا BS/EN 12953 طراحی و ساخته شوند:

ب) دیگ آبگرم از نوع گاز سوز کاملاً بسته از نوع "C" باید طبق استاندارد ملی 12156 و یا BS EN 15501 و BS EN 15502 باشد.

پ) دیگ یک پارچه آبگرم تلفیقی گازسوز باید مطابق با استاندارد ملی 11005 و یا BS EN 15501 و BS EN 15502 باشد.

ت) دیگ چدنی مخصوص گرمایش مرکزی و تولید آب گرم مصرفی (بطور غیرمستقیم) باید مطابق با استاندارد ملی 4473 باشد.

ث) دیگ فولادی با ساختمان جوش شده مخصوص گرمایش مرکزی و تأمین آب گرم مصرفی (بطور غیرمستقیم) باید مطابق استاندارد ملی 7911 باشد.

ج) پکیج‌های گازسوز گرمایش مرکزی نوع B11 و B11Bs مجهز به مشعل آتمسفریک، باید مطابق استاندارد ملی 5363 باشند.

چ) پکیج‌های گازسوز گرمایش مرکزی نوع چگالشی با ظرفیت حداکثر تا 70 کیلووات (239000 بی‌تی یو در ساعت) باید مطابق استاندارد ملی 14553 یا BS EN 15502 باشد.

ح) دیگ آب گرم چگالشی گاز سوز با ظرقیت 70 تا 1000 کیلووات (239000 تا 3415000 بی‌تی یو در ساعت) باید مطابق استاندارد BS EN 15417 باشد

خ) دیگ آب گرم چگالشی با سوخت مایع با ظرفیت تا 1000 کیلووات (3415000 بی‌تی یو در ساعت) باید مطابق استاندارد BS EN 15034 باشد.

د) دیگ آبگرم یا بخار باید مطابق «(14-3) مقررات کلی»، گواهی ساخت و آزمایش از یک مؤسسه دارای صلاحیت قانونی داشته باشد.

2-4-7-14 نصب

الف) دیگ آب گرم یا بخار باید طبق دستورالعمل کارخانه سازنده نصب گردد.

(1) نسخه کامل دیاگرام کنترل دستگاه و دستورالعمل راه‌اندازی و راهبری دیگ، که در آن روش روشن و خاموش کردن، راه‌اندازی، تنظیم و نکات مربوط به راهبری و نگهداری دستگاه درج شده استف باید از طرف سازنده همراه با دستگاه، ارائه شود و به طور دائم در محل نصب آن نگهداری شود.

(2) نصب کننده‌ی متخصص باید دستگاه را راه‌اندازی تنظیم و آزمایش کند، و از عملکرد سیستم کنترل اطمینان حاصل نماید

(3) ظرفیت دستگاه و دیگر اطلاعات ضروری، مطابق «(14-3) مقررات کلی»، باید روی پلاک دستگاه نقش شده باشد.

ب) دستگاه باید روی پی مسطح و مقاوم برای تحمل وزن دستگاه در حال کار و توزیع این وزن بر سطح پی دستگاه، سوار شود. پی دستگاه باید از جنس نسوختنی باشد.

(1) دستگاه باید به طور اطمینان بخش و پایدار به اجزای سازه ساختمان مهار شود. بارهای ناشی از زمین‌لرزه در طراحی سیستم مهار دستگاه به سازه باید در نظر گرفته شود.

اگر دستگاه لرزش داشته باشد، باید زیر پایه‌های آن لرزه‌گیر مناسب و مورد تأیید نصب شود، مگر آنکه سازنده این لرزه‌گیر را بین دستگاه و پایۀ آن نصب کرده باشد.

پ) اتاقی که دستگاه در آن نصب می‌شود باید دارای کف شوی یا هر دهانه تخلیه مورد تأیید دیگر، مناسب برای تخلیه آب دستگاه باشد.

(1) اتصال دهانه تخلیه دستگاه به لوله‌کشی فاضلاب ساختمان، باید طبق الزامات «مبحث شانزدهم- تأسیسات بهداشتی» باشد.

3-4-7-14 فاصله اطراف دستگاه

الف) برای بازرسی، سرویس، تعمیر، تعویض و مشاهده لوازم اندازه‌گیری، باید در اطراف دستگاه فاصله کافی پیش‌بینی شود.

(1) در اطراف دستگاه پهنای راه عبور بدون مانع نباید از 500 میلی‌متر (20 اینچ) کمتر باشد.

4-4-7-14 فاصله ایمنی بالای دستگاه

فاصله بالای دیگ آب گرم یا بخار تا سقف یا هر مانع دیگری که بالای دیگ قرار داشته باشد باید مطابق جدول 14-7-4-4 باشد.

جدول (14-7-4-4): حداقل فاصله دیگ بخار یا دیگ آب گرم تا سقف یا هر مانع بالای دیگ

نوع دیگ حداقل فاصله بالای دیگر (میلی‌متر)
تمام دیگ‌هائی که روی پوسته بالای آن دریچه دسترسی وجود دارد. جز مواردی که در این جدول فاصله بیشتری در بالای آن‌ها در نظر گرفته شده است. 900
تمام دیگ‌هایی که روی پوستۀ بالای آن دریچه دسترسی وجود ندارد جز دیگ‌های بخار پرفشار و مواردی که در این جدول فاصله بیشتری در بالای آن‌ها در نظر گرفته شده است 600
دیگ‌های بخار پر فشار با ظرفیت حداکثر 2270 کیلوگرم بخار در ساعت 900
دیگ‌های بخار پر فشار با ظرفیت بیش از 2270 کیلوگرم بخار در ساعت 2150
دیگ‌های بخار پر فشار با سطح گرمائی حد اکثر 93 متر مربع 900
دیگ‌های بخار پر فشار با سطح گرمائی بیش از 93 متر مربع 2150
دیگ‌های بخار پر فشار با انرژی معادل سوخت ورودی حداکثر تا 1465 کیلووات 900
دیگ‌های بخار پر فشار با انرژی معادل سوخت ورودی بیش از 1465 کیلووات 2150
دیگ‌های بخار کم فشار با ظرفیت بیش از 2270 کیلوگرم بخار در ساعت 900
دیگ‌های آب گرم و دیگ‌های بخار کم فشار با انرژی معادل سوخت ورودی بیش از 1465 کیلووات 900
دیگ‌های آب گرم و دیگ‌های بخار کم فشار با سطح گرمائی بیش از 93 متر مربع 900
1 میلی‌متر = فوت
1 متر مربع = 10/76 فوت مربع
1 کیلوگرم بخار = 2/205 پوند
1 وات = 3/415 بی‌تی یو در ساعت
5-4-7-14 کف محل نصب دیگ

الف) کف محل نصب دیگ آب گرم یا بخار باید از جنس نسوختنی باشد.

6-4-7-14 شیرها

الف) شیرهای قطع و وصل

(1) بر روی لوله‌های ورودی و خروجی دیگ آب گرم یا بخار باید شیر قطع و وصل نصب شود.

(2) اگر تعدادی دیگ به صورت موازی قرار گیرند هر یک از دیگ‌ها باید شیر قطع و وصل جداگانه داشته باشد.

ب) شیر تغذیه آب دیگ

(1) لوله آب، از شبکه لوله‌کشی توزیع آب آشامیدنی ساختمان، باید با رعایت الزامات مندرج در «مبحث شانزدهم – تأسیسات بهداشتی» به سیستم تغذیه آب دیگ متصل گردد.

پ) شیر تخلیه سریع

(1) هر دیگ بخار باید مجهز به شیر تخلیه سریع باشد.

(2) این شیر تخلیه باید در محلی که روی دیگ پیش‌بینی شده است، نصب شود.

(3) اندازه این شیر باید طبق دستورالعمل کارخانه سازنده و دست کم برابر قطر دهانه تخلیه سریع دیگ باشد.

(4) روی دیگ‌های بخار با فشار کار مجاز بیش از 689 کیلوپاسکال (100 پوند بر اینچ مربع) باید دو شیر تخلیه بصورت سری نصب شود که دست کم یکی از آن‌ها از نوع آهسته بازشو باشد. در اینصورت شیر قطع سریع باید نزدیک‌تر به دیگ نصب شود.

(5) در اتصال لوله تخلیه، از محل شیر تخلیه سریع تا نقطه دریافت فاضلاب در محل نصب دیگ، الزامات مندرج در «مبحث شانزدهم – تأسیسات بهداشتی» باید رعایت شود.

7-4-7-14 اتصال لولۀ سوخت

الف) مشعل گازسوز

(1) ) لوله‌کشی گاز سوخت باید طبق الزامات مندرج در «مبحث هفدهم – لوله‌کشی گاز طبیعی» انجام گیرد.

(2) بر روی لوله ورودی گاز سوخت به مشعل دیگ، پیش از لوازم کنترل، باید یک شیر قطع و وصل دستی نصب شود.

(3) لوله انشعاب گاز برای شمعک مشعل باید پیش از شیر قطع و وصل نصب شود. لوله انشعاب گاز برای شمعک باید شیر قطع و وصل مخصوص به خود داشته باشد.

ب) مشعل با سوخت مایع

(1) سوخت مایع باید طبق الزامات مندرج در «فصل دوازدهم – ذخیره و انتقال سوخت مایع» لوله‌کشی شود.

5-7-14 لوازم اندازه‌گیری روی دیگ‌ها
1-5-7-14 دیگ آب گرم

الف) دیگ آب گرم باید فشارسنج و دماسنج یا وسیله مشترک اندازه‌گیری فشار و دما داشته باشد.

ب) فشارسنج و دماسنج باید فشار و دمای دیگ را در کارکرد عادی آن، نشان دهند.

2-5-7-14 دیگ بخار

الف) هر دیگ بخار باید دارای فشارسنج و آب نما باشد.

ب) فشارسنج باید فشار دیگ را در کارکرد عادی در مقیاس میانی آن، نشان دهد.

پ) شیشه آبنما باید طوری نصب شده باشد که‌تر از خط وسط آن برابر سطح آب دیگ در کارکرد عادی آن باشد.

6-7-14 کنترل سطح پایین آب دیگ
1-6-7-14 کلیات

الف) دیگ آبگرم و دیگ بخار باید با کنترل سطح پایین آب حفاظت شود.

(1) در صورت پایینتر رفتن سطح آب از تراز ایمنی سطح پایین دیگ، کنترل سطح پایین آب باید به طور خودکار عمل احتراق را قطع کند.

(2) تراز ایمنی پایین آب را سازنده دیگ تعیین می‌کند.

ب) دیگ‌های نوع کویلی و WATER TUBE نیاز به کنترل سطح پائین آب ندارند. این دیگ‌ها باید توسط سنسور جریان آب حفاظت شوند.

(1) با قطع جریان آب در لوله‌های دیگ، سنسور جریان باید به طور خودکار عمل احتراق را قطع کند.

7-7-14 شیر اطمینان
1-7-7-14 کلیات

الف) دیگ بخار باید با شیر اطمینان فشار حفاظت شود.

ب) دیگ آب گرم باید با شیر اطمینان فشار حفاظت شود.

پ) مخزن تحت فشار ذخیره آبگرم مصرفی باید با شیر اطمینان یا وسیله محدود کننده سقف فشار دیگری، مطابق توصیه کارخانه سازنده حفاظت شود.

ت) هر سیستم آب گرم کننده باید با شیر اطمینان فشار حفاظت شود.

ث) شیر اطمینان باید از یک مؤسسه‌ای دارای صلاحیت قانونی گواهی آزمایش و تأیید داشته باشد.

2-7-7-14 انتخاب شیر اطمینان

الف) ظرفیت تخلیه سیال شیر اطمینان دیگ آبگرم، دیگ بخار و مخزن ذخیره آب گرم مصرفی باید دست کم برابر با ظرفیت دستگاهی باشد که شیراطمینان روی آن نصب می‌شود.

(1) بر روی دیگ آب گرم، دیگ بخار و مخزن ذخیره آب گرم مصرفی می‌توان به جای یک شیر، چند شیر اطمینان نصب کرد. در این صورت، ظرفیت تخلیه مجموع این شیرها باید با ظرفیت دستگاه برابر باشد.

ب) نقطه تنظیم فشار شیر اطمینان دیگ آب گرم، دیگ بخار و مخزن ذخیره آب گرم مصرفی نباید از حداکثر فشار کار مجاز دستگاه، بیشتر باشد.

3-7-7-14 نصب شیر اطمینان

الف) شیر اطمینان باید بر روی دهانۀ پیش‌بینی شده روی دیگ آب گرم، دیگ بخار و مخزن آب گرم مصرفی، نصب شود.

ب) بین دیگ آب گرم، دیگ بخار، آب‌گرم‌کن و مخزن آبگرم مصرفی تا شیر اطمینان نباید هیچ شیر دیگری نصب شود.

پ) روی لوله تخلیه بعد از شیر اطمینان نباید هیچ نوع شیر دیگری نصب شود.

(1) شیر اطمینان دیگ آبگرم و مخزن آبگرم مصرفی باید به طور ثقلی تخلیه شود.

(2) تخلیه شیر اطمینان دیگ بخار باید از راه لوله‌ای به فضای خارج از ساختمان هدایت شود.

(3) لوله اتصال بین دهانه تخلیه شیر اطمینان و نقطه دریافت تخلیه سیال، در محل نصب دستگاه یا در فضای خارج، باید غیرقابل انعطاف و مناسب برای دمای سیال خروجی باشد.

(4) قطر لوله تخلیه باید دست کم برابر قطر دهانۀ تخلیه شیر اطمینان باشد.

(5) شیر اطمینان نباید در نقاطی که خطر آسیب‌رساندن به اشخاص یا تخریب و تضییع اموال، وجود دارد تخلیه شود.

(6) در صورت تخلیه شیراطمینان دیگ بخار، دیگ آب گرم یا آب‌گرم‌کن به داخل لوله‌کشی فاضلاب ساختمان، باید الزامات مندرج در «مبحث شانزدهم – تأسیسات بهداشتی» در مورد اتصال شیر تخلیه به لوله‌کشی فاضلاب، رعایت شود.

8-7-14 لوازم کنترل و ایمنی
1-8-7-14 کلیات

دیگ آب گرم و دیگ بخار باید علاوه بر شیر اطمینان و کنترل سطح پایین آب به کنترل‌های کارکرد و کنترل‌های ایمنی مطابق استاندارد ساخت، توصیه‌های کارخانه سازنده و مؤسسه گواهی کننده مجهز باشد.

در دیگ آب گرم کویل‌دار که سطح حرارتی دیگ را کویل‌ها تشکیل می‌دهند باید روی لوله آب گرم یک حسگر جریان نصب گردد.

2-8-7-14 نیازهای الکتریکی

تغذیه الکتریکی سیستم کنترل دیگ‌های بخار و آب گرم باید مطابق توصیه کارخانه سازنده و الزامات مبحث سیزدهم "طرح و اجرای تأسیسات برقی ساختمان‌ها " باشد.

9-7-14 مخزن انبساط سیستم گرمائی
1-9-7-14 کلیات

الف) هر سیستم گرمائی با آب گرم باید مجهز به مخزن انبساط باشد.

ب) مخزن انبساط می‌تواند از نوع باز یا بسته باشد.

پ) ظرفیت مخزن انبساط باید با توجه به حجم آب، دما و فشار کار سیستم، محاسبه و انتخاب شود.

ت) مخزن انبساط در محل نصب، باید به کمک پایه، آویز و بست‌های مناسب به اجزای ساختمان مهار شود و در وضع پایدار و مستقر قرار گیرد.

ث) بست و تکیه‌گاه مخزن انبساط باید برای تحمل بارهای وارده از جمله بارهای ناشی از زمین‌لرزه طراحی و ساخته شود.

2-9-7-14 مخزن انبساط باز

الف) مخزن انبساط باز باید در ترازی نصب شود که سطح آب مخزن، در کارکرد عادی سیستم، دست کم 1200 میلی‌متر (4 فوت) بالاتر از بالاترین اجزای سیستم گرمایی قرار گیرد.

ب) گنجایش مفید این مخزن باید دست کم برابر مقدار تغییر حجم آب سیستم در اثر تغییر دمای آب، باشد.

پ) مخزن انبساط باز باید علاوه بر لوله اتصال به سیستم، دارای اتصالات زیر باشد:

(1) لوله سرریز با قطر اسمی دست کم 25 میلی‌متر (1 اینچ)، که مطابق الزامات مندرج در «مبحث شانزدهم- تأسیسات بهداشتی»، تا نقطه تخلیه آب ادامه یابد.

(2) لوله هواکش، تا هوای داخل مخزن را بدون هیچ نوع شیر یا مانع دیگر، به هوای آزاد خارج مربوط کند.

3-9-7-14 مخزن انبساط بسته

الف) مخزن انبساط بسته باید مناسب برای فشار و دمای کار سیستم گرمایی مورد نظر باشد.

ب) مخزن انبساط بسته باید از یک موسسه دارای صلاحیت،قانونی گواهی آزمایش فشار کار داشته باشد.

(1) فشار آزمایش باید دست کم 1/5 برابر حداکثر فشار کار سیستم باشد.

پ) مخزن انبساط بسته (بجز نوع دیافراگمی تحت فشار) باید دارای متعلقات لازم مانند اتصال تخلیه آب و شیشه آبنما، باشد.

(1) آب مخزن را باید بتوان بدون تخلیه آب سیستم گرمایی تخلیه کرد.

ت) مخزن انبساط بسته باید به لوازمی مجهز باشد تا بتوان به کمک آن‌ها، هوا یا گاز ازت را به آن تزریق و فشار مورد نیاز سیستم را تأمین کرد.

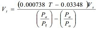
ت) گنجایش مخزن انبساط بسته در سیستم SI، برای سیستم گرمایی با آب گرم، باید دست کم برابر مقداری باشد که از رابطه (14-7-1) به دست می‌آید.

(1-7-14) 1-7-14

در این رابطه

Vt= حداقل گنجایش مخزن (لیتر)

Vs= حجم آب سیستم، بدون حجم مخزن انبساط (لیتر)

T= دمای متوسط سیستم گرمایی در حال کار (درجه سیلسیوس)

Pa= فشار اتمسفر در محل نصب مخزن (کیلوپاسکال مطلق)

Pf= سیستم در محل نصب مخزن، پس از پرکردن آب و پیش از راه‌اندازی (کیلوپاسکال مطلق)

Po= حداکثر فشار کار سیستم در محل نصب مخزن در کارکرد عادی (کیلوپاسکال مطلق)

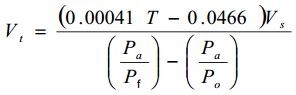
ج) گنجایش مخزن انبساط بسته در سیستم IP، برای سیستم گرمایی با آب گرم، باید دست کم برابر مقداری باشد که از رابطه (14-7-2) به دست می‌آید.

(2-7-14) 2-7-14

در این رابطه

Vt= حداقل گنجایش مخزن (گالن)

Vs= حجم آب سیستم، بدون حجم مخزن انبساط (گالن)

T = دمای متوسط سیستم گرمایی در حال کار (درجه فارنهایت)

Pa= فشار آتمسفر در محل نصب مخزن (پوند بر اینچ مربع مطلق)

Pf= فشار سیستم در محل نصب مخزن، پس از پرکردن آب و پیش از راه‌اندازی (پوند بر اینچ مربع مطلق )

Po= حداکثر فشار کار سیستم در محل نصب مخزن در کارکرد عادی (پوند بر اینچ مربع مطلق)

مشخصات آیین‌نامه

تعداد فصول: 17 فصل
سال انتشار: 1396
ویرایش: سوم

جستجو در آیین‌نامه‌ها

ناشرین آیین‌نامه‌ها

مقررات ملی ساختمان

قوانین، آیین‌نامه‌ها، شیوه‌نامه‌ها، دستورالعمل‌ها و بخشنامه‌های ساختمان

نظام مهندسی ساختمان

ضوابط، بخشنامه‌ها، نشریه‌ها و معیار‌های فنی نظام مهندسی ساختمان

مرکز تحقیقات راه، مسکن و شهرسازی

قوانین، آیین‌نامه‌ها و بخشنامه‌های مرکز تحقیقات راه، مسکن و شهرسازی

سازمان برنامه و بودجه کشور

ضوابط، بخشنامه‌ها و قوانین سازمان برنامه و بودجه کشور

سازمان ملی استاندارد ایران

استانداردهای کمیته‌های مختلف سازمان ملی استاندارد ایران

سازمان تامین اجتماعی کشور

مقررات و آیین‌نامه‌های درمانی و بیمه‌ای سازمان تامین اجتماعی کشور

ضوابط فنی و اجرایی شهرداری‌ها

ضوابط، بخشنامه‌ها، نشریه‌ها و معیار‌های فنی شهرداری‌های کشور

ضوابط فنی و اجرایی وزارت بهداشت

ضوابط، بخشنامه‌ها، نشریه‌ها و معیار‌های فنی وزارت بهداشت

ضوابط فنی و اجرایی وزارت نیرو-آبفا

ضوابط، بخشنامه‌ها، نشریه‌ها و معیار‌های فنی وزارت نیرو-آبفا

ضوابط سازمان بنادر و دریانوردی

ضوابط، بخشنامه‌ها، نشریه‌ها و معیار‌های فنی سازمان بنادر و دریانوردی

ضوابط فنی و اجرایی وزارت نفت

ضوابط، بخشنامه‌ها، نشریه‌ها و معیار‌های فنی وزارت نفت

قوانین و مقررات مالیاتی کشور

قوانین، مقررات، ضوابط و دستورالعمل‌هاى مالیاتى سازمان مالیات كشور

تازه‌ترین فصل‌ها

واژه‌نامه

مبحث هفدهم مقررات ملی ساختمان (سامانه گاز طبیعی در ساختمان)

پیوست ۶ دسته‌بندی نوع دستگاه‌‌‌های گازسوز

مبحث هفدهم مقررات ملی ساختمان (سامانه گاز طبیعی در ساختمان)

پیوست 5 شکل‌ها

مبحث هفدهم مقررات ملی ساختمان (سامانه گاز طبیعی در ساختمان)

پیوست 4 جدول‌ها

مبحث هفدهم مقررات ملی ساختمان (سامانه گاز طبیعی در ساختمان)

پیوست 3 ایمنی و ضوابط بهره‌برداری و نگهداری از سیستم لوله‌‌کشی گاز

مبحث هفدهم مقررات ملی ساختمان (سامانه گاز طبیعی در ساختمان)

پیوست 2 نمونه محاسبات

مبحث هفدهم مقررات ملی ساختمان (سامانه گاز طبیعی در ساختمان)

پیوست 1 راهنمای ایمنی

مبحث هفدهم مقررات ملی ساختمان (سامانه گاز طبیعی در ساختمان)