پیوست 6 : حفاظت در برابر آتش
10-پ6-1 کلیات
حفاظت ساختمانها در برابر آتش باید مطابق با الزامات مبحث سوم مقررات ملی ساختمان صورت گیرد. درجهبندی مقاومت اعضای سازههای فولادی در برابر آتش بر حسب نوع ساختار و نوع عضو سازهای تابعی از مساحت، ارتفاع و تصرف با توجه به مقررات مبحث مذکور تعیین میگردد که در محدوده 1 تا 3 ساعت است.
10-پ6-2 جزئیات حفاظت ستونهای فولادی
در کلیه روشهای حفاظتی، مواد پوششی مقاوم در برابر آتش نباید هیچگونه نقشی در باربری ستون داشته باشد.
در روشهای حفاظتی در این بخش، درجهبندی مقاومت ستون در برابر آتش براساس ضخامت پوشش مقاوم در برابر آتش، جرم واحد طول ستون (M) و محیط در معرض گرمای ستون (D) ارائه میگردد که در آن مطابق شکل 10-پ6-1 منظور از محیط در معرض گرما (D)، محیط داخلی پوشش مقاوم در برابر آتش است.
شکل 10-پ6-1: محیط در معرض گرمای ستونهای با مقاطع مختلف (D)
10-پ6-2-1 حفاظت با استفاده از گچ برگها
گچبرگهای ضد آتش و روش نصب و اجرا باید تایید شده توسط مرجع قانونی صدور گواهینامه فنی (مرکز تحقیقات راه، مسکن و شهرسازی) باشد. در صورت وجود گواهینامه فنی معتبر، مقاومت در برابر آتش ستونهای فولادی که با استفاده از گچ برگهای ضد آتش محافظت میشوند، به شرح زیر تعیین میگردد:
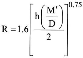
الف) برای :
| (10-پ6-1) |
که در آن:
R = درجهبندی مقاومت در برابر آتش (ساعت)
h = ضخامت قطعه گچی (میلیمتر)
D = محیط در معرض گرمای ستون فولادی (میلیمتر)
'M = مجموع جرم واحد طول ستون و گچ برگ (برحسب کیلوگرم بر متر) مطلق رابطه زیر:
| (10-پ6-2) | M’=M+0.0008hD |
M = جرم واحد طول ستون (کیلوگرم بر متر)
ب) برای :
در این حالت درجهبندی مقاومت در برابر آتش با فرض مقادیر زیر تعیین میشود:
| (10-پ6-3) |
شکل 10-پ6- 2: حفاظت ستونهای فولادی با استفاده از گچ برگها
10-پ6-2-1 حفاظت با استفاده از مواد حفاظتی پاششی
مقاومت در برابر آتش ستونهای فولادی که با استفاده از مواد حفاظتی پاششی محافظت میشوند، به شرح زیر تعیین میگردد:
| (10-پ6-4) |
R = درجهبندی مقاومت در برابر آتش (ساعت)
h = ضخامت لایه حفاظتی پاشیده شده (میلیمتر)
D = محیط در معرض گرمای ستون (میلیمتر)
M = جرم واحد طول ستون (کیلوگرم بر متر)
C1 و C2 = ثابتهای وابسته به نوع پوششی حفاظتی است. این ضرایب از طریق آزمایشهای استاندارد مطابق مراجع علمی معتبر و برحسب نوع پوشش تعیین میشود. در صورت عدم انجام آزمایش میتوان از مقادیر زیر استفاده نمود
- اگر مواد حفاظتی پاششی از نوع سیمانی سبک با جرم مخصوص 200 تا 240 کیلوگرم بر متر مکعب باشند، C1=1.15 و C2=0.52 در نظر گرفته شود.
- اگر مواد حفاظتی پاششی از نوع معدنی سبک با جرم مخصوص 200 تا 240 کیلوگرم بر متر مکعب باشند، C1=1.05 و C2=0.7 در نظر گرفته شود.
- اگر مواد حفاظتی پاششی از نوع معدنی، پرلیت یا ورمیکولیت با جرم مخصوص 300 تا 800 کیلوگرم بر متر مکعب باشند، C2=0.5 و C1 مطابق رابطۀ 10-پ6-5 تعیین میشود.
- اگر مواد حفاظتی پاششی از نوع سیمانی یا گچی با جرم مخصوص 300 تا 800 کیلوگرم بر متر مکعب باشند، C2=1.2 و C1 مطابق رابطۀ 10-پ6-5 تعیین میشود.
| (10-پ6-5) |
r = جرم مخصوص مصالح (کیلوگرم بر متر مکعب)
شکل10-پ6- 3: حفاظت ستونهای فولادی با استفاده از مواد حفاظتی پاششی
10-پ6-2-1 حفاظت با استفاده از بتن
مقاومت در برابر آتش ستونهای فولادی که با بتن محافظت شدهاند، از روابط زیر به دست میآید:
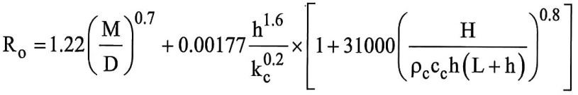
| (10-پ6-6) | R=R0(1+0.03m) |
| (10-پ6-7) |
در روابط فوق:
R = درجهبندی مقاومت در برابر آتش (ساعت)
Ro = درجهبندی مقاومت در برابر آتش (ساعت) برای بتن بدون رطوبت
m = میزان رطوبت بتن (درصد از حجم) مطابق جدول 10-پ6-1
M = جرم واحد طول ستون (کیلوگرم بر متر)
D = محیط در معرض گرمای ستون (میلیمتر)
h = ضخامت لایه بتن حفاظتی (میلیمتر). مطابق شکل 10-پ6-4 هنگامی که ضخامت پوشش بتنی در تمام نواحی ثابت نباشد، از میانگین مقادیر h1 و h2 استفاده شود.
kc = ضریب انتشار حرارت بتن در دمای محیط (W/m-K) مطابق جدول 10-پ6-1
ρc = چگالی بتن (کیلوگرم بر متر مکعب) مطابق جدول 10-پ6-1
cc = گرمای ویژه بتن در دمای محیط مطابق جدول 10-پ6-1
L = اندازه وجه داخلی لایه محافظ بتنی (میلیمتر). مطابق شکل 10-پ6-4، هنگامی که ابعاد وجوه داخلی پوشش بتنی برابر نباشد، L برابر میانگین دو مقدار L1 و L2 در نظر گرفته شود.
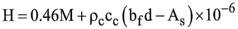
H = ظرفیت حرارتی ستون در دمای محیط (kJ/m.K) مطابق رابطه زیر:
| (10-پ6-8) | H=0.46M |
هنگامی که مطابق شکل 10-پ6-4-پ فضای بین لبههای بال و جان ستون با بتن پر شده باشد و ستون کاملاً در بتن محصور شده باشد، ظرفیت حرارتی ستون باید مطابق رابطه زیر افزایش داده شود:
| (10-پ6-9) |
bf = عرض بال ستون (میلیمتر)
d = ارتفاع ستون (میلیمتر)
As = سطح مقطع ستون (میلیمتر مربع)
شکل 10-پ6-4: حفاظت ستونهای فولادی با استفاده از بتن
جدول 10-پ6-1: مشخصات بتن
| بتن معمولی | بتن سبک | |
| ضریب انتشار حرارت بتن (kc) | 1.6 W/m.K | 0.61 W/m.K |
| گرمای ویژه بتن (cc) | 0.84 kJ/kg.k | 0.84 kJ/kg.k |
| چگالی بتن (ρc) | 2323 kg.m3 | 1762 kg.m3 |
| میزان رطوبت بتن – درصد از حجم (m) | 4 | 5 |
10-پ 6-2-1 حفاظت مقاطع توخالی پرشده با بتن
مقاومت در برابر آتش ستونهای فولادی با مقاطع توخالی پر شده با بتن غیرمسلح، از رابطه زیر تعیین میشود:
| (10-پ6-10) |
R = درجهبندی مقاومت در برابر آتش (ساعت)
a = ضریبی است که مقدار آن به شرح زیر تعیین میشود:
- برای ستونهای با مقطع توخالی دایرهای شکل پر شده با بتن با سنگدانه سیلیکاتی = 0.07
- برای ستونهای با مقطع توخالی دایرهای شکل پر شده با بتن با سنگدانه کربناتی = 0.08
- برای ستونهای با مقاطع توخالی قوطی شکل پر شده با بتن با سنگدانه سیلیکاتی = 0.06
- برای ستونهای با مقطع توخالی قوطی شکل پر شده با بتن با سنگدانه کربناتی = 0.07
fc = تنش فشاری مشخصه نمونه استوانهای بتن (مگاپاسکال)
D = به شرح زیر تعیین میشود:
- قطر خارجی برای ستونهای با مقطع دایرهای شکل (میلیمتر)
- بعد خارجی برای ستونهای با مقطع مربع (میلیمتر)
- کوچکترین بعد خارجی برای ستونهای با مقطع مستطیل (میلیمتر)
C = نیروی فشاری ناشی از بارهای مرده و زنده بدون ضریب (کیلونیوتن)
KL = طول مؤثر ستون (میلیمتر)
استفاده از رابطه 10-پ 6-10 در صورتی مجاز است که تمامی محدودیتهای زیر برآورده شوند:
1) مدت زمان مقاومت در برابر آتش حداکثر برابر 2 ساعت باشد.
2) تنش فشاری مشخصه بتن حداقل برابر 20MPa و حداکثر برابر 40MPa باشد.
3) ارتفاع مؤثر ستون حداقل 2 متر و حداکثر 4 متر باشد.
4) بعد خارجی مقطع (D)، برای تمامی مقاطع حداقل برابر 140 میلیمتر باشد. همچنین بعد مقاطع قوطی شکل (مربع یا مستطیل) حداکثر برابر 305 میلیمتر و بعد مقاطع دایرهای شکل حداکثر برابر 410 میلیمتر باشد.
5) نیروی محوری فشاری (C) از مقاومت موجود هسته بتنی بیشتر نباشد.
10-پ6-2-1 حفاظت با استفاده از مصالح بنایی
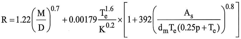
مقاومت در برابر آتش ستونهای فولادی محافظت شده با مصالح بنایی از رابطه زیر به دست میآید:
| (10-پ6-11) |
R = درجهبندی مقاومت در برابر آتش (ساعت)
M = جرم واحد طول ستون (کیلو? ?رم بر متر)
D = محیط در معرض گرمای ستون (میلیمتر) مطابق شکل 10-پ6-5
K = ضریب انتشار حرارت واحد بنایی بتنی یا سفالی مطابق جدول 10-پ6-2
As = سطح مقطع ستون فولادی (میلیمتر مربع)
dm = چگالی واحد بنایی بتنی با سفالی (کیلوگرم بر متر مکعب)
p = محیط داخلی مصالح بنایی بتنی یا سفالی محافل (میلیمتر)
Te = ضخامت معادل واحد بنایی بتنی یا سفالی (میلیمتر) که از رابطه زیر تعیین میشود:
| (10-پ6-12) |
Vn = حجم خالص واحد بنایی (میلیمتر مکعب)
L = طول مشخصه واحد بنایی (میلیمتر)
H = ارتفاع مشخصه واحد بنایی (میلیمتر)
شکل 10-پ6- 5: حفظت ستونهای فولادی با استفاده از مصالح بنایی
جدول 10-پ6-2: ضریب انتشار حرارت واحدهای بنایی
| نوع واحد بنایی | چگالی واحد بنایی (kg/m3) | ضریب انتشار حرارت – ( |
| واحد بنایی بتنی
|
1280 | 0.36 |
| 1360 | 0.39 | |
| 1440 | 0.44 | |
| 1520 | 0.48 | |
| 1600 | 0.53 | |
| 1680 | 0.59 | |
| 1760 | 0.65 | |
| 1840 | 0.72 | |
| 1920 | 0.79 | |
| 2000 | 0.88 | |
| 2080 | 0.97 | |
| 2160 | 1.07 | |
| 2240 | 1.19 | |
| 2320 | 1.31 | |
| 2400 | 1.45 | |
| واحد بنایی سفالی | 1920 | 2.16 |
| 2080 | 3.89 |
10-پ6-3 جزئیات حفاظت تیرهای فولادی
در این بخش ضخامت پوشش حفاظتی برای تیرهای فولادی در معرض آتش براساس جرم واحد طول (M) و محیط در معرض گرمای تیر (D) ارائه میشود. منظور از محیط در معرض گرما (D)، محیط داخلی پوشش مقاوم در برابر آتش تیرهای فولادی بوده و مطابق شکل 10-پ6-6 تعیین میشود.
شکل 10-پ6-6: محیط در معرض گرمای تیرها با مقاطع مختلف (D)
روش ارائه شده در این بخش، برای تیرهای فولادی محافظت شده با مواد حفاظتی پاششی قابل استفاده است. ضخامت پوشش برای تورهای با مقاطع مختلف به تنهایی یا در مجموعه با سیستم کف، بر اساس نمونههای آزمایشی تأیید شده مشابه تعیین میشود.[1]
ضخامت لایۀ حفلت از رابطه زیر به دست میآید:
| (10-پ6-13) |
h = ضخامت لایه حفاظتی پاشیده شده (میلیمتر)
M = جرم واحد طول تیر (کیلوگرم بر متر)
D = محیط در معرض گرمای تیر (میلیمتر)
در رابطه 10-پ-6-13، زیرنویس 1 مربوط به مشخصات نمونه آزمایشی تأییدشده مشابه و زیرنویس 2 مربوط به مشخصات تیر موردنظر است.
استفاده از رابطه مذکور، در صورت برآورده شدن محدودیتهای زیر مجاز است:
1) نسبت تیر موردنظر حداقل 0.022 باشد.
2) ضخامت لایه حفاظتی (h2) محاسبه شده، کمتر از 9.5 میلیمتر نباشد.
3) برای تیرهای مهار شده، مقطع تیر شرایط فشردگی را دارا باشد.
10-پ6-4 جزئیات حفاظت خرپاهای فولادی
ضخامت پوشش محافظ اعضای خرپاهای فولادی مطابق بخش 10-پ6-2-1 به دست میآید. مقدار نسبت اعضای خرپا به شرح زیر تعیین میشود:
- برای اعضای خرپا که از تمام وجوه در معرض آتش قرار دارند، نسبت
مشابه ستونها تعیین میگردد.
- برای اعضای خرپا که نگه دارنده کف یا سقف هستند، نسبت
مشابه تیرها تعیین میشود.
10-پ6-5 روابط محاسباتی باربری اعضای فولادی در معرض آتش و افزایش دما
این بخش به مشخصات مصالح در دماهای بالا و روشهای محاسباتی جهت تعیین مقاومت اعضای فولادی در معرض آتش میپردازد.
10-پ6-5-1 ترکیبات بارگذاری مورد استفاده
مقاومت اعضای سازه که در معرض آتش و افزایش دما قرار گرفتهاند، تحت ترکیبات بارگذاری مندرج در بخش حوادث غیرعادی مبحث ششم مقررات ملی ساختمان تعیین شود.
10-پ6-5-2 مشخصات مصالح در دماهای بالا
10-پ6-5-2-1 انبساط حرارتی
مقدار ضریب انبساط حرارتی در دماهای بالا به شرح زیر تعیین میشود:
1) فولاد ساختمانی و میلگردها: ضریب انبساط حرارتی در دماهای بالاتر از 66 درجه سلسیوس برابر 1.4×10-5/°C در نظر گرفته شود.
2) بتن معمولی، ضریب انبساط حرارتی در دماهای بالاتر از 66 درجه سلسیوس از 66 درجه سلسیوس برابر 1.8×10-5/°C در نظر گرفته شود.
3) بتن سبک، ضریب انبساط حرارتی در دماهای بالاتر از 66 درجه سلسیوس برابر 0.79×10-5/°C در نظر گرفته شود.
10-پ6-5-2-2 مشخصات مکانیکی مصالح در دماهای بالا
مقاومت و سختی مصالح با افزایش دما کاهش مییابد که این تغییرات باید در تحلیل اعضای سازه به شرح زیر در نظر گرفته شود:
1) برای اعضای فولادی مقادیر Fy(T), Fp(T), G(T), E(T) و Fu(T) در دماهای بالا به صورت نسبتی از مقادیر آنها در دمای محیط (20ºC) در جدول 10-پ6-3 ارائه شده است. Fp(T) حد خطی فولاد در دماهای بالا بوده که براساس نسبتی از تنش تسلیم مشخصه فولاد (Fy) بیان شده است.
2) برای مصالح بتنی مقادیر Ec(T), fc(T) و εcu (T) در دماهای بالا به صورت نسبتی از مقادیر آنها در دمای محیط (20ºC) در جدول 10-پ6-4 ارائه شده است. برای بتن سبک مقدار (T)εcu باید با توجه به نتایج آزمایشگاهی تعیین شود.
3) برای پیچهای مقادیر Fnt(T) و Fnv(T) در دماهای بالا به صورت نسبی از مقادیر آنها در دمای محیط (20ºC) در جدول 10-پ6-5 ارائه شده است.
جدول 10-پ 6- 3: مشخصات فولاد در دماهای بالا
| دمای فولاد (°C) | KE=E(T)/E
G(T)/G= |
Kp=Fp(T)/Fy | Ky=Fy(T)/Fy | Ku=Fu(T)/Fy |
| 20 | 1 | 1 | * | * |
| 93 | 1 | 1 | * | * |
| 200 | 0.9 | 0.8 | * | * |
| 320 | 0.78 | 0.58 | * | * |
| 400 | 0.7 | 0.42 | 1 | 1 |
| 430 | 0.67 | 0.4 | 0.94 | 0.94 |
| 540 | 0.49 | 0.29 | 0.66 | 0.66 |
| 650 | 0.22 | 0.13 | 0.35 | 0.35 |
| 760 | 0.11 | 0.06 | 0.16 | 0.16 |
| 870 | 0.07 | 0.04 | 0.07 | 0.07 |
| 980 | 0.05 | 0.03 | 0.04 | 0.04 |
| 1100 | 0.02 | 0.01 | 0.02 | 0.02 |
| 1200 | 0 | 0 | 0 | 0 |
* از مشخصات دمای متعارف محیط استفاده شود.
جدول 10-پ6-4: مشخصات بتن در دماهای بالا
| دمای بتن (ºC) | Kc=f’c(T)/f’c | Ec(T)/Ec | εcu(T),% | |
| بتن معمولی | بتن سبک | بتن معمولی | ||
| 20 | 1 | 1 | 1 | 0.25 |
| 93 | 0.95 | 1 | 0.93 | 0.34 |
| 200 | 0.9 | 1 | 0.75 | 0.46 |
| 290 | 0.86 | 1 | 0.61 | 0.58 |
| 320 | 0.83 | 0.98 | 0.57 | 0.62 |
| 430 | 0.71 | 0.85 | 0.38 | 0.8 |
| 540 | 0.54 | 0.71 | 0.2 | 1.06 |
| 650 | 0.38 | 0.58 | 0.092 | 1.32 |
| 760 | 0.21 | 0.45 | 0.073 | 1.43 |
| 870 | 0.1 | 0.31 | 0.055 | 1.49 |
| 980 | 0.05 | 0.18 | 0.036 | 1.5 |
| 1100 | 0.01 | 0.05 | 0.018 | 15 |
| 1200 | 0 | 0 | 0 | 0 |
جدول 10-پ-6-5: مشخصات پیجهای پرمقاومت در دماهای بالا
| دمای پیچ، (C°) | Fnv(T)/Fnv یا Fnt (T) /Fnt |
| 20 | 1 |
| 93 | 0.97 |
| 150 | 0.95 |
| 200 | 0.93 |
| 320 | 0.88 |
| 430 | 0.71 |
| 480 | 0.59 |
| 540 | 0.42 |
| 650 | 0.16 |
| 760 | 0.08 |
| 870 | 0.04 |
| 980 | 0.01 |
| 1100 | 0 |
10-پ6-5-3 روش تفصیلی تحلیل و طراحی سازه در برابر آتش (تحلیل حرارتی-مکانیکی)
در این روش عملکرد کل اعضای سازه در معرض آتش مورد تحلیل قرار میگیرد. تحلیل سازه شامل پاسخ حرارتی و مکانیکی اعضای سازه است. پاسخ حرارتی سازه بیانگر تغییرات دمایی اعضای سازه تحت اثر سناریوی آتشسوزی موردنظر است. پاسخ مکانیکی سازه، بیانگر تغییرات نیروها و تغییرشکلهای ایجادشده در اعضا ناشی از پاسخ حرارتی و بارهای موجود است.
اثرات ناشی از کاهش مقاومت و سختی در اثر افزایش دما، انبساط حرارتی، رفتار غیرخطی و بازتوزیع نیروها، تغییرشکلهای بزرگ و تغییرات تابع زمان نظیر خزش و تغییر مشخصات مصالح با افزایش دما باید در تحلیل سازه و پاسخ مکانیکی اعضاء دیده شود.
نتایج تحلیل باید امکان ارزیابی تمامی حالتهای حدی ممکن از قبیل تغییرشکلهای بزرگ، گسیختگی اتصالات و کمانشهای کلی و موضعی را فراهم نماید.
10-پ6-5-4 روش ساده شده تحلیل و طراحی سازه در برابر آتش
- روشهای ارائه شده در این بخش، برای ارزیابی عملکرد یک عضو سازهای منفرد در معرض آتش به کار میرود.
- شرایط مرزی (شامل شرایط تکیهگاهی و نیروهای ایجاد شده در عضو) در دماهای بالا همانند شرایط عادی و بدون تغییر فرض گردد.
- پاسخ حرارتی اعضای فولادی و مختلط را میتوان با استفاده از معادله انتقال حرارت یک بعدی تعیین کرد. برای اعضای خمشی، دمای فولاد باید به بال پایینی اعمال گردد.
- برای دماهای کمتر از 200ºC، مقاومت موجود اعضا و اتصالات باید بدون در نظر گرفتن اثرات تغییرات دما تعیین شود.
پس از انجام تحلیل فوق، مقاومتهای کششی، فشاری، خمشی و برشی اسمی عضو موردنظر در حضور حرارت باید به شرح زیر تعیین گردد:
الف) مقاومت کششی اسمی
مقاومت کششی اسمی عضو در دماهای بالا باید براساس الزامات بخش 10-2-3 و با فرض مصالح با مشخصات ارائه شده در بخش 10-پ6-5-2 تعیین شود. فرض میشود که دما در تمام سطح عضو به صورت یکنواخت به میزان حداکثر رسیده است.
ب) مقاومت فشاری اسمی
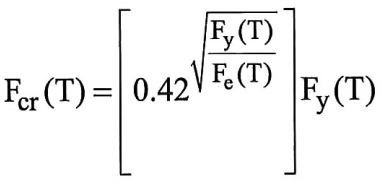
مقاومت فشاری اسمی عضو در دماهای بالا باید براساس الزامات بخش 10-2-4 و با فرض مصالح با مشخصات ارائه شده در بخش 10-پ6-5-2 و رابطه زیر تعیین شود:
تنش فشاری ناشی از کمانش خمشی در دماهای بالا از رابطه زیر به دست میآید:
| (10-پ6-14) |
Fy(T) = تنش تسلیم مشخصه فولادی در دمای موردنظر
(T)Fe = تنش کمانشی الاستیک با استفاده از رابطه 10-2-4-4 و با فرض استفاده از E(T) در دمای موردنظر
پ) مقاومت خمشی اسمی
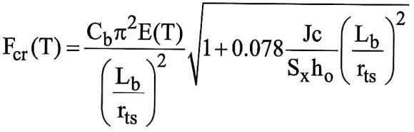
برای تیرهای فولادی دما را در تمام عمق مقطع میتوان ثابت و برابر با دمای محاسبه شده برای بال پایین در نظر گرفت. مقاومت خمشی اسمی مقاطع با دو محور تقارن براساس حالت حدی کمانش جانبی – پیچشی، در دماهای بالا براساس الزامات بخش 10-2-5 و با فرض مصالح با مشخصات ارائه شده در بخش 10-پ6-5-2، به شرح زیر تعیین میگردد:
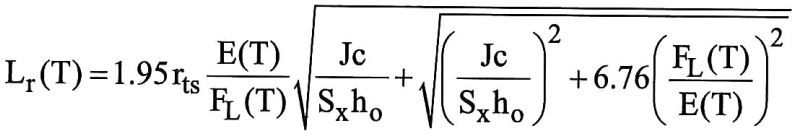
1) برای Lb≤Lr(T):
| (10-پ6-15) |
2) برای Lb≥Lr(T):
| (10-پ6-16) | Mn(T)=Fcr(T)Sx≤Mp(T) |
که در آن:
| (10-پ6-17) |
| (10-پ6-18) |
| (10-پ6-19) | Mr(T)=FL(T)Sx |
| (10-پ6-20) | FL(T)=Fy(Kp-0.3Ky) |
| (10-پ6-21) | Mp(T)=Fy(T)Zx |
| (10-پ6-22) |
T = دمای فولاد به علت قرار گرفتن در معرض آتش (درجه سلسیوس)
ت) مقاومت خمشی اسمی اعضای مختلط
در تیرهای مختلط فولادی، دما از بال پایین تا وسط ارتفاع جان مقطع به صورت ثابت در نظر گرفته شده و از آنجا تا بال فوقانی به صورت خطی و به میزان حداکثر 25 درصد کاهش یابد. مقاومت خمشی اسمی اعضای مختلط در دماهای بالا با استفاده از روابط بخش 10-2-8 و با فرض مصالح با مشخصات ارائه شده در بخش 10-پ6-5-2 تعیین میگردد. همچنین مقاومت خمشی اسمی تیرهای مختلط فولادی در دماهای بالا را میتوان از رابطه زیر نیز به دست آورد. T دمای بال پایینی عضو است.
| (10-پ6-23) | Mn(T)=r(T)Mn |
Mn = مقاومت خمشی اسمی عضو مختلط در دمای محیط
(r(T = ضریب حفظ مقاومت براساس دمای بال پایینی عضو (T) مطابق جدول 10-پ 6-6
جدول 10-پ 6-6: ضریب حفظ مقاومت برای مقاطع مختلط – (r(T
| دمای بال پایینی تیر (C°) | r(T) |
| 20 | 1 |
| 150 | 0.98 |
| 320 | 0.95 |
| 430 | 0.89 |
| 540 | 0.71 |
| 650 | 0.49 |
| 760 | 0.26 |
| 870 | 0.1 |
| 980 | 0.05 |
| 1100 | 0 |
ث) مقاومت برشی اسمی
مقاومت برشی اسمی عضو در دماهای بالا باید براساس الزامات بخش 10-2-6 و با فرض مصالح با مشخصات ارائه شده در بخش 10-پ6-5-2 تعیین شود. فرض میشود که دما در کل مقطع به صورت ثابت باشد.
ج) مقاومت اسمی عضو برای ترکیب نیروی محوری و لنگر خمشی
مقاومت اسمی اعضا برای ترکیب نیروی محوری و لنگر خمشی حول یک یا دو محور، با یا بدون لنگر پیچشی باید براساس الزامات بخش 10-2-7 و با مقاومت محوری و خمشی ارائه شده در بندهای (الف) تا (ت) این بخش تعیین شود. مقاومت پیچشی اسمی عضو باید براساس الزامات بخش 10-2-7 و با فرض مصالح با مشخصات ارائه شده در بخش 10-پ6-5-2 تعیین شود. دما در کل مقطع به صورت ثابت در نظر گرفته میشود.
[1] مجموعهای از نتایج آزمایشگاهی بر روی نمودهایی با پیکربندیهای مختلف در UL Fire Resi stani ce Directory قابل دسترسی است.