پیوست 2 : ضریب طول مؤثر اعضای فشاری
در صورتی که برای تأمین الزامات تحلیل و طراحی برای تأمین پایداری از روش طول مؤثر استفاده شود، مقاومت موجود کلیه اعضای دارای بار محوری فشاری باید براساس ضریب طول مؤثر (K) تعیین شود. ضریب طول مؤثر اعضا (K) متناسب با نوع سیستم باربر باید براساس این پیوست تعیین گردد. در روش طول مؤثر، برای محاسبه ضریب طول مؤثر اعضای فشاری، سیستمهای باربر به شرح زیر دستهبندی میشوند:
- قابهای مهارشده
- قابهای مهارنشده
- ستونهای متکی به قابهای باربر جانبی
- ستونهای با شرایط تکیهگاهی ایدهآل
10-پ2-1 قابهای مهارشده و طول مؤثر کمانشی اعضاء
قابهای مهار شده به قابهایی گفته میشود که در آنها پایداری جانبی و مقاومت در برابر بارهای جانبی به سختی خمشی ستونها وابسته نبوده و در آنها حرکت جانبی قاب با تکیه کردن بر مهاربندهای مورب، دیوارهای برشی یا به شیوههای مشابه مقید میشود. در این گونه قابها، ضریب طول مؤثر (K) برای اعضای فشاری به طور محافظه کارانه باید برابر 1.0 در نظر گرفته شود.
10-پ 2-2 قابهای مهارنشده و طول مؤثر کمانشی اعضاء
قابهای مهارنشده به قابهایی گفته میشود که در آنها فقط سختی جانبی قابها در پایداری جانبی مؤثر هستند و قاب به دیوار برشی یا مهاربندی متکی نیست. در این نوع قابها ضریب طول مؤثر (K) باید با استفاده از تحلیل کمانشی و الزامات بند 10-2-1-1 تعیین شود و هیچ گاه نباید کوچکتر از 1.0 در نظر گرفته شود.
همچنین میتوان مقدار ضریب طول مؤثر (K) و اعضای فشار قابهای مهارنشده را از رابطۀ 10-پ2-1 یا رابط، 10-پ2-2 و یا نموگراف شکل 10-پ2-1 نیز محاسبه نمود.
| (10-پ2-1) | |
| (10-پ2-2) |
شکل 10-پ2-1: ضریب طول مؤثر (K) اعضای فشاری قابهای مهار نشده بر حسب GA و GB
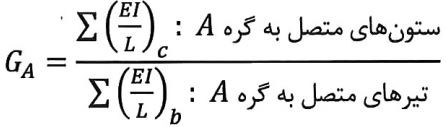
در روابط 10-پ2-1 و 10-پ2-2 و نیز در نموگراف شکل 10-پ2-1، GA و GB پارامترهای مبین سختی دو انتهای A و E عضو فشاری بوده و عبارتند از:
| (10-پ2-3) | |
| (10-پ2-4) |
E = مدول الاستیسیته فولاد
I = ممان اینرسی تیرها و ستونها حول محور عمود بر صفحۀ کمانش
L = طول اعضاء
یادداشت: برای محاسبه GA و GB از روابط فوق ملاحظات زیر باید مورد توجه قرار گیرند:
(1) برای انتهای گیردار ستون که ضریب و به صورت نظری صفر است، برابر یک فرض شود.
(2) برای انتهای مفصلی ستون که ضریب G به صورت نظری بینهایت است، برابر 10 فرض شود.
(3) هرگاه تیر متصل به عضو فشاری، طرهای باشد، EI/L آن تیر مساوی صفر در نظر گرفته شود.
(4) هرگاه انتهای نزدیک تیر، مفصلی باشد، EI/L آن تیر مساوی صفر در نظر گرفته شود.
(5) هرگاه انتهای دور تیر، مفصلی باشد، EI/L آن تیر باید در ضریب 0.5 ضرب شود.
(6) هرگاه دوران انتهای دور تیر، کاملاً مقید باشد، EI/L آن تیر باید در ضریب 2/3 ضرب شود.
تبصره: هرگاه نسبت تغییرمکان جانبی نسبی حداکثر حاصل از تحلیل مرتبه دوم به تغییرمکان جانبی نسبی حداکثر ناشی از تحلیل مرتبه اول یا به طور تقریب مقدار ضریب B2 در تحلیل الاستیک مرتبه اول تشدید یافته، برای تمام طبقات هر نوع سیستم سازهای کمتر یا مساوی 1.1 باشد، کلید قابهای آن سیستم سازهای را میتوان به عنوان قابهای مهارشده تلقی نمود و درنتیجه مطابق بند 10-پ 2-1 ضریب طول مؤثر (K) برای اعضای فشاری کلیه قابهای این نوع سیستمهای سازهای را برابر یک در نظر گرفت.
10-پ2-3 ستونهای متکی به قابهای باربر جانبی
در یک قاب ساختمانی ستونهای متکی، به ستونهایی گفته میشود که سختی جانبی آنها در مقایسه با سختی جانبی سیستم مقاوم در برابر بارهای جانبی بسیار ناچیز بوده و فقط برای بارهای ثقلی طراحی میشوند. این ستونها باید براساس طول واقعی ستون (K=1) طراحی شوند. پایداری جانبی این ستونها باید از طریق قابهای خمشی، قابهای مهاربندی شده، دیوارهای برشی یا سایر سیستمهای مقاوم در برابر بار جانبی، تأمین شود. آثار P-Δ ناشی از بار وارده بر ستونهای متکی باید به سیستمهای مقاوم در برابر بارهای جانبی منتقل شده و در تعیین مقاومتهای موردنیاز و طراحی اعضای سیستمهای باربر جانبی مورد توجه قرار گیرند. آثار P-Δ ناشی از بار وارده بر ستونهای قابهای ثقلی باید به اعضای سیستمهای مقاوم در برابر بار جانبی منتقل شده و در محاسبات مقاومتهای طراحی اعضای فشاری سیستمهای باربر جانبی مورد توجه قرار گیرند. در سیستمهای سازهای دارای قابهای مهار شده (نظیر قابهای مهاربندی شده با قابهای دارای دیوار برشی) این آثار قابل توجه نبوده و در طراحی اعضاء فشاری قابهای مهارشده میتوان از آن چشم پوشی کرد. لیکن در سیستمهای سازهای از نوع قاب خمشی که در آن برخی از قابها فقط دارای عملکرد ثقلی هستند، تأثیر انتقال آثار P-Δ ناشی از بارهای وارده بر ستونهای قابهای ثقلی به ستونهای قابهای خمشی قابل ملاحظه بوده و باید در طراحی اعضاء فشاری قابهای خمشی لحاظ شوند. برای در نظر گرفتن تأثیر انتقال آثار P-Δ قابهای ثقلی به اعضاء فشاری قابهای خمشی کافی است ضریب طول مؤثر اعضاء فشاری قابهای خمشی به شرح زیر محاسبه شود:
| (10-پ2-5) |
که در آن:
K2 = ضریب طول مؤثر ستون قاب خمشی با لحاظ تأثیر ستونهای متکی
Kn2 = ضریب طول مؤثر ستون باربر جانبی مدنظر از نمودار 10-پ2-1
Pstory = مجموع بارهای قائم کلیه ستونهای باربر جانبی و ثقلی طبقهای که این ستونها در آنها قرار دارند. در روش LRFD منظور از Pstory همان ΣPu طبقه بوده که باید براساس ترکیبات بارگذاری نظیر این روش محاسبه شود. در روش ASD منظور از Pstory همان ΣPa طبقه بوده که باید بر اساس ترکیبات بارگذاری نظیر این روش محاسبه شود.
Pr = بار قائم ستون موردنظر در سیستم باربر جانبی. در روش LRFD منظور از Pr همان Pu ستون موردنظر بوده که باید براساس ترکیبات بارگذاری نظیر این روش محاسبه شود. در روش ASD منظور از Pr همان Pa ستون موردنظر بوده که باید براساس ترکیبات بارگذاری نظیر این روش محاسبه شود.
10-پ2-4 ضریب طول مؤثر ستونهایی با شرایط تکیهگاهی ایدهآل
طول مؤثر در واقع فاصله بین نقاط عطف شکل کمانش یافته عضو فشاری است. در جدول 10-پ 2-1 تعدادی ستون با شرایط تکیهگاهی ایدهآل همراه با ضرایب طول مؤثر نظری آنها نشان داده شده است. با توجه به این که ایجاد شرایط تکیهگاهی ایدهآل در عمل امکانپذیر نیست، از این رو در این بخش برای ضرایب طول مؤثر این گونه ستونها باید از مقادیر پیشنهادی این جدول استفاده شود.
جدول 10-پ 2-1: ضریب طول مؤثر (K) اعضای فشاری با شرایط تکیهگاهی ایدهآل
| انواع مختلف اعضای فشاری با شرایط تکیهگاهی ایدهآل | توضیحات | |||||
![]() |
![]() |
![]() |
![]() |
![]() |
![]() |
شکل کمانش یافته عضو فشاری به صورت خط چین نشان داده شده است. |
| 2.0 | 2.0 | 1.0 | 1.0 | 0.7 | 0.5 | مقادیر نظری K |
| 2.0 | 2.1 | 1.0 | 1.2 | 0.8 | 0.65 | مقادیر پیشنهادی K برای طراحی |
|
|
نماد شرایط مرزی | |||||





