آیین‌نامه‌ها

صفحه اصلی / آیین‌نامه‌ها / مبحث دهم مقررات ملی ساختمان (طرح و اجرای ساختمان‌های فولادی)
4-3-10 الزامات لرزه‌ای قاب‌های مهاربندی شده فولادی و دیوارهای برشی فولادی

4-3-10 الزامات لرزه‌ای قاب‌های مهاربندی شده فولادی و دیوارهای برشی فولادی

1-4-3-10 الزامات لرزه‌ای قاب‌های مهاربندی شده همگرای معمولی (OCBF)
1-1-4-3-10 الزامات عمومی

قاب‌های مهاربندی شده همگرای معمولی (OCDF) به قاب‌هایی گفته می‌شوند که از آن‌ها انتظار تغییرشکل‌های فرا ارتجاعی محدودی، بدون کاهش قابل ملاحظه در مقاومت اعضا و اتصالات آن‌ها، تحت اثر زلزله طرح می‌رود. پیکربندی مهاربندهای مجاز در این نوع قاب‌ها شامل مهاربندهای قطری، ضربدری، مهاربندهای به شکل 7 یا 8 و مهاربندهای چند ردیفی در یک طبقه می‌شوند. هم‌چنین تعبیه سوراخ‌های متوالی در جان تیرهای دهانه‌های مهاربندی شده با هر نوع مهاربندی قطری، ضربدری، 7 یا 8 و چند ردیفی) مجاز نیست. در صورت لزوم به تعبیه سوراخ دسترسی در جان تیر، اطراف آن باید به نحوی تقویت گردد که مقاومت‌های موجود در مقطع سوراخ‌دار از مقاومت‌های موجود مقطع کامل تیر کوچکتر نباشد. در شکل 10-3-4-1-1 چند نمونه از پیکربندی این نوع مهاربندها نشان داده شده است.

چند نمونۀ مجاز از پیکربندی مهاربندهای همگرا

شکل 10-3-4-1-1: چند نمونۀ مجاز از پیکربندی مهاربندهای همگرا

2-1-4-3-10 مبانی طراحی

در طراحی اعضا و اتصالات قاب‌های دارای دهانه‌های مهاربندی علاوه بر الزامات متعارف فصل‌های 10-1 و 10-2 و نیز الزامات لرزه‌ای بخش 10-3-2 باید الزامات لرزه‌ای این بخش نیز رعایت شود. در این گونه قاب‌های مهاربندی شده، خروج از مرکزیت کمتر از عمق تیر مجاز است مشروط بر اینکه در طراحی اعضا لنگرهای ناشی از خروج از مرکزیت، براساس ترکیبات بارگذاری زلزله تشدید یافته (ΩoE) در نظر گرفته شوند.

تبصره: در قاب‌های مهاربندی شده همگرای معمولی، طراحی مهاربندهای قطری و ضربدری به صورت کششی تنها مجاز است.

3-1-4-3-10 الزامات تحلیل

در تحلیل این نوع قاب‌های مهاربندی شده (به غیر از تیرهای دهانه‌های مهاربندی شده با مهاربندهای به شکل 7 یا 8 و تیرهای تراز طبقات و ستون‌های دهانه‌های مهاربندی در قاب‌های مهاربندی شده چند ردیفی) رعایت ضابطۀ اضافی، الزامی نیست.

4-1-4-3-10 الزامات سیستم
1-4-1-4-3-10 مهاربندهای به شکل 7 یا 8

قاب‌های مهاربندی شده همگرای معمولی با مهاربندهای از نوع 7 یا 8 باید دارای شرایط زیر باشند:

الف) تیرهای دهانه‌های مهاربندی شده باید در حدفاصل بین دو ستون پیوسته باشند.

ب) تیرهای دهانه‌های مهاربندی شده و اتصالات آن‌ها به ستون باید قادر به تحمل نیروهای قائم حاصل از ترکیبات بارگذاری ثقلی بدون حضور مهاربندها باشند.

پ) تیرهای دهانه‌های مهاربندی شده و اتصالات آن‌ها به ستون باید قادر به تحمل نیروهای نامتعادل ناشی از زلزله در ترکیب با بارهای ثقلی باشند. برای منظور کردن اثر توزیع نامتعادل نیروهای مهاربندهای کششی و فشاری ناشی از زلزله، مقاومت‌های موردنیاز تیرهای دهانه‌های مهاربندی شده باید با در نظر گرفتن تعادل استاتیکی بارهای ثقلی (با ضرایب بار در حضور زلزله) که با آثار لرزه‌ای (با ضرایب بار مربوطه) ترکیب می‌شوند، تعیین شوند. آثار لرزه‌ای، در مهاربند کششی باید برابر کمترین دو مقدار RyFyAgs و نیروی کششی ناشی از ترکیبات بارگذاری شامل زلزله تشدید یافته (ΩoE) و در مهاربند فشاری برابر 0.3Pns در نظر گرفته شود که در آن، Pn مقاومت فشاری اسمی مهاربند فشاری و مقدار αs برابر 1.0 در LRFD و برابر 1.5 در ASD است.

ت) تیرهای دهانه‌های مهاربندی شده باید دارای مهار جانبی کافی برای جلوگیری از کمانش جانبی – پیچشی باشند. برای این منظور در محل اتصال مهاربندها به تیر تعبیه مهار جانبی الزامی است، مگر آنکه تیر دارای مقاومت خارج از صفحه و سختی کافی برای تأمین پایداری در بین دو انتهای مهارشده، باشد.

2-4-1-4-3-10 مهاربندهای به شکل K

در این نوع قاب‌های مهاربندی شده استفاده از مهاربندهای به شکل K مجاز نیست.

3-4-1-4-3-10 مهاربندهای چند ردیفی در یک طبقه (MT-OCBF )

در شکل 10-3-4-1-2 چند نمونه متداول از قاب‌های مهاربندی شده با مهاربندهای چند ردیفی در یک یا چند طبقه نشان داده شده است. قاب‌های مهاربندی شده همگرای معمولی با مهاربندهای چند ردیفی در یک طبقه باید دارای شرایط زیر باشند:

الف) در هر یک از ردیف‌های مهاربندی، مهاربندها باید به صورت یک جفت کششی -فشاری (قرینه نسبت به محور مر کزی مجموعه مهاربندها) مورد استفاده قرار گیرند.

ب) در تراز هر یک از ردیف‌های مهاربندی باید عضو افقی (مهار افقی) وجود داشته باشد.

پ) در تراز هر یک از ردیف‌های مهاربندی، ستون‌ها باید در برابر پیچش مهار شوند.

ت) مقاومت موردنیاز اتصال اعضای مهاربندی باید براساس کوچک‌ترین مقدار از بین ترکیبات بارگذاری شامل 1.5 برابر زلزله تشدید یافته (1.5ΩoE) و RyFyAgs تعیین شود. مقدار αs برابر 1.0 در LRFD و برابر 1.5 در ASD است..

ث) مقاومت محوری موردنیاز اعضای افقی در تراز ردیف‌ها باید براساس ترکیبات بارگذاری شامل 1.5 برابر زلزله تشدید یافته (1.5ΩoE) تعیین شود. در مهاربندهای ضربدری و با رفتار کششی -فشاری این نیروها باید در غیاب مهاربندهای فشاری در نظر گرفته شوند.

ج) مقاومت محوری موردنیاز ستون‌های نظیر دهانه‌های مهاربندی باید براساس ترکیبات بارگذاری شامل 1.5 برابر زلزله تشدیدیافته (1.5ΩoE) تعیین شود.

چند نمونه متداول از پیکربندی مهاربندهای چند ردیفی در یک یا چند طبقه

شکل 10-3-4-1-2: چند نمونه متداول از پیکربندی مهاربندهای چند ردیفی در یک یا چند طبقه

چ) در کلیه ترکیبات بارگذاری در طراحی ستون‌هایی که تحت اثر بار محوری فشار قرار دارند، باید آثار مرتبه دوم و نیز آثار ناشی از نواقص هندسی اولیه لحاظ شود. برای این منظور به عنوان یک حداقل باید در تراز هر یک از ردیف‌های مهاربندی در امتداد عمود بر صفحه مهاربندی یک بار جانبی فرضی به میزان 0.006 برابر مؤلفۀ قائم نیروی فشاری مهاربند در گره موردنظر اعمال شود.

ح) در صورتی که مهاربندها به صورت 7 یا 8 نباشند و به صورت کششی تنها طراحی شده باشند، آنگاه در صورت تأمین شرایط زیر، رعایت الزامات بندهای (ت)، (ث) و (ج) در فوق الزامی نخواهد بود:

1- نسبت لاغری اعضای مهاربندی بزرگتر یا مساوی 200 باشد.

2- ستون‌های دهانه‌های مهاربندی شده براساس ترکیبات بارگذاری ثقلی و اثر نیروی زلزله برابر RyFyAgs در مهاربندهای کششی طراحی شده باشند. که در آن:

Ry = نسبت تنش تسلیم مورد انتظار به تنش تسلیم مشخصه فولاد مهاربند

Fy = تنش تسلیم مشخصه فولاد مهاربند

αs = سطح مقطع کلی عضو مهاربند

مقدار αs برابر 1.0 در LRFD و برابر 1.5 در ASD است.

تبصره: در تراز هر یک از ردیف‌های مهاربندی، نیروی جانبی نامتعادل نباید کمتر از 5% بزرگ‌ترین مؤلفه افقی مهاربندهای بالا و پایین این ترازها در نظر گرفته شود.

5-1-4-3-10 الزامات اعضا
1-5-1-4-3-10 الزامات عمومی

مقاطع اعضای مهاربندی باید از نوع فشرده لرزه‌ای با محدودیت نسبت پهنا به ضخامت برابر λmd مطابق مقادیر جدول 10-3-2-4 باشند.

تبصره: در قاب‌های مهاربندی شده همگرای معمولی و با رفتار کششی تنها و با نسبت لاغری بزرگتر از 200 هیچ‌گونه محدودیتی برای نسبت پهنا به ضخامت اجزای مقاطع مهاربندی وجود ندارد.

2-5-1-4-3-10 محدودیت نسبت لاغری اعضای مهاربندی

مقدار نسبت لاغری (KL/r ) مهاربندهای از نوع 7 یا 8 نباید از 4-E-Fy بزرگ‌تر باشد.

3-5-1-4-3-10 تیرها و اتصالات آن‌ها به ستون‌ها

مقاومت‌های موردنیاز تیرهای واقع در دهانه‌های مهاربندی شده و اتصالات آن‌ها به ستون باید براساس ترکیبات بارگذاری شامل زلزله تشدید یافته (ΩoE) تعیین شوند.

6-1-4-3-10 اتصالات اعضای مهاربندی

اتصالات اعضا در قاب‌های مهاربندی شده همگرای معمولی باید دارای شرایط زیر باشند:

الف) در مهاربندهای چند ردیفی مقاومت موردنیاز اتصال اعضای مهاربندی باید براساس ترکیبات بارگذاری شامل 1.5 برابر زلزله تشدید یافته (1.5ΩoE) تعیین شود.

ب) در سایر مهاربندها، مقاومت موردنیاز اتصال اعضای مهاربندی باید براساس ترکیبات بارگذاری شامل زلزله تشدید یافته (ΩoE) تعیین شود. در این گونه مهاربندها مقاومت موردنیاز اتصال اعضای مهاربندی لازم نیست از مقادیر زیر بزرگتر در نظر گرفته شود:

1- RyFyAgs در مهاربندهای کششی، که در آن مقدار αs برابر 1.0 در LRFD و برابر 1.5 در ASD است.

2- کمترین مقدار از بین RyFyAgs و 1.1FcreAg/as در مهاربندهای فشاری، که در آن مقدار αs برابر 1.0 در LRFD و برابر 1.5 در ASD بوده و Fcre تنش فشاری مورد انتظار ناشی از کمانش، مطابق ضوابط بخش 10-2-4 است با این شرط که در آن به جای Fy از RyFy استفاده می‌شود.

3- در صورت استفاده از سوراخ‌های بزرگ شده، برابر با نیروی محوری حاصل از ترکیبات بارگذاری متعارف

7-1-4-3-10 وصله ستون‌ها

وصله ستون‌ها باید الزامات بند 10-3-2-12 را تأمین نمایند. در صورتی که وصله ستون‌ها از نوع مستقیم باشند، در این صورت جوش وصله‌ها باید از نوع شیاری با نفوذ کامل باشد. مقاومت خمشی موردنیاز وصله‌های غیرمستقیم باید حداقل برابر Mp mins و مقاومت برشی موردنیاز آن‌ها باید حداقل برابر (ΣMps)/Hc باشد، که در آن:

MP min = لنگر پلاستیک کوچک‌ترین مقطع وصله شونده ستون

ΣMp = مجموع لنگرهای پلاستیک دو انتهای ستون در طبقه موردنظر

Hc = ارتفاع خالص ستون (فاصله خالص بین بال تحتانی تیر فوقانی و روی دال بتنی تیر تحتانی در طبقه موردنظر و در صورت عدم وجود دال بتنی سازه‌ای، فاصله خالص بین بال تحتانی تیر فوقانی و بال فوقانی تیر تحتانی در طبقه موردنظر)

αs = برابر 1.0 در LRFD و برابر 1.5 در ASD

تبصره: درهر حال مقاومت محوری موجود وصله هر جزء مقطع ستون (بدون در نظر گرفتن آثار لنگر خمشی)، نباید از Fybitis کمتر در نظر گرفته شود که در آن:

Fy = تنش تسلیم مشخصه فولاد ستون

bi = پهنای جزء ستون کوچکتر وصله شونده

ti = ضخامت جزء ستون کوچکتر وصله شونده

2-4-3-10 الزامات لرزه‌ای قاب‌های مهاربندی شده همگرای ویژه (SCBF)
1-2-4-3-10 الزامات عمومی

قاب‌های مهاربندی شده همگرای ویژه (SCBF) به قاب‌هایی گفته می‌شوند که در آن‌ها از مهاربندها انتظار می‌رود تحت اثر بار جانبی زلزله طرح تغییرشکل‌های فرا ارتجاعی قابل ملاحظه‌ای تحمل کنند و در آن‌ها کاهش مقاومت چندانی رخ ندهد. رفتار فرا ارتجاعی موردنظر ممکن است به مرحله بعد از کمانش مهاربند توسعه یابد. از این رو پیکربندی و طراحی مهاربندها و اتصالات آن باید چنان باشد که از عهده این تغییرشکل‌ها برآیند. پیکربندی مهاربندهای مجاز در این نوع قاب‌ها شامل مهاربندهای قطری، ضربدری، مهاربندهای به شکل 7 یا 8 و مهاربندهای چند ردیفی در یک طبقه می‌باشند. هم‌چنین تعبیه سوراخ‌های متوالی در جان تیرهای دهانه‌های مهاربندی شده با هر نوع مهاربندی (قطری، ضربدری، 7 یا 8) مجاز نیست. در صورت لزوم به تعبیه سوراخ دسترسی در جان تیر، اطراف آن باید به نحوی تقویت گردد که مقاومت‌های موجود در مقطع سوراخ‌دار از مقاومت‌های موجود مقطع کامل تیر کمتر نباشد.

2-2-4-3-10 مبانی طراحی

در طراحی اعضا و اتصالات قاب‌های مهاربندی شده همگرای ویژه علاوه بر الزامات متعارف فصل‌های 10-1 و 10-2 و نیز الزامات لرزه‌ای بخش 10-3-2باید الزامات لرزه‌ای این بخش نیز رعایت شود. در این گونه مهاربندها خروج از مرکزیت کمتر از عمق تیر مجاز است مشروط بر اینکه برآیند نیروهای اعضا و اتصالات در طراحی لحاظ شوند و منبع مورد انتظار ظرفیت تغییرشکل غیرالاستیک تغییر نکند.

3-2-4-3-10 الزامات تحلیل

در قاب‌های مهاربندی شده همگرای ویژه مقاومت‌های موردنیاز تیرها، ستون‌ها و اتصالات آن‌ها باید براساس نیروی زلزله محدود به ظرفیت (Ecl) تعیین شوند. برای این منظور این مقاومت‌های موردنیاز نباید از نیروهای ناشی از تحلیل‌های زیر کوچک‌تر در نظر گرفته شوند

الف) تحلیلی که در آن فرض می‌شود نیروی مهاربندی‌های کششی برابر RyFyAgs و نیروی مهاربندیهای فشاری برابر 1.14FcreAgs است.

ب) تحلیلی که در آن فرض می‌شود نیروی مهاربندیهای کششی برابر RyFyAgs و نیروی مهاربندیهای فشاری برابر است.

که در آن:

Ry = نسبت تنش تسلیم مورد انتظار به تنش تسلیم مشخص فولاد اعضای مهاربندی

Fy = تنش تسلیم مشخصه فولاد اعضای مهاربندی

Ag = سطح مقطع کلی عضو مهاربندی

Fcre = تنش فشاری مورد انتظار ناشی از کمانش مطابق ضوابط بخش 10-2-4 با این شرط که در آن به جای Fy از RyFy استفاده شده باشد.

αs = برابر 1.0 در روش LRFD و برابر 1.5 در روش ASD

تبصره 1: برای انجام تحلیل‌های فوق می‌توان ابتدا حرکت جانبی قاب را مقید نمود. سپس اعضای مهاربندی را از مدل تحلیلی حذف نموده و در اتصال دو انتهای آن‌ها مطابق بندهای (الف) و (ب) فوق، نیروی نظیر آن‌ها به مدل تحلیلی اعمال کرد و پس از آن در حضور بارهای ثقلی با ضرایب بار مربوطه، سازه مورد تحلیل و طراحی قرار گیرد.

تبصره 2: در مهاربندهای چند ردیفی در یک طبقه این تحلیل باید در برگیرنده تسلیم و کمانش مهاربندها به صورت پیش رونده از ردیف‌های ضعیف به قوی باشد.

4-2-4-3-10 الزامات سیستم
1-4-2-4-3-10 توزیع نیروی جانبی

در هر طبقه و در امتداد هر محور، مهاربندها باید طوری در نظر گرفته شوند که در هر راستای بارگذاری حداقل 30 درصد و حداکثر 70 درصد نیروی جانبی سهم آن محور در کشش تحمل شود، مگر آن که مهاربندهای فشاری دارای مقاومتی بیشتر از آنچه تحلیل سازه برای ترکیبات بار شامل زلزله تشدید یافته نشان می‌دهد، باشند. منظور از محور مهاربندی در این بند، یک یا چند محور مهاربندی شده مستقیم موازی است که به فاصله‌ای کمتر 10 درصد بُعدی ساختمان در پلان، در جهت عمود بر محور، از یکدیگر قرار گرفته باشند.

در مواقعی که در یک محور مهاربندی، مهاربندهای قطری در یک دهانه نباشند، مقاومت‌های موردنیاز دیافراگم، جمع کننده‌ها و اجزای تشکیل‌دهنده سیستم که باید طوری در نظر گرفته شوند که مطابق الزامات بند 10-3-4-2-3 نیروهای ناشی از رفتار فرا کمانشی مهاربندها بتوانند بین دهانه‌های مهاربندی شده منتقل شوند. مقاومت‌های موردنیاز جمع کننده لازم نیست از مقاومت موردنیاز به دست آمده از تحلیل شامل نیروی زلزله تشدید یافته (ΩoE) که در آن کلیه مهاربندهای فشاری از مدل حذف شده‌اند، بزرگ‌تر در نظر گرفته شود. هم‌چنین مقاومت موردنیاز جمع کننده‌ها نباید از مقدار به دست آمده از ترکیبات بارگذاری متعارف کمتر در نظر گرفته شود.

2-4-2-4-3-10 مهاربندهای به شکل 7 یا 8

قاب‌های مهاربندی شده همگرای ویژه با مهاربندهای از نوع 7 یا 8 باید دارای شرایط زیر باشند:

الف) تیرهای واقع در دهانه‌های مهاربندی شده باید در حدفاصل بین دو ستون پیوسته باشند.

ب) مقاطع تیرهای واقع در دهانه‌های مهاربندی شده باید از نوع فشردة لرزه‌ای با محدودیت نسبت پهنا به ضخامت برابر λmd مطابق مقادیر جدول 10-3-2-4 باشند.

پ) تیرهای دهانه‌های مهاربندی شده باید دارای مهار جانبی کافی برای جلوگیری از کمانش جانبی- پیچشی باشند. برای این منظور در محل اتصال مهاربندها به تیر تعبیه مهار جانبی الزامی است، مگر آنکه تیر دارای مقاومت خارج از صفحه و سختی کافی برای تأمین پایداری در بین دو انتهای مهار شده باشد.

3-4-2-4-3-10 مهاربندهای به شکل K

در این نوع قاب‌های مهاربندی شده استفاده از مهاربندهای به شکل K مجاز نیست.

4-4-2-4-3-10 مهاربندهای داری رفتار کششی تنها

در قاب‌های مهاربندی شده همگرای ویژه طراحی مهاربندیها به صورت کششی تنها مجاز نیست.

5-4-2-4-3-10 مهاربندهای چند ردیفی در یک طبقه (MT-SCBF)

قاب‌های مهاربندی شده همگرای ویژه با مهاربندهای چند ردیفی در یک طبقه باید دارای شرایط زیر باشند:

الف) در هر یک از ردیف‌های مهاربندی، مهاربندها باید به صورت یک جفت کششی – (قرینه نسبت به محور مرکزی دهانه مهاربندی) مورد استفاده قرار گیرند.

ب) اعضای افقی واقع در تراز هر یک از ردیف‌های مهاربندی باید الزامات زیر را تأمین نمایند:

1- در تراز هر یک از ردیف‌های مهاربندی باید عضو افقی وجود داشته باشد.

2- اعضای افقی که توسط مهاربندهای به شکل 7 یا 8 قطع می‌شوند، باید الزامات بخش 10-3-4-2-4-2 را تأمین نمایند. در صورتی که کمانش مهاربندها در خارج از صفحه قاب باشد، در بررسی لزوم یا عدم لزوم به تأمین مهارهای جانبی در طول عضو افقی، لنگرهای پیچشی ناشی از کمانش مهاربند باید در نظر گرفته شود. مقدار لنگر پیچشی ناشی از کمانش مهاربند از طریق رابطه 1.1RyMPs تعیین می‌شود که در آن MP برابر لنگر پلاستیک مقطع عضو مهاربندی و مقدار αs برابر 1.0 در LRFD و برابر 1.5 در ASD است، ولی لازم نیست از مقاومت خمشی موجود اتصال عضو مهاربندی بزرگتر در نظر گرفته شود.

پ) ستون‌های واقع در دهانه‌های مهاربندی باید الزامات زیر را تأمین نمایند:

1- در تراز هر یک از ردیف‌های مهاربندی، ستون‌ها باید در برابر پیچش مهار شوند.

2- ستون‌ها باید دارای مقاومت موجود کافی در برابر نیروهای ناشی از کمانش مهاربندها باشند. برای تعیین این نیروها، لنگر خمشی عضو مهاربندی باید برابر 1.1RyMPs که در آن MP لنگر پلاستیک مقطع عضو مهاربندی نسبت به محور کمانش و مقدار مقدار αs برابر 1.0 در LRFD و برابر 1.5 در ASD است، در نظر گرفته شود؛ ولی لازم نیست از مقاومت خمشی موجود اتصال عضو مهاربندی نسبت به محور کمانش عضو مهاربندی بزرگتر در نظر گرفته شود.

3- در کلیه ترکیبات بارگذاری در طراحی ستون‌هایی که تحت اثر بار محوری فشاری قرار دارند، باید آثار مرتبه دوم و نیز آثار ناشی از نواقص هندسی اولیه لحاظ شود. برای این منظور به عنوان یک حداقل باید در تراز هریک از ردیف‌های مهاربندی و در خارج از صفحه مهاربندی یک بار جانبی فرضی به میزان 0.006 برابر مؤلفة قائم نیروی فشاری مهاربند در گره موردنظر اعمال شود. در کلیه حالتها مقدار ضریب B1 (ضریب تشدید برای در نظر گرفتن اثر P-δ) لازم نیست از 2 بزرگ‌تر در نظر گرفته شود.

ت) در تراز هر یک از ردیف‌های مهاربندی مقدار تغییرمکان جانبی نسبی ضمن رعایت الزامات مبحث ششم مقررات ملی ساختمان، نباید از 2% ارتفاع ردیف مهاربندی بیشتر باشد.

5-2-4-3-10 الزامات اعضا
1-5-2-4-3-10 الزامات عمومی

مقاطع ستون‌ها، تیرها و اعضای مهاربندی باید از نوع فشرده لرزه‌ای با محدودیت نسبت پهنا به ضخامت برابر λhd مطابق مقادیر جدول 10-3-2-4 باشند. هم‌چنین در مهاربندهای چند ردیفی در یک طبقه، مقاطع تیرهای واقع در تراز ردیف‌های مهاربندی باید از نوع فشرده لرزه‌ای با محدودیت نسبت پهنا به ضخامت برابر λmd مطابق مقادیر جدول 10-3-2-4 باشند.

2-5-2-4-3-10 اعضای مهاربندی

در قاب‌های مهاربندی شده همگرای ویژه، اعضای مهاربندی باید دارای شرایط زیر باشند:

الف) مقدار نسبت لاغری (KL/r) عضو مهاربندی نباید از 200 بزرگ‌تر باشد.

ب) در مهاربندهای ساخته شده از دو یا چند نیمرخ، در طول عضو مهاربندی فاصله اتصال دهنده‌ها (بست‌ها یا لقمه‌ها) باید طوری باشد که نسبت لاغری حداقل (a/ri) اجزای تشکیل‌دهنده مقطع مهاربندی از 0.4 نسبت لاغری تعیین کننده عضو ساخته شده بیشتر نباشد. که در آن:

a = فاصله مرکز تا مرکز اتصال دهنده‌ها (بست‌ها یا لقمه‌ها)

ri = شعاع ژیراسیون حداقل هر یک از نیمرخهای تشکیل‌دهنده مقطع عضو مهاربندی

مجموع مقاومت‌های برشی موجود اتصال دهنده‌ها در طول عضو باید مساوی با بزرگتر از مقاومت کششی موجود هر یک از نیمرخ‌ها باشد. در این محاسبه در مهاربندهای 7 یا 8 و قطری طول عضو مهاربندی برابر طول کل مهاربند و در مهاربندهای ضربدری برابر نصف طول کل مهاربندی در نظر گرفته می‌شود. فاصله اتصال دهنده‌ها باید یکنواخت بوده و تعداد آن‌ها در طول عضو مهاربندی حداقل دو عدد باشد. اتصال دهنده‌ها نباید در داخل یک چهارم طول خالص عضو مهاربندی که در وسط مهاربند قرار می‌گیرد، باشد. اگر کمانش عضو مهاربندی طوری باشد که موجب ایجاد برش در اتصال دهنده‌ها نشود، در این صورت در طراحی اتصال دهنده‌ها می‌توان این الزامات را نادیده گرفت.

پ) مقدار سطح مقطع خالص مؤثر عضو مهاربندی نباید از 0.9 سطح مقطع کلی آن کمتر باشد. در مواقعی که در عضو مهاربندی از قطعات تقویتی (ورق یا نیمرخ) استفاده می‌شود، الزامات زیر باید تأمین شوند:

1- تنش تسلیم قطعات تقویتی باید حداقل برابر تنش تسلیم عضو مهاربندی باشد.

2- اتصالات قطعات تقویتی به عضو مهاربندی باید دارای مقاومت موجود کافی برای توسعه مقاومت مورد انتظار قطعات تقویتی در هر طرف مقطع کاهش یافته باشد.

3-5-2-4-3-10 نواحی حفاظت شده

در قاب‌های مهاربندی شده همگرای ویژه، مطابق شکل 10-3-4-2-1، نواحی حفاظت شده که باید الزامات بخش 10-3-2-17 را تأمین نمایند، شامل موارد زیر است:

الف) برای مهاربندها یک چهارم طول در قسمت میانی عضو و در دو انتها فاصله‌ای به طول عمق مقطع عضو در صفحه کمانش از بر اتصال عضو مهاربندی به سمت داخل عضو

ب) اجزای اتصال مهاربندها به تیرها و ستون‌ها

تبصره: به‌کارگیری اجزای موردنیاز طراحی (از قبیل بست‌ها، لقمه‌ها، ورق‌های تقویتی و وسایل اتصال آنها) در نواحی حفاظت شده با رعایت الزامات بخش 10-3-2-17 بلامانع است.

نواحی حفاظت شده در مهاربندهای همگرای ویژه

شکل 10-3-4-2-1: نواحی حفاظت شده در مهاربندهای همگرای ویژه

6-2-4-3-10 اتصالات
1-6-2-4-3-10 جوش‌های بحرانی لرزه‌ای

در قاب‌های مهاربندی شده همگرای ویژه جوش‌های زیر به عنوان جوش بحرانی لرزه‌ای محسوب می‌شوند و باید الزامات بند 10-3-2-1-6-ب را برآورده نمایند:

الف) جوش شیاری در وصله ستون‌ها

ب) جوش‌های اتصال ستون به کف ستون

استثناء: در صورتی که آزمایش‌ها یا تحلیل‌ها نشان دهند که امکان تشکیل مفاصل پلاستیک در پای ستون یا در نزدیکی آن وجود ندارد و ضمناً تحت اثر ترکیبات بارگذاری شامل زلزله تشدید یافته در پای ستون بر کنش محتمل نیست، جوش‌های این اتصال می‌توانند بحرانی لرزه‌ای محسوب نشوند.

پ) جوش‌های اتصال تیر به ستون مطابق با شرایط الزامات بند 10-3-4-2-6-2-پ

2-6-2-4-3-10 اتصال تیر به ستون

در قاب‌های مهاربندی شده همگرای ویژه اگر اتصال ورق گاست (ورق اتصال) هم به تیر و هم به ستون صورت گیرد، در این صورت اتصال تیر به ستون باید مطابق یکی از حالتهای زیر باشد:

الف) پیکربندی اتصال مطابق ضوابط بند 10-2-9-1-2-الف به صورت یک اتصال ساده (مفصلی) باشد به نحوی که حداقل 0.025 رادیان قابلیت دوران داشته باشد. در شکل 10-3-4-2-2 چند نمونه از پیکربندی‌های متداول اتصال مفصلی تیر به ستون که این الزام قابلیت دوران را تأمین می‌نمایند، نشان داده شده است.

ب) پیکربندی اتصال به صورت یک اتصال گیردار باشد و مقاومت خمشی موردنیاز اتصال که باید همراه با مقاومت‌های موردنیاز اتصال مهاربندها در نظر گرفته شود، حداقل برابر کوچکترین دو مقدار زیر باشد:

1- حداکثر مقاومت خمشی مورد انتظار تیر برابر 1.1RyMPs که در آن Mp لنگر پلاستیک مقطع تیر، Ry برابر نسبت تنش تسلیم مورد انتظار به تنش تسلیم مشخصه فولاد تیر و مقدار αs برابر 1.0 در LRFD و برابر 1.5 در ASD است.

2- مجموع حداکثر مقاومت خمشی مورد انتظار ستون‌های بالا و پایین اتصال برابر که در آن Z برابر اساس مقطع پلاستیک مقطع ستون، Ry برابر نسبت تنش تسلیم مورد انتظار به تنش تسلیم مشخصه فولاد ستون و Fy برابر تنش تسلیم مشخصه فولاد ستون است.

پ) اتصال تیر به ستون به صورت یک اتصال صلب خمشی مطابق الزامات اتصالات گیردار در قاب‌های خمشی معمولی طراحی شود.

پیکربندی‌های قابل قبول اتصال مفصلی تیر به ستون در قاب‌های مهاربندی شده با مهاربندهای همگرای ویژه

شکل 10-3-4-2-2: پیکربندی‌های قابل قبول اتصال مفصلی تیر به ستون در قاب‌های مهاربندی شده با مهاربندهای همگرای ویژه

3-6-2-4-3-10 اتصال اعضای مهاربندی

مقاومت‌های موردنیاز کششی، فشاری و خمشی اتصال اعضای مهاربندی که باید به طور مجزا در نظر گرفته شوند، به شرح زیر هستند:

الف) مقاومت کششی موردنیاز

مقاومت کششی موردنیاز اتصالات اعضای مهاربندی باید حداقل برابر RyFyAgs در نظر گرفته شود، که در آن:

Ry = نسبت تنش تسلیم مورد انتظار به تنش تسلیم مشخصه فولاد اعضای مهاربندی

Fy = تنش تسلیم مشخصه فولاد اعضای مهاربندی

Ag = سطح مقطع کلی عضو مهاربندی

αs = برابر 1.0 در روش LRFD و برابر 1.5 در روش ASD

تبصره: در اتصالات پیچی مطابق الزامات عمومی در صورت استفاده از سوراخ‌های بزرگ شده در یک لایه از اجزا، اتصال باید از نوع لغزش بحرانی باشد و مقاومت موردنیاز نظیر حالت حدی لغزش بحرانی لازم نیست از مقاومت موردنیاز به دست آمده از ترکیبات مختلف بارگذاری شامل نیروی زلزله تشدید یافته (ΩoE) بزرگ‌تر در نظر گرفته شود.

ب) مقاومت فشاری موردنیاز

مقاومت فشاری موردنیاز اتصالات اعضای مهاربندی باید حداقل برابر کوچک‌ترین مقدار از بین RyFyAgs و 1.1FcreAgs در نظر گرفته شود که در آن:

Ry = نسبت تنش تسلیم مورد انتظار به تنش تسلیم مشخصه فولاد اعضای مهاربندی

Fy = تنش تسلیم مشخصه فولاد اعضای مهاربندی

Ag = سطح مقطع کلی عضو مهاربندی

Fcre = تنش فشاری مورد انتظار ناشی از کمانش مطابق ضوابط بخش 10-2-4 با این شرط که در آن به جای Fy از RyFy استفاده شده باشد.

پ) مقاومت خمشی موردنیاز

اس اتصال اعضای مهاربندی باید دارای مقاومت خمشی موردنیاز حداقل برابر 1.1RyMPs باشد که در آن، MP لنگر خمشی پلاستیک مقطع عضو مهاربندی حول محور کمانش بحرانی مقطع است. در صورت حاکم بودن کمانش خارج از صفحه مهاربندی و تأمین شرایط مناسب سازگاری ورق اتصال با کمانش خارج از صفحه، نظیر تأمین فاصله حداقل 2t مطابق شکل 10-3-4-2-3 بین انتهای مهاربند تا خط آزاد خمش، لزومی به در نظر گرفتن مقاومت خمشی موردنیاز نیست.

سازگاری ورق اتصال (ورق گاست) با کمانش خارج از صفحه عضو مهاربندی

شکل 10-3-4-2-3: سازگاری ورق اتصال (ورق گاست) با کمانش خارج از صفحه عضو مهاربندی

ت) ورق اتصال مهاربندی

برای کمانش خارج از صفحه اعضای مهاربندی، جوش‌های متصل به تیر و ستون ورق اتصال باید دارای مقاومت برشی موجود حداقل برابر 0.6RyFytpL/αs باشند که در آن:

Ry = نسبت تنش تسلیم مورد انتظار به تنش تسلیم مشخصه فولاد ورق اتصال

Fy = تنش تسلیم مشخصه فولاد ورق اتصال

tP = ضخامت ورق اتصال

L = طول متصل به تیر ورق اتصال برای جوش متصل به تیر و طول متصل به ستون برای جوش متصل به ستون ورق اتصال

αs = برابر 1.0 در روش LRFD و برابر 1.5 در روش ASD

تبصره: در صورت تأمین فاصله 2t (مطابق شکل 10-3-4-2-3)، به جای استفاده از الزام فوق این جوش‌ها می‌توانند براساس بزرگ‌ترین مقدار به دست آمده از حالت‌های زیر طراحی شوند:

1- نیروهای ایجادشده در لبه‌های ورق اتصال ناشی از مقاومت فشاری موردنیاز اتصال عضو مهاربندی (مطابق بند ب)

2- نیروهای ایجادشده در لبه‌های ورق اتصال ناشی از 0.3 مقاومت فشاری موردنیاز اتصال عضو مهاربندی در ترکیب با اثر مقاومت خمشی مورد انتظار ورق اتصال نسبت به محور ضعیف آن در محل خط آزاد خمش

7-2-4-3-10 وصله ستون‌ها

وصله ستون‌ها باید الزامات بند 10-3-2-12 را تأمین نمایند. وصلۀ مستقیم ستون‌ها باید با استفاده از جوش شیاری با نفوذ کامل انجام شود. وصلۀ غیرمستقیم ستون‌ها می‌تواند از نوع جوشی یا پیچی باشد. در هر حال مقاومت خمشی موردنیاز وصله‌های غیرمستقیم نباید از Mp mins و مقاومت برشی موردنیاز آن‌ها نباید از (ΣMp)/(αsHc) کمتر در نظر گرفته شود، که در آن:

MPmin = لنگر پلاستیک کوچکترین مقطع وصله شونده ستون

ΣMp = مجموع لنگرهای پلاستیک دو انتهای ستون در طبقه موردنظر

αs = برابر 1.0 در روش LRFD و برابر 1.5 در روش ASD

Hc = ارتفاع خالص ستون (فاصله خالص بین بال تحتانی تیر فوقانی و روی دال بتنی تیر تحتانی در طبقه موردنظر و در صورت عدم وجود دال بتنی سازه‌ای، فاصله خالص بین بال تحتانی تیر فوقانی و بال فوقانی تیر تحتانی در طبقه موردنظر)

تبصره: درهرحال مقاومت محوری موجود وصله هر جزء مقطع ستون (بدون در نظر گرفتن آثار از لنگر خمشی)، نباید از RyFybitis کمتر در نظر گرفته شود که در آن:

Ry = نسبت تنش تسلیم مورد انتظار به تنش تسلیم مشخصه فولاد ستون

Fy = تنش تسلیم مشخصه فولاد ستون

bi = پهنای جزء ستون کوچکتر وصله شونده

ti = ضخامت جزء ستون کوچکتر وصله شونده

3-4-3-10 الزامات لرزه‌ای قاب‌های مهاربندی شده واگرا (EBF)
1-3-4-3-10 الزامات عمومی

قاب‌های مهاربندی شده واگرا (EBF) قاب‌هایی هستند که در آن‌ها در دهانه مهاربندی یک انتهای مهاربندها با فاصله نسبتاً کمی از یکدیگر روی محور طولی تیر یا با فاصله نسبتاً کمی از گره اتصال تیر به ستون، به تیر متصل می‌شوند و موجب تشکیل تیر پیوند که تحت اثر برش و خمش قرار می‌گیرد، می‌شود. به ناحیه‌ای که بین نقاط تلاقی محورهای دو عضو قطری مهاربندی روی تیر تشکیل می‌شود تیر پیوند میانی و به فاصله‌ای که بین نقطه تلاقی محور عضو مهاربندی تا گره اتصال تیر به ستون قرار دارد، تیر پیوند کناری گفته می‌شود. در این نوع قاب‌ها ظرفیت تغییرشکل غیرالاستیک سیستم مهاربندی عمدتاً از طریق تسلیم برشی یا خمشی تیر پیوند تأمین می‌شود. در این نوع قاب‌های مهاربندی شده تعهید سوراخ در جان تیرهای پیوند مجاز نیست. هم‌چنین توصیه می‌شود در جان تیر خارج از ناحیه تیر پیوند سوراخی تعبیه نشود. در صورت لزوم به تعهیۀ سوراخ دسترسی در جان تیر خارج از ناحیه تیر پیوند، اطراف آن باید به نحوی تقویت گردد که مقاومت‌های موجود (مقاومت‌های طراحی در LRFD و مقاومت‌های مجاز در ASD) در مقطع سوراخ‌دار از مقاومت‌های موجود مقطع کامل تیر کمتر نباشد.

در شکل 10-3-4-3-1 چند نمونه از قاب‌های مهاربندی شده واگرا و اجزای کلیدی تشکیل‌دهنده آن نشان داده شده است.

چند نمونه متداول از قاب‌های مهاربندی شده واگرا

شکل 10-3-4-3-1: چند نمونه متداول از قاب‌های مهاربندی شده واگرا

2-3-4-3-10 مبانی طراحی

در طراحی اعضا و اتصالات قاب‌های مهاربندی شده واگرا علاوه بر الزامات متعارف فصل‌های 10-1 و 10-2 و نیز الزامات لرزه‌ای عمومی بخش 10-3-2 باید الزامات لرزه‌ای این بخش نیز رعایت شود. در این گونه مهاربندها خروج از مرکزیت کمتر از عمق تیر در اتصال مهاربند به تیر و در خارج از ناحیه تیر پیوند مجاز است، مشروط بر اینکه آثار این خروج از مرکزیت در طراحی اعضا و اتصالات لحاظ شوند و این خروج از مرکزیت منبع مورد انتظار ظرفیت تغییرشکل فرا ارتجاعی سیستم را تغییر ندهد.

3-3-4-3-10 الزامات تحلیل

در قاب‌های مهاربندی شده واگرا مقاومت موردنیاز اعضای مهاربندی و اتصالات آن‌ها، ستون‌ها و تیرهای خارج از ناحیه تیر پیوند باید براساس نیروی زلزله محدود به ظرفیت (Ecl) که در تیرهای پیوند ایجاد می‌گردد، تعیین شوند. برای این منظور این مقاومت‌های موردنیاز باید براساس تحلیلی که تحت اثر بارهای ثقلی (با ضرایبی که در حضور نیروی زلزله مورد استفاده قرار می‌گیرند) و اثرات لرزه‌ای که موجب ایجاد برشی برابر 1.25RyVns در تیرهای پیوند با مقطع I شکل و 1.4RyVns در تیرهای پیوند با مقطع قوطی شکل و نیروهای نظیر آن‌ها در دو انتهای تیر پیوند می‌شود، با رعایت استثناهای زیر، تعیین شود؛ که در آن: Vn مقاومت برشی اسمی تیر پیوند مطابق ضوابط بخش 10-3-4-3-5-2-ب، Ry نسبت تنش تسلیم مورد انتظار به تنش تسلیم مشخصه فولاد تیر پیوند و αs برابر 1.0 در LRFD و برابر 1.5 در ASD است.

استثناها:

(1) در طراحی تیرهای خارج از ناحیه تیر پیوند می‌توان اثرات لرزه‌ای ناشی از نیروی برشی و لنگر خمشی مذکور را با ضریب 0.88 کاهش داد.

(2) در تحلیل مذکور می‌توان از لنگرهای خمشی ناشی از تغییرمکان جانبی نسبی طبقه صرف نظر نمود. در صورتی که ستون در فاصله بین دو انتهای خود تحت اثر نیروی جانبی قرار بگیرد، در تعیین مقاومت‌های موردنیاز مذکور باید آثار لنگر خمشی ناشی از این نیروی جانبی در نظر گرفته شود.

4-3-4-3-10 الزامات سیستم
1-4-3-4-3-10 دوران تیر پیوند

دوران غیرالاستیک تیر پیوند نسبت به ناحیه خارج از آن (γP) که باید براساس تغییرمکان جانبی نسبی غیرخطی طبقه (ΔM) محاسبه شود، نباید از مقادیر زیر بیشتر باشد:

الف) 0.08 رادیان برای حالتی که طول تیر پیوند مساوی یا کمتر از 1.6MP/VP باشد.

ب) 0.02 رادیان برای حالتی که طول تیر پیوند مساوی با بزرگتر از 2.6MP/VP باشد.

که در آن:

Vp = برش پلاستیک مقطع تیر پیوند

Mp = لنگر پلاستیک مقطع تیر پیوند

تبصره 1: برای مقادیر طول تیر پیوند بین دو مقدار 1.6MP/VP و 2.6MP/VP برای تعیین مقدار و مجاز دوران غیرالاستیک تیر پیوند می‌توان از درون یابی خطی بهره برد.

تبصره 2: دوران پلاستیک تیر پیوند نسبت به ناحیۀ خارج از آن (γp) باید بر اساس تغییرمکان جانبی نسبی پلاستیک طبقه (Δp) محاسبه شود. به تغییرمکان جانبی نسبی غیرخطی طبقه (ΔM) منهای تغییرمکان جانبی نسبی الاستیک آن، تغییرمکان جانبی نسبی پلاستیک طبقه گفته می‌شود. دوران پلاستیک تیر پیوند می‌تواند بر اساس روابط مندرج در شکل 10-3-4-3-2 تعیین شود.

دوران غیرالاستیک تیر پیوند نسبت به ناحیه خارج از آن (γP)

شکل 10-3-4-3-2: دوران غیرالاستیک تیر پیوند نسبت به ناحیه خارج از آن (γP)

2-4-3-4-3-10 مهار جانبی تیر پیوند

در دو انتهای تیر پیوند میانی و انتهای منتهی به مهاربند تیر پیوند کناری با مقطع I شکل در بالهای فوقانی و تحتانی باید مهارهای جانبی تعبیه شود. مهارهای جانبی باید دارای مقاومت موجود و سختی کافی مطابق ضوابطی که در بند 10-3-2-8-3 برای مکان‌های مورد انتظار مفصل پلاستیک الزام شده است، باشند.

5-3-4-3-10 الزامات عمومی:

الف) مقاطع اعضای مهاربندی باید از نوع فشرده لرزه‌ای با محدودیت حداکثر نسبت پهنا به ضخامت برابر λmd مطابق مقادیر جدول 10-3-2-4 باشند.

ب) مقاطع ستون‌های نظیر دهانه‌های مهاربندی باید از نوع فشرده لرزه‌ای با محدودیت حداکثر نسبت پهنا به ضخامت برابر λhd مطابق مقادیر جدول 10-3-2-4 باشند.

پ) تیر (یا تیرهای ) خارج از ناحیه تیر پیوند، اگر دارای مقطع متفاوت با مقطع تیر پیوند باشند، باید دارای مقطع از نوع فشرده لرزه‌ای با محدودیت حداکثر نسبت پهنا به ضخامت برابر λmd مطابق مقادیر جدول 10-3-2-4 باشند.

تبصره: اگر تیر خارج از ناحیه پیوند دارای مقطع یکسان با مقطع تیر پیوند باشد، در این صورت مقاومت‌های موجود آن باید برابر مقاومت‌های مورد انتظارش در نظر گرفته شود. به عبارت دیگر، در تعیین مقاومت‌های موجود تیر خارج از ناحیه پیوند به جای را می‌توان از RyFy استفاده کرد که در آن، Ry برابر نسبت تنش تسلیم مورد انتظار به تنش تسلیم مشخصه فولاد تیر و Fy برابر تنش تسلیم مشخصه فولاد تیر است.

2-5-3-4-3-10 الزامات تیر پیوند

الف) محدودیت‌ها

1- مقطع تیر پیوند باید از نوع I شکل (نوردشده یا ساخته شده از ورق) یا از نوع قوطی شکل ساخته شده از ورق باشد. استفاده از مقاطع قوطی شکل نوردشده برای تیر پیوند مجاز نیست.

2- تیرهای پیوند باید دارای مقطع از نوع فشرده لرزه‌ای با محدودیت حداکثر نسبت پهنا به ضخامت برابر λhd مطابق مقادیر جدول 10-3-2-4 باشند.

استثنا: برای تیرهای پیوند دارای مقطع I شکل و با طول e≤1.6MP/VP بال‌های مقطع می‌توانند از نوع فشرده لرزه‌ای با محدودیت حداکثر نسبت پهنا به ضخامت برابر λmd مطابق مقادیر جدول 10-3-2-4 باشند. هم‌چنین برای تیرهای پیوند دارای مقطع قوطی شکل و با طول e≤1.6MP/VP جان‌های مقطع می‌توانند از نوع فشرده لرزه‌ای با محدودیت حداکثر نسبت پهنا به ضخامت برابر λmd مطابق مقادیر جدول 10-3-2-4 باشند.

3- جان (یا جانها) باید از یک ورق تک بدون هرگونه ورق مضاعف متصل به آن در نظر گرفته شود و در آن نباید هیچ‌گونه بازشویی ایجاد شود.

4- در تیرهای پیوند ساخته شده از ورق، اتصال جان (یا جانها) به بال تیر باید از نوع جوش شیاری با نفوذ کامل باشد.

5- تیرهای پیوند با مقطع قوطی شکل ساخته شده از ورق باید دارای شرایط Iy>0.67Ix باشند که در آن Iy ممان اینرسی مقطع تیر پیوند حول محور مرکزی در امتداد جانهای مقطع و Ix ممان اینرسی مقطع تیر پیوند حول محور مرکزی عمود بر امتداد جانهای مقطع است.

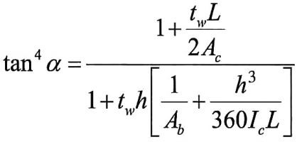
ب) مقاومت برشی اسمی تیر پیوند

مقاومت برشی موجود تیر پیوند مقاومت برشی طراحی (ϕvVn) در LRFD و مقاومت برشی مجاز (Vnv) در ASD] باید برابر کوچک‌ترین مقدار محاسبه شده براساس حالت‌های حدی تسلیم برشی در جان مقطع و تسلیم خمشی در دو انتهای تیر پیوند در مقطع کلی در نظر گرفته شود که در آن، ϕv ضریب کاهش مقاومت برابر 0.9، Ωv ضریب اطمینان برابر 1.67 و Vn مقاومت برشی اسمی تیر پیوند است که باید به شرح زیر در نظر گرفته شود:

1- براساس تسلیم برشی در جان مقطع

(1-3-4-3-10) Vn=VP

2- براساس تسلیم خمشی در مقطع کلی

(2-3-4-3-10) 10-3-4-3-2

در روابط فوق:

(3-3-4-3-10) 10-3-4-3-3

 

(4-3-4-3-10) 10-3-4-3-4

Pr = مقاومت محوری موردنیاز تیر پیوند بر اساس ترکیبات بارگذاری متعارف. در واقع منظور از Pr همان Pu در طراحی به روش LRFD و Pa در طراحی به روش ASD است.

Py= مقاومت تسلیم محوری تیر پیوند برابر FyAg

Alw = مساحت جان مقطع تیر پیوند برابر (d-2tf)tw برای مقاطع I شکل (نوردشده یا ساخته شده از ورق) و برابر 2(d-2tf)tw برای مقاطع قوطی شکل ساخته شده از ورق، که در آن tf ضخامت بال، tw ضخامت جان و d عمق کلی مقطع I شکل است.

Fy = تنش تسلیم مشخصه فولاد تیر پیوند

Z = اساس مقطع پلاستیک تیر پیوند

e = طول تیر پیوند که برابر است با فاصله بین اتصال دو انتهای مهاربند در روی بال تیر یا فاصله بین اتصال انتهای مهاربندی در روی بال تیر تا بر ستون

αs = برابر 1.0 در روش LRFD و برابر 1.5 در روش ASD

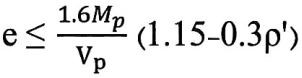
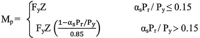
پ) طول تیر پیوند تیرهای پیوندی که دارای شرط αsPr/Py>0.15 هستند، باید محدودیت زیر را برآورده نمایند:

1- در صورتی که ρ’≤0.5 باشد:

(5-3-4-3-10) 10-3-4-3-5

2- در صورتی که ρ’>0.5 باشد:

(6-3-4-3-10) 10-3-4-3-6

در روابط فوق:

(7-3-4-3-10) 10-3-4-3-7

VP = برش پلاستیک مقطع تیر پیوند مطابق رابطه 10-3-4-3-3

Mp = لنگر پلاستیک مقطع تیر پیوند مطابق رابطه 10-3-4-3-4

Vr = مقاومت برشی موردنیاز تیر پیوند براساس ترکیبات بارگذاری متعارف. در واقع منظور از Vr همان Vu در طراحی به روش LRFD و Va در طراحی به روش ASD است.

Vy = مقاومت تسلیم برشی تیر پیوند برابر 0.6FyAlw

A/w = مساحت جان مقطع تیر پیوند برابر (d-2tf)tw برای مقاطع I شکل (نوردشده یا ساخته شده از ورق) و برابر 2(d-2tf)tw برای مقاطع قوطی شکل ساخته شده از ورق، که در آن tf ضخامت بال، tw ضخامت جان و d عمق کلی مقطع I شکل است.

Pr = مقاومت محوری موردنیاز تیر پیوند بر اساس ترکیبات بارگذاری متعارف. در واقع منظور از Pr همان Pu در طراحی به روش LRFD و Pa در طراحی به روش ASD است که براساس یک مدل تحلیلی واقعی به دست می‌آید.

Py = مقاومت تسلیم محوری تیر پیوند برابر FyAg

Ag = سطح مقطع کلی مقطع تیر پیوند

Fy = تنش تسلیم مشخصه فولاد تیر پیوند

e = طول تیر پیوند که برابر است با فاصله بین اتصال دو انتهای مهاربند در روی بال تیر یا فاصله بین اتصال انتهای مهاربندی در روی بال تیر تا بر ستون

αs = برابر 1.0 در روش LRFD و برابر 1.5 در روش ASD

تبصره: برای تیرهای پیوندی که دارای شرایط αsPr/Py≤0.15 هستند، هیچ محدودیتی برای طول تیر پیوند وجود ندارد، لیکن به منظور تأمین الزامات بند 10-3-4-3-4-1 ممکن است به تیرهای پیوندی با طول کوتاه‌تر نیاز باشد.

ت) سخت‌کننده‌های تیر پیوند

تیرهای پیوند باید با سخت‌کننده در محل اتصال انتهای مهاربند به تیر و نیز تعدادی سخت‌کننده میانی در طول تیر پیوند تقویت شوند. مشخصات این سخت‌کننده‌ها باید بر اساس ضوابط بندهای زیر در نظر گرفته شوند:

ت -1) سخت‌کننده‌های تیرهای پیوند با مقطع I شکل

تیرهای پیوند باید با سخت‌کننده در محل اتصال انتهای مهاربند به تیر تقویت شوند. این سخت‌کننده‌ها باید به صورت یک جفت در دو طرف جان و در تمام ارتفاع آن تعبیه گردند. پهنای هریک از این سخت‌کننده‌ها نباید از 1-2-bf-tw و ضخامت آن‌ها نباید از 0.75tw یا 10 میلی‌متر هرکدام بزرگتر باشد)، کمتر انتخاب شود که در آن، bf پهنای بال تیر پیوند و tw ضخامت جان مقطع تیر پیوند است.

در شرایط زیر تیر پیوند باید دارای سخت‌کننده‌های میانی نیز باشد:

1- در مواردی که طول تیر پیوند کوچکتر یا مساوی 1.6MP/VP باشد. در این گونه موارد فاصله سخت‌کننده‌های میانی نباید بیشتر از 30tw-d/5 برای تیرهای پیوند با زاویه دوران 0.08 رادیان و 52tw-d/5 برای تیرهای پیوند با زاویه دوران 0.02 رادیان در نظر گرفته شود. برای تعیین فاصله سخت‌کننده‌های میانی در تیرهای پیوند با زاویه دوران بین دو مقدار 0.02 و 0.08 رادیان می‌توان از درون یابی خطی استفاده نمود.

2- در مواردی که طول تیر پیوند در محدوده 2.6MP/VP≤e≤5MP/VP باشد، تعبیه یک سخت‌کننده میانی به فاصله 1.5bf در هر یک از دو انتهای تیر پیوند الزامی است. در مواردی که طول تیر پیوند بزرگتر از 5MP/VP باشد، تعبیه سخت‌کننده‌های میانی در طول تیر پیوند الزامی نیست.

3- در مواردی که طول تیر پیوند در محدوده 1.6MP/VP≤e≤2.6MP/VP باشد، تیر پیوند باید دارای سخت‌کننده‌های میانی باشد. در این گونه موارد سخت‌کننده‌های میانی باید الزامات هر دو شرط (1) و (2) در فوق را تأمین نمایند.

4- سخت‌کننده‌های موردنیاز برای شرایط (1) تا (3) در فوق، باید در تمام ارتفاع تیر پیوند تعبیه شوند. این سخت‌کننده‌ها در تیرهای با ارتفاع 650 میلی‌متر و بیشتر باید به صورت جفت و در دو سمت جان تعبیه شوند. در تیرهای با ارتفاع کمتر از 650 میلی‌متر می‌توان این سخت‌کننده‌ها را به صورت تکی و در یک سمت جان تیر پیوند تعبیه نمود. پهنای هریک از سخت‌کننده‌های میانی نباید از 1-2-bf-tw و ضخامت آن‌ها نباید از tw یا 10 میلی‌متر (هر کدام بزرگتر باشد)، کمتر انتخاب شود.

چنانچه اتصال سخت‌کننده‌های انتهایی و میانی به جان و بال‌های تیر پیوند از طریق جوش گوشه برقرار گردد، در این صورت مقاومت موردنیاز اتصال سخت‌کننده‌ها به جان تیر پیوند باید حداقل برابر FyAsts و مقاومت موردنیاز اتصال سخت‌کننده‌ها به هر یک از بال‌های تیر پیوند باید حداقل برابر با 1-4-FyAst-αs در نظر گرفته شود که در آن Fy تنش تسلیم مشخصه فولاد سخت‌کننده‌ها، Ast سطح مقطع عرضی هریک از سخت‌کننده‌ها و αs برابر 1.0 در LRFD و برابر 1.5 در ASD است.

تیر پیوند با مقطع I شکل و سخت‌کننده‌های موردنیاز

شکل 10-3-4-3-3: تیر پیوند با مقطع I شکل و سخت‌کننده‌های موردنیاز

ت -2) سخت‌کننده‌های تیرهای پیوند با مقطع قوطی شکل

تیرهای پیوند با مقطع قوطی شکل باید با سخت‌کننده در محل اتصال انتهای مهاربندی به تیر تقویت شوند. این سخت‌کننده‌ها باید در یک سمت هر یک از جانها و در تمام ارتفاع آن تعبیه گردند و اتصال آن‌ها به هریک از جانها از داخل یا خارج مقطع قوطی شکل مجاز است. پهنای هریک از این سخت‌کننده‌ها نباید از b/2 و ضخامت آن‌ها نباید از 0.75tw یا 12 میلی‌متر (هرکدام بزرگتر باشد)، کمتر انتخاب شود که در آن، b پهنای داخلی بال مقطع تیر پیوند و tw ضخامت هریک از جانهای مقطع تیر پیوند است.

در شرایط زیر تیر پیوند با مقطع قوطی شکل باید دارای سخت‌کننده‌های میانی نیز باشد:

1- در مواردی که طول تیر پیوند کوچکتر یا مساوی 1.6MP/VP بوده و جانها دارای نسبت ارتفاع به ضخامت (h/tw)، بزرگ‌تر یا مساوی 0.67-E-RyFy باشند. در این گونه موارد فاصله سخت‌کننده‌های میانی نباید بیشتر از 20tw-1-8-d-2tf در نظر گرفته شود.

2- در مواردی که طول تیر پیوند کوچکتر یا مساوی 1.6MP/VP بوده و جانها دارای نسبت ارتفاع به ضخامت (h/tw)، کوچک‌تر از 0.67-E-RyFy باشند. تعبیه سخت‌کننده‌های میانی در طول تیر پیوند الزامی نیست.

3- در مواردی که طول تیر پیوند بزرگتر از 1.6MP/VP باشد، تعبیه سخت‌کننده‌های میانی در طول تیر پیوند الزامی نیست.

سخت‌کننده‌های میانی باید در تمام ارتفاع جان تیر پیوند تعبیه شوند و اتصال آن‌ها به هریک از جانها از داخل یا خارج مقطع قوطی شکل مجاز است. اتصال سخت‌کننده‌های انتهایی و میانی داخلی به بال‌های مقطع قوطی شکل الزامی نبوده و باید از طریق جوش به جانهای مقطع تیر پیوند انجام شود ولی اتصال سخت‌کننده‌های انتهایی و میانی خارجی به بال‌های مقطع قوطی شکل الزامی است. اگر اتصال سخت‌کننده‌های انتهایی و میانی به جان تیر پیوند از طریق جوش گوشه برقرار گردد، در این صورت مقاومت موردنیاز اتصال هر یک از سخت‌کننده‌ها به جان تیر پیوند باید حداقل برابر FyAsts در نظر گرفته شود. هم‌چنین اگر اتصال سخت‌کننده‌های انتهایی و میانی خارجی به بال‌های مقطع قوطی شکل از طریق جوش گوشه برقرار گردد، در این صورت مقاومت موردنیاز اتصال هر یک از سخت‌کننده‌های خارجی به هر یک از بال‌های تیر پیوند باید حداقل برابر 1-4-FyAst-αs در نظر گرفته شود که در آن، Fy تنش تسلیم مشخصه فولاد سخت‌کننده‌ها، Ast سطح مقطع عرضی هریک از سخت‌کننده‌ها و αs برابر 1.0 در LRFD و برابر 1.5 در ASD است.

3-5-3-4-3-10 نواحی حفاظت شده

در قاب‌های مهاربندی شده واگرا سرتاسر طول تیر پیوند به عنوان ناحیه حفاظت شده محسوب می‌شود و باید الزامات بند 10-3-2-17 را تأمین نماید.

6-3-4-3-10 اتصالات
1-6-3-4-3-10 جوش‌های بحرانی لرزه‌ای

در قاب‌های مهاربندی شده واگرا جوش‌های زیر به عنوان جوش بحرانی لرزه‌ای محسوب می‌شوند و باید الزامات بند 10-3-2-1-6-ب را برآورده نمایند:

الف) جوش شیاری در وصله‌های ستون

ب) جوش‌های اتصال ستون به کف ستون

استثناء: در صورتی که آزمایش‌ها یا تحلیل‌ها نشان دهند که امکان تشکیل مفاصل پلاستیک در پای ستون یا در نزدیکی آن وجود ندارد و ضمن تحت اثر ترکیبات بارگذاری شامل زلزله تشدید یافته در پای ستون بر کنش محتمل نیست، جوش‌های این اتصال می‌توانند بحرانی لرزه‌ای محسوب نشوند.

پ) جوش‌های اتصال تیر به ستون که الزامات بخش 10-3-4-3-6-2 بند (پ) را تأمین می‌کنند.

ت) جوش‌های اتصال بالها و جان تیر پیوند به ستون برای تیرهای پیوند متصل به ستون

ث) جوش‌های اتصال جان تیر پیوند ساخته شده از ورق به بالها

2-6-3-4-3-10 اتصالات تیرهای خارج از ناحیه پیوند به ستون

اتصالات تیرهای خارج از ناحیه تیر پیوند به ستون باید دارای شرایط زیر باشند.

در قاب‌های مهاربندی شده واگرا اگر اتصال ورق گاست (ورق اتصال) هم به تیر و هم به ستون صورت گیرد، در این صورت اتصال تیر به ستون باید مطابق یکی از حالتهای زیر باشد:

الف) پیکربندی اتصال مطابق ضوابط بند 10-2-9-1-2 به صورت یک اتصال ساده (مفصلی) باشد به نحوی که حداقل 0.025 رادیان قابلیت دوران داشته باشد.

ب) پیکربندی اتصال به صورت یک اتصال گیردار باشد و مقاومت خمشی موردنیاز اتصال که باید همراه با مقاومت‌های موردنیاز اتصال مهاربندها در نظر گرفته شود، حداقل برابر کوچکترین دو مقدار زیر باشد:

1- حداکثر مقاومت خمشی مورد انتظار تیر برابر 1.1RyMPs است، که در آن MP برابر لنگر پلاستیک مقطع تیر، Ry برابر نسبت تنش تسلیم مورد انتظار به تنش تسلیم مشخصه فولاد تیر و مقدار αs برابر 1.0 در LRFD و برابر 1.5 در ASD است.

2- مجموع حداکثر مقاومت خمشی مورد انتظار ستون‌های بالا و پایین اتصال برابر 1.1(ΣRyFyZ)/αs است که در آن Z برابر اساس مقطع پلاستیک مقطع ستون، Ry برابر نسبت تنش تسلیم مورد انتظار به تنش تسلیم مشخصه فولاد ستون، Fy برابر تنش تسلیم مشخصه فولاد ستون و مقدار αs برابر 1.0 در LRFD و برابر 1.5 در ASD است.

پ) اتصال تیر به ستون به صورت یک اتصال صلب خمشی مطابق الزامات اتصالات گیردار در قاب‌های خمشی معمولی طراحی شود.

3-6-3-4-3-10 اتصال اعضای مهاربندی

در قاب‌های مهاربندی شده واگرا اتصالات اعضای مهاربندی باید دارای شرایط زیر باشند:

1- در صورتی که تیر پیوند به ستون متصل نباشد، اتصالات اعضای مهاربندی می‌توانند به صورت مفصلی یا گیردار طراحی شوند.

2- در صورتی که تیر پیوند به ستون متصل باشد، اتصالات اعضای مهاربندی باید به صورت صلب (گیردار کامل) طراحی شوند.

در هر دو حالت فوق مقاومت‌های موردنیاز اتصالات اعضای مهاربندی می‌تواند بر اساس بزرگترین مقدار از بین نیروهای حاصل از ترکیبات بارگذاری متعارف و نیروهای حاصل از الزامات بند 10-3-4-3-3 در نظر گرفته شود. اگر اتصال اعضای مهاربندی از نوع پیچی و با سوراخ‌های بزرگ شده باشد، در این صورت مقاومت موردنیاز مربوط به حالت حدی لغزش بحرانی نباید از نیروهای ناشی از ترکیبات بارگذاری شامل زلزله تشدید یافته (ΩoE) کمتر در نظر گرفته شود.

4-6-3-4-3-10 اتصالات تیرهای پیوند به ستون

اتصالات تیرهای پیوند به ستون باید دارای شرایط زیر باشند:

الف) اتصالات تیرهای پیوند به ستون باید به صورت صلب (گیردار کامل) طراحی شوند.

ب) اتصالات تیرهای پیوند به ستون باید مطابق الزامات بند 10-3-4-3-4-1 توانایی دوران غیرالاستیک تیر پیوند را بدون کاهش مقاومت دارا باشند.

پ) مقاومت برشی موردنیاز اتصال تیر پیوند به ستون باید حداقل برابر RyVns باشد که در آن، Vn مقاومت برشی اسمی تیر پیوند مطابق الزامات بند 10-3-4-3-5-2-ب، Ry نسبت تنش تسلیم مورد انتظار به تنش تسلیم مشخصه فولاد تیر پیوند و αs برابر 1.0 در LRFD و برابر 1.5 در ASD است.

ت) مقاومت خمشی موردنیاز اتصال تیر پیوند به ستون باید برابر کوچکترین دو مقدار MPs و eVns در نظر گرفته شود که در آن MP لنگر پلاستیک مقطع تیر پیوند، Vn مقاومت برشی اسمی تیر پیوند مطابق الزامات بند 10-3-4-3-3 و مقدار αs برابر 1.0 در LRFD و برابر 1.5 در ASD است.

7-3-4-3-10 وصله ستون

وصله ستون‌ها باید الزامات بند 10-3-2-12 را تأمین نمایند. وصله مستقیم ستون‌ها باید با استفاده از جوش شیاری با نفوذ کامل انجام شود. وصلۀ غیرمستقیم ستون‌ها می‌تواند از نوع جوشی یا پیچی باشد. در هر حال مقاومت خمشی موردنیاز وصله‌های غیرمستقیم نباید از Mp mins و مقاومت برشی موردنیاز آن‌ها نباید از (ΣMp)/(αsHc) کمتر در نظر گرفته شود، که در آن:

Mp min = لنگر پلاستیک کوچک‌ترین مقطع وصله شونده ستون

ΣMP = مجموع لنگرهای پلاستیک دو انتهای ستون در طبقه موردنظر

αs = برابر 1.0 در روش LRFD و برابر 1.5 در روش ASD

Hc = ارتفاع خالص ستون (فاصله خالص بین بال تحتانی تیر فوقانی و روی دال بتنی تیر تحتانی در طبقه موردنظر و در صورت عدم وجود دال بتنی سازه‌ای، فاصله خالص بین بال تحتانی تیر فوقانی و بال فوقانی تیر تحتانی در طبقه موردنظر)

تبصره: در هر حال مقاومت محوری موجود وصله هر جزء مقطع ستون (بدون در نظر گرفتن آثار لنگر خمشی)، نباید از RyFybitis کمتر در نظر گرفته شود که در آن:

Ry = نسبت تنش تسلیم مورد انتظار به تنش تسلیم مشخصه فولاد ستون

Fy = تنش تسلیم مشخصه فولاد ستون

bi = پهنای جزء ستون کوچکتر وصله شونده

ti = ضخامت جزء ستون کوچکتر وصله شونده

αs = برابر 1.0 در روش LRFD و برابر 1.5 در روش ASD

4-4-3-10 الزامات لرزه‌ای مهاربندهای کمانش تاب (BRBF)
1-4-4-3-10 الزامات عمومی

قاب‌های مهاربندی شده با مهاربندهای کمانش تاب (BRBF) به قاب‌هایی گفته می‌شوند که از آن‌ها انتظار تغییرشکل‌های فرا ارتجاعی قابل ملاحظه‌ای از طریق تسلیم هسته فولادی در کشش و فشار تحت اثر نیروی جانبی ناشی از زلزله طرح می‌رود. این نوع قاب‌ها متشکل از اعضای مهاربندی کمانش تاب هستند که به صورت همگرا مورد استفاده قرار می‌گیرند. در این نوع قاب‌ها، فقط پیکربندی‌های قطری و به شکل 7 یا 8 مجاز هستند.

در شکل 10-3-4-4-1 اجزای تشکیل‌دهنده یک مهاربند کمانش تاب نشان داده شده است. مطابق این شکل، هسته فولادی مهاربند کمانش تاب از سه بخش جاری شونده، انتقالی و متصل شونده تشکیل می‌شود. مهاربندهایی می‌توانند به عنوان مهاربند کمانش تاب در نظر گرفته شوند که مطابق الزامات بخش 10-3-9 مورد آزمایش قرار گرفته و صحت عملکرد آن‌ها تأیید شده باشد.

نمونه‌ای از اجزای یک مهاربند کمانش تاب

شکل 10-3-4-4-1: نمونه‌ای از اجزای یک مهاربند کمانش تاب

2-4-4-3-10 مبانی طراحی

در طراحی اعضا و اتصالات قاب‌های مهاربندی شده کمانش تاب، علاوه بر الزامات متعارف فصل‌های 10-1 و 10-2 و نیز الزامات لرزه‌ای عمومی بخش 10-3-2، باید الزامات لرزه‌ای این بخش نیز رعایت شود. در این گونه مهاربندها خروج از مرکزیت کمتر از عمق تیر مجاز است مشروط بر اینکه برآیند نیروهای اعضا و اتصالات در طراحی لحاظ شوند و منبع مورد انتظار ظرفیت تغییرشکل غیرالاستیک تغییر نکند.

طراحی، آزمایش و جزئیات‌بندی عضو مهاربندی باید به نحوی انجام‌پذیرد که تغییرشکل‌های مورد انتظار را تأمین نماید. تغییرشکل‌های مورد انتظار، بیشترین مقدار به دست آمده از بین تغییرمکان جانبی نسبی طبقه معادل 2 درصد ارتفاع طبقه و دو برابر تغییرمکان جانبی نسبی غیرخطی محاسیه شده برای طبقه (2Δm) است که تغییرشکل مهاربند تحت اثر بارهای ثقلی (در صورت وجود) باید به مقدار فوق اضافه گردد. این تغییرشکل باید از طریق مجموع تغییرشکل‌های الاستیک و غیرالاستیک عضو مهاربند تأمین گردد.

1-2-4-4-3-10 مقاومت اصلاح شده مهاربند

مقاومت اصلاح شده مهاربند کمانش تاب باید بر مبنای الزامات این بخش تعیین شود. مطابق این ضوابط، بخش‌های انتقالی و متصل شونده عضو مهاربندی باید قادر به تحمل نیروهای متناظر با مقاومت اصلاح شده مهاربند باشند. مقاومت اصلاح شده مهاربند در فشار برابر βωRyPysc و مقاومت اصلاح شده مهاربند در کشش برابر ωRyPysc است که در آن:

β = ضریب اصلاح مقاومت فشاری

ω = ضریب اصلاح سخت‌شدگی کرنش

Pysc = مقاومت جاری شدن محوری بخش جاری شونده هسته فولادی مهاربند

تبصره: در صورتی که Pysc براساس تنش تسلیم آزمایش کشش استاندارد بر روی فولاد هسته مهاربند تعیین شده باشد، نیازی به اعمال ضریب Ry نیست.

2-2-4-4-3-10 ضرایب اصلاحی β و ω

ضریب اصلاح مقاومت فشاری (β) باید براساس نسبت حداکثر نیروی فشاری به حداکثر نیروی کششی نمونه آزمایش شده، مطابق نتایج آزمون تأیید مهاربندهای کمانش تاب معرفی شده در بخش 10-3-9 در تغییرشکل‌های مورد انتظار مهاربند محاسبه شود. تغییرشکل مورد انتظار مهاربند باید براساس تغییرشکل نسبی طبقه که در بند 10-3-4-4-2 مشخص شده، در نظر گرفته شود. برای تعیین مقدار β باید حداقل دو آزمون انجام شود و بزرگترین مقدار به دست آمده از این دو آزمون به عنوان مقدار ضریب اصلاحی در نظر گرفته شود. مقدار β درهرحال نباید کوچکتر از 1.0 در نظر گرفته شود.

ضریب اصلاح سخت شوندگی کرنش (ω) باید براساس نسبت مقاومت کششی حداکثر نمونه آزمایش شده مطابق آزمون تأیید مهاربندهای کمانش تاب معرفی شده در بخش 10-3-9 در تغییرشکل‌های مورد انتظار، به مقاومت تسلیم اندازه‌گیری شده نمونه آزمایشی (Pysc) محاسبه شود. برای تعیین مقدار ω باید حداقل دو آزمون انجام شود و بزرگترین مقدار به دست آمده از این دو آزمون به عنوان مقدار ضریب اصلاحی در نظر گرفته شود. در صورتی که فولاد هسته مرکزی نمونه آزمایش شده با مهاربند اصلی سازگار نباشد، ضریب اصلاحی ω باید براساس آزمایش کششی استاندارد بر روی مصالح هسته مهاربند در نظر گرفته شود.

3-4-4-3-10 الزامات تحلیل

مقاومت موردنیاز ستون‌ها، تیرها و اتصالات مهاربندهای کمانش تاب، باید براساس نیروی زلزله محدود به ظرفیت هسته مهاربند (Ecl) تعیین شود.

تبصره: برای انجام این تحلیل می‌توان ابتدا حرکت جانبی قاب را مقید نمود؛ سپس اعضای مهاربندی را از مدل تحلیلی حذف نموده و در اتصال دو انتهای آن‌ها مقاومت‌های اصلاح شده این اعضا که بر ضریب αs تقسیم شده‌اند، را به مدل تحلیلی اعمال کرد و پس از آن در حضور بارهای ثقلی (با ضرایب بار مربوطه)، سازه را مورد تحلیل و طراحی قرار داد. مقدار αs برابر 1.0 در LRFD و برابر 1.5 در ASD است.

4-4-4-3-10 الزامات سیستم
1-4-4-4-3-10 مهاربندهای 7 یا 8

قاب‌های مهاربندی شده با مهاربندهای کمانش تاب و از نوع 7 یا 8 باید دارای شرایط زیر باشند:

الف) تیرهای واقع در دهانه‌های مهاربندی شده باید در حدفاصل ستون‌ها پیوسته باشند.

ب) مقاطع تیرهای واقع در دهانه‌های مهاربندی شده باید از نوع فشرده لرزه‌ای با محدودیت نسبت پهنا به ضخامت برابر λmd مطابق مقادیر جدول 10-3-4 باشند.

پ) مقاومت موردنیاز تیرهای دهانه‌های مهاربندی شده و اتصالات و اعضای نگهدارنده آن‌ها باید براساس الزامات بند 10-3-4-4-3 تعیین شود.

ت) تیرهای دهانه‌های مهاربندی شده باید دارای مهار جانبی کافی برای جلوگیری از کمانش جانبی – پیچشی باشند. برای این منظور در محل اتصال مهاربندها به تیر تعبیه مهار جانبی الزامی است، مگر آنکه تیر بدون مهار جانبی دارای مقاومت خارج از صفحه و سختی کافی برای تأمین پایداری در بین دو انتهای مهارشده، باشد.

2-4-4-4-3-10 مهاربندهای به شکل K

در قاب‌های مهاربندی شده کمانش تاب، استفاده از مهاربندهای به شکل K مجاز نیست.

3-4-4-4-3-10 توزیع نیروی جانبی

در صورتی که در طبقه‌ای از ساختمان، در هر خط مهاربندی مقدار ضریب اصلاح مقاومت فشاری (β)، معرفی شده در بند 10-3-4-4-2-1، از 1.3 بیشتر باشد، مهاربندهای آن طبقه باید به شکلی پیکربندی شوند که در هر راستای بارگذاری حداقل 30 درصد و حداکثر 70 درصد نیروی جانبی سهم آن محور، توسط مهاربندهای کششی تحمل شود، مگر آن که در آن طبقه مهاربندهای فشاری دارای مقاومت موجودی بیش از آنچه تحلیل سازه برای ترکیبات بارگذاری شامل زلزله تشدیدیافته نشان می‌دهد، باشند. در این بند منظور از خط مهاربندی، یک یا چند محور مهاربندی شده مستقیم موازی است که کمتر از 10 درصد بعد ساختمان در پلان، در جهت عمود بر محورها، از یکدیگر فاصله داشته باشند.

5-4-4-3-10 اعضا
1-5-4-4-3-10 الزامات تیرها و ستون‌ها

تیرها و ستون‌های واقع در دهانه‌های مهاربندی شده باید از نوع فشرده لرزه‌ای با محدودیت نسبت پهنا به ضخامت برابر λmd مطابق مقادیر جدول 10-3-4 باشند.

2-5-4-4-3-10 الزامات عمومی اعضای مهاربندی

مهاربندهای کمانش تاب باید از هسته فولادی و سیستم محدود کننده کمانش تشکیل شوند. سیستم محدود کننده کمانش بخشی از عضو مهاربندی است که به صورت غلاف در پیرامون هسته فولادی تعبیه می‌شود. هم‌چنین این نوع مهاربندها باید الزامات زیر را تأمین نمایند:

1- ورق‌های مورد استفاده در هسته فولادی در صورتی که دارای ضخامت 50 میلی‌متر یا بیشتر باشند، باید ضوابط حداقل طاقت شیاری مطابق بند 10-3-2-1-5 را تأمین کنند.

2- در هسته فولادی، استفاده از وصله ممنوع است.

3- سیستم محدود کننده کمانش نباید مشارکت مؤثری در انتقال نیروی محوری داشته باشد. برآورده شدن این الزام از طریق آزمون‌های تأیید مطابق بخش 10-3-9 مشخص می‌شود.

4- سیستم محدود کننده کمانش باید از کمانش کلی و موضعی هسته فولادی در تغییرشکل‌های مورد انتظار جلوگیری نماید. برآورده شدن این الزام نیز از طریق آزمون‌های تأیید مطابق بخش 10-3-9 مشخص می‌شود.

3-5-4-4-3-10 مقاومت محوری اعضای مهاربندی

الف) مقاومت محوری موردنیاز اعضای مهاربندی

مقاومت محوری موردنیاز اعضای مهاربندی باید براساس ترکیبات بارگذاری متعارف تعیین شود. هسته فولادی باید دارای مقاومت موجود کافی حداقل برابر مقاومت محوری موردنیاز عضو مهاربندی باشد.

ب) مقاومت محوری موجود اعضای مهاربندی مقاومت محوری موجود اعضای مهاربندی در طراحی به روش LRFD در کشش و فشار برابر ϕPysc و در طراحی به روش ASD برابر Psc/Ω بوده و به شرح زیر تعیین می‌شود:

(1-4-4-3-10) 10-3-4-4-1

در رابطه فوق:

Asc = سطح مقطع بخش جاری شونده هسته فولادی

Fys = تنش تسلیم مشخصه فولاد هسته یا تنش تسلیم واقعی هسته براساس آزمایش کشش استاندارد

4-5-4-4-3-10 آزمایش انطباق اعضای مهاربندی

طراحی مهاربندها باید براساس آزمایش‌های چرخهای ارزیابی کفایت مطابق روش و ضوابط پذیرش بخش 10-3-9 انجام‌پذیرد. ارزیابی، حداقل بر مبنای دو آزمایش چرخه‌ای موفق انجام می‌شود که یک آزمایش بر روی قاب مهاربندی شده، با رعایت دوران موردنیاز اتصال مهاربند مطابق ضوابط بخش 10-3-9 و آزمایش دیگر بر روی مهاربند تنها یا باز به صورت قاب مهاربندی شده مطابق بخش 10-3-9 صورت می‌گیرد. نتایج مورد ارزیابی می‌تواند براساس یکی از دو روش زیر به دست آید:

الف) آزمایش‌هایی که در پژوهش‌های معتبر انجام و گزارش شده، یا به صورت مدوّن بر روی مهاربندهای پروژه‌های دیگری انجام و گزارش شده‌اند.

ب) آزمایش‌هایی که به طور خاص برای پروژه حاضر انجام می‌شوند.

تبصره: درون یابی نتایج آزمایش برای اندازه‌های مختلف اعضا، باید براساس قضاوت‌های منطقی انجام شود. در این قضاوت‌ها باید توزیع تنش و مقادیر کرنش‌های داخلی با نتایج آزمایش سازگار بوده و آثار نامطلوب تغییر خصوصیات مصالح ملاحظه شده باشند.

5-5-4-4-3-10 نواحی حفاظت شده

نواحی حفاظت شده مهاربند کمانش تاب شامل هسته فولادی مهاربند و اجزای اتصال دهنده و وسایل اتصال آن به تیرها و ستون‌ها است که باید الزامات بخش 10-3-2-17 را برآورده نماید.

6-4-4-3-10 اتصالات اعضای واقع در دهانه‌های مهاربندی شده
1-6-4-4-3-10 جوش‌های بحرانی لرزه‌ای

در این نوع قاب‌های مهاربندی شده، جوش‌های زیر، بحرانی لرزه‌ای تلقی می‌شوند و باید ضوابط بخش 10-3-2-1-6-ب را برآورده نمایند:

الف) جوش شیاری وصله ستون‌ها

ب) جوش اتصال ستون‌ها به کف ستون‌ها. در صورتی که بتوان نشان داد از تشکیل مفصل پلاستیک در پای ستون یا نزدیک آن با توجه به شرایط ستون (مثلاً درگیر شدن آن با دیوارهای بتنی حائل خاک در زیر زمین) ممانعت شده یا در پای ستون در حضور بار لرزه‌ای تشدید یافته کشش خالص ایجاد نمی‌شود، می‌توان این جوش را بحرانی لرزه‌ای در نظر نگرفت.

ج) جوش‌های اتصالات تیر به ستون که ضوابط بند 10-3-4-4-6-2-پ را برآورده می‌کنند.

2-6-4-4-3-10 اتصالات تیر به ستون در دهانه‌های مهاربندی شده

در قاب‌های مهاربندی شده با مهاربندهای کمانش تاب، اگر ورق گاست (ورق اتصال مهاربند) هم به تیر و هم به ستون متصل گردد، در این صورت اتصال تیر به ستون باید مطابق یکی از حالتهای زیر باشد:

الف) پیکربندی اتصال مطابق ضوابط بند 10-2-9-1-2 به صورت یک اتصال ساده (مفصلی) باشد به نحوی که حداقل 0.025 رادیان قابلیت دوران داشته باشد.

ب) پیکربندی اتصال به صورت یک اتصال گیردار باشد و مقاومت خمشی موردنیاز اتصال که باید همراه با مقاومت‌های موردنیاز اتصال مهاربندها در نظر گرفته شود، حداقل برابر کوچکترین دو مقدار زیر باشد:

1- حداکثر مقاومت خمشی مورد انتظار تیر برابر 1.1PyMPs که در آن MP لنگر پلاستیک مقطع تیر، Ry برابر نسبت تنش تسلیم مورد انتظار به تنش تسلیم مشخصه فولاد تیر و مقدار αs برابر 1.0 در LRFD و برابر 1.5 در ASD است.

2- مجموع حداکثر مقاومت خمشی مورد انتظار ستون‌های بالا و پایین اتصال تیر به ستون برابر 1.1(ΣRyFyZ)/αs که در آن Z برابر اساس مقطع پلاستیک مقطع ستون، Ry برابر نسبت تنش تسلیم مورد انتظار به تنش تسلیم مشخصه فولاد ستون، و برابر تنش تسلیم مشخصه فولاد ستون و مقدار αs برابر 1.0 در LRFD و برابر 1.5 در ASD است.

پ) اتصال تیر به ستون به صورت یک اتصال صلب خمشی مطابق الزامات اتصالات گیردار در قاب‌های خمشی معمولی طراحی شود.

3-6-4-4-3-10 اتصالات اعضای مهاربندی

الف) مقاومت موردنیاز

به دنبان مقاومت موردنیاز اتصالات مهاربند در کشش و فشار باید برابر مقاومت اصلاح شده مهاربند تقسیم بر αs در نظر گرفته شود که مقاومت اصلاح شده مهاربند مطابق بخش 10-3-4-4-3-1 محاسبه می‌شود. در صورتی که برای پیچ‌های اتصال از سوراخ‌های بزرگ شده استفاده شده باشد، مقاومت موردنیاز نظیر حالت حدى لغزش پیچ‌ها می‌تواند برابر Pyscs در نظر گرفته شود.

ب) الزامات ورق اتصال

در صورتی که در آزمایش مهاربندهای کمانش تاب در محل اتصال عضو مهاربندی از مهار جانبی عرضی استفاده شده باشد، در طراحی و جزئیات‌بندی ورق اتصال باید نیروی مهار عرضی که از آزمایش به دست می‌آید، در نظر گرفته شود. تأمین این الزام می‌تواند از طریق تعبیه سخت‌کننده یا مهار عرضی صورت گیرد.

4-6-4-4-3-10 وصله ستون‌ها

وصله ستون‌ها باید الزامات بند 10-3-2-12 را تأمین نمایند. وصله مستقیم ستون‌ها باید با استفاده از جوش شیاری با نفوذ کامل انجام شود. وصلۀ غیرمستقیم ستون‌ها می‌تواند از نوع جوشی یا پیچی باشد. در هر حال مقاومت خمشی موردنیاز وصله‌های غیرمستقیم نباید از از MP mins و مقاومت برشی موردنیاز آن‌ها نباید از (ΣMp)/(αsHc) کمتر در نظر گرفته شود که در آن:

MP min = لنگر پلاستیک کوچکترین مقطع وصله شونده ستون

ΣMp = مجموع لنگرهای پلاستیک دو انتهای ستون در طبقه موردنظر

αs = برابر 1.0 در روش LRFD و برابر 1.5 در روش ASD

Hc = ارتفاع خالص ستون (فاصله خالص بین بال تحتانی تیر فوقانی و روی دال بتنی تیر تحتانی در طبقه موردنظر و در صورت عدم وجود دال بتنی سازه‌ای، فاصله خالص بین بال تحتانی تیر فوقانی و بال فوقانی تیر تحتانی در طبقه موردنظر)

تبصره: درهرحال مقاومت محوری موجود وصله هر جزء مقطع ستون (بدون در نظر گرفتن آثار لنگر خمشی)، نباید از RyFybitis کمتر در نظر گرفته شود که در آن:

Ry = نسبت تنش تسلیم مورد انتظار به تنش تسلیم مشخصه فولاد ستون

Fy = تنش تسلیم مشخصه فولاد ستون

bi = پهنای جزء ستون کوچکتر وصله شونده

ti = ضخامت جزء ستون کوچکتر وصل شونده

5-4-3-10 الرامات لرزه‌ای دیوارهای برشی فولادی ویژه (SPSW)
1-5-4-3-10 الزامات عمومی

این بخش به الزامات دیوارهای برشی فولادی ویژه (SPSW) می‌پردازد. دیوار برشی فولادی ویژه از ورق‌های فولادی نازک سخت نشده (صفحه دیوار) که به اجزای مرزی قائم و افقی پیرامون خود (تیرها و ستون‌ها) متصل می‌گردند، تشکیل می‌شود. مطابق شکل 10-3-4-5-1، کلیه اجزای مرزی افقی (تیرهای بالا و پایین صفحات دیوار) با اتصالات گیردار که قادر به تحمل لشگر پلاستیک اجزای مرزی افقی هستند، باید به اجزای مرزی قائم (ستون‌های در کنار صفحه دیوار) متصل شوند.

پیکربندی دیوار برشی فولادی ویژه

شکل 10-3-4-5-1: پیکربندی دیوار برشی فولادی ویژه

2-5-4-3-10 مبانی طراحی

دیوارهای برشی فولادی ویژه که بر اساس الزامات این بخش طراحی می‌شوند، به واسطه جاری شدن ورق جان و تشکیل مفاصل پلاستیک در انتهای اجزای مرزی افقی، از ظرفیت تغییرشکل فرا ارتجاعی قابل ملاحظه‌ای برخوردار خواهند بود. از اجزای مرزی قائم انتظار جاری شدن تحت اثر برش و خمش نمی‌رود، به جز در پای ستون‌ها که انتظار جاری شدن آن‌ها در خمش وجود دارد.

جاری شدن صفحه دیوار با تشکیل عمل میدان کششی در زاویای حدوداً 45 درجه نسبت به امتداد قائم و کمانش خارج از صفحه ورق همراه است. طراحی و تعیین ابعاد اجزای مرزی قائم و افقی باید به نحوی صورت پذیرد که تشکیل میدان کشش در صفحه دیوار را امکان‌پذیر سازد.

3-5-4-3-10 الزامات تحلیل

در تحلیل این نوع سیستم‌های باربر جانبی، رعایت ضوابط زیر الزامی است:

الف) ورق دیوار برشی فولادی ویژه نباید در باربری ثقلی مؤثر در نظر گرفته شود.

ب) بارگذاری و تحلیل لرزه‌ای سازه‌ای که دارای دیوار برشی فولادی ویژه است، باید بر مبنای ضوابط استاندارد 2800 انجام‌پذیرد. در این تحلیل، مقاومت برشی موردنیاز ورق دیوار باید برابر 100 درصد برش سهم دیوار و قاب پیرامون آن در نظر گرفته شود. مقاومت موردنیاز قاب را تشکیل شده از اجزای مرزی قائم و افقی به تنهایی، نباید از 25 درصد برش مذکور کمتر باشد.

پ) مقاومت موردنیاز اجزای مرزی افقی و قائم و اتصالات آن‌ها باید با استفاده از نیروی زلزله محدود به ظرفیت ورق دیوار (Ecl) تعیین شود. آثار نیروی زلزله محدود به ظرفیت ورق دیوار (Ecl) باید به وسیله تحلیلی که در آن فرض شده تمام ورق‌های دیوار نیرویی نظیر مقاومت کششی مورد انتظار خود را در واحد طول (RyFytws) با یک زاویه a (که تعریف آن در بند 10-3-4-5-5 آمده است) و اجزای مرزی افقی لنگرهای خمشی معادل 1.1RyMP/α را در هر انتهای دیوار تحمل می‌کنند، تعیین شود که در آن:

Ry = نسیت تنش تسلیم مورد انتظار به تنش تسلیم مشخصه فولاد موردنظر

MP = لنگر پلاستیک مقطع جزء مرزی افقی

tw = ضخامت ورق دیوار

αs = برابر 1.0 در روش LRFD و برابر 1.5 در روش ASD

در تحلیل (پ)، در تعیین نیروی کششی ورق دیوار تأثیر بارهای ثقلی در نظر گرفته نمی‌شود. در این تحلیل تنش جاری شدن مورد انتظار ورق دیوار باید برابر RyFy و تنش کششی مؤثر مورد انتظار برای دیوارهای برشی سوراخ‌دار باید مطابق با ضوابط بند 10-3-4-5-7-1-ت در نظر گرفته شود. در این تحلیل نیروی برشی به دست آمده از رابطه 10-3-3-1-1 باید مدنظر قرار گیرد. توجه شود در بعضی از موارد ممکن است نیروهای به دست آمده از تحلیل براساس ترکیبات متعارف بارگذاری، بر طراحی اجزای مرزی افقی حاکم شوند. هم‌چنین توجه شود، مقادیر نیروهای برشی در تیرها و ستون‌ها احتمالاً زیاد خواهند بود و جاری شدن در برش باید مورد ارزیابی قرار گیرد.

4-5-4-3-10 الزامات سیستم
1-4-5-4-3-10 سختی اجزای مرزی

سختی اجزای مرزی افقی و قائم باید چنان باشد که تمام ورق دیوار در مقادیر تغییرمکان جانبی نسبی طرح طبقه، به حد جاری شدن خود برسند. علاوه بر آن، اجزای مرزی افقی و قائم باید الزامات زیر را تأمین نمایند:

– ممان اینرسی اجزای مرزی قائم (Ic) حول محور عمود بر صفحه دیوار نباید از 0.0031twh4/L کمتر باشد.

– ممان اینرسی اجزای مرزی افقی (Ib) حول محور عمود بر صفحه دیوار نباید از 0.0031(tw2-tw1)L4/h کمتر باشد.

در روابط فوق:

L = فاصله مرکز تا مرکز اجزای مرزی قائم

h = فاصله مرکز تا مرکز اجزای مرزی افقی

tw1 = ضخامت ورق دیوار در پایین جزء مرزی افقی

tw2 = ضخامت ورق دیوار در بالای جزء مرزی افقی

Ic = ممان اینرسی جزء مرزی قائم حول محور اصلی عمود بر صفحه دیوار

Ib = ممان اینرسی جزء مرزی افقی حول محور اصلی عمود بر صفحه دیوار

2-4-5-4-3-10 نسبت لنگر خمشی اجزای مرزی قائم به افقی در محل اتصال

در کلیه گره‌های اتصالات اجزای مرزی افقی به قائم باید مطابق بند 10-3-3-3-6 ضابطۀ نسبت لنگر خمشی ستون به تیر در قاب‌های خمشی ویژه رعایت شود. در کنترل این ضابطه باید از ورق دیوار صرفنظر شود.

3-4-5-4-3-10 مهار جانبی

اجزای مرزی افقی باید مطابق بند 10-3-2-8-1، ضوابط مهارهای جانبی تیرها در قاب‌های خمشی متوسط را برآورده نمایند.

5-5-4-3-10 الزامات اعضا
1-5-5-4-3-10 الزامات عمومی

اجزای مرزی افقی و قائم باید مطابق بند 10-3-2-7، الزامات مربوط به کمانش موضعی برای اعضای با شکل‌پذیری زیاد را رعایت نمایند.

2-5-5-4-3-10 ورق‌های دیوار

مقاومت برشی موجود هر چشمه ورق دیوار در روش LRFD برابر ϕvVn و در روش ASD برابر Vnv بوده و براساس حالت حدی تسلیم در برش به شرح زیر تعیین می‌شود:

(1-5-4-3-10) 10-3-4-5-1

که در آن:

Lcf = پهنای ورق دیوار برابر فاصله آزاد بین بال‌های اجزای مرزی قائم

tw = ضخامت ورق دیوار

α = زاویه تسلیم ورق دیوار نسبت به محور قائم. این زاویه را می‌توان 45 درجه در نظر گرفت یا آن را از رابطه زیر به دست آورد:

(2-5-4-3-10) 10-3-4-5-2

h = فاصله مرکز تا مرکز اجزای مرزی افقی

L = فاصله مرکز تا مرکز اجزای مرزی قائم

Ab = سطح مقطع جزء مرزی افقی

Ac = سطح مقطع جزء مرزی قائم

Ic = ممان اینرسی جزء مرزی قائم حول محور اصلی عمود بر صفحه دیوار

تبصره: در صورتی که در یک چشمه اجزای مرزی قائم مشابه نباشند، در رابطه فوق می‌توان از متوسط سطح مقطع و ممان اینرسی اجزای مرزی قائم و نیز در صورتی که در یک چشمه اجزای مرزی افقی مشابه نباشند، در رابطه فوق می‌توان از متوسط سطح مقطع اجزای مرزی افقی استفاده کرد.

3-5-5-4-3-10 اجزای مرزی افقی

اجزای مرزی افقی باید به نحوی طراحی شوند که مانع تسلیم خمشی آن‌ها به جز در نواحی نزدیک اتصال تیر به ستون شوند. برای این منظور یکی از شرایط زیر باید تأمین شود:

الف) مقاومت موجود جزء مرزی افقی بیش از دو برابر لنگر خمشی تیر ساده‌ای باشد که تحت اثر بارهای ثقلی (با ضرایب بار مربوطه) و جاری شدن ورق دیوار (Fys) قرار گرفته است. مقدار αs برابر 1.0 در LRFD و برابر 1.5 در ASD است.

ب) مقاومت موجود جزء مرزی افقی با فرض اتصال آن از نوع تیر با مقطع کاهش یافته با مقدار c=0.25bf، مطابق بند 10-3-7-2 بیش از لنگر خمشی تیر سادهای باشد که تحت اثر بارهای ثقلی (با ضرایب بار مربوطه) و جاری شدن ورق دیوار (Fys) قرار گرفته است.

4-5-5-4-3-10 ناحیه حفاظت شده

نواحی حفاظت شده دیوارهای برشی فولادی ویژه که باید ضوابط بخش 10-3-2-17 را تأمین نماید، شامل موارد زیر است:

الف) ورق صفحه دیوار

ب) اجزای متصل کننده صفحه دیوار به اجزای مرزی قائم و افقی

پ) نواحی تشکیل مفصل پلاستیک در دو انتهای اجزای مرزی افقی که طول آن از بر ستون شروع و به اندازه ارتفاع تیر، امتداد می‌یابد. به جای طول فوق می‌توان از طولی که در قاب‌های خمشی ویژه مشخص شده است، استفاده کرد.

6-5-4-3-10 اتصالات
1-6-5-4-3-10 جوش‌های بحرانی لرزه‌ای

در دیوارهای برشی فولادی ویژه جوش‌های زیر، جوش‌های بحرانی لرزه‌ای محسوب می‌شوند و باید الزامات بند 10-3-2-1-6-ب را برآورده نمایند:

الف) جوش‌های شیاری وصله ستون‌ها (اجزای مرزی قائم)

ب) جوش‌های اتصال ستون به کف ستون

استثناء: در صورتی که آزمایش‌ها یا تحلیل‌ها نشان دهند که امکان تشکیل مفاصل پلاستیک در پای ستون یا در نزدیکی آن وجود ندارد و ضمناً تحت اثر ترکیبات بارگذاری شامل زلزله تشدید یافته در پای ستون بر کنش محتمل نیست، جوش‌های این اتصال می‌توانند بحرانی لرزه‌ای محسوب نشوند.

پ) جوش‌های اتصال اجزای مرزی افقی به قائم

2-6-5-4-3-10 اتصالات اجزای مرزی افقی به قائم

اتصالات اجزای مرزی افقی به قائم باید الزامات اتصالات قاب‌های خمشی معمولی موضوع بند 10-3-3-1-4 را تأمین نمایند. ضمنأ الزامات زیر نیز باید تأمین شوند:

الف) مقاومت موردنیاز

مقاومت برشی موردنیاز اتصال اجزای مرزی افقی به قائم باید با استفاده از آثار ناشی از زلزله محدود به ظرفیت (Ecl) تعیین شود. آثار ناشی از زلزله محدود به ظرفیت (Ecl) معادل برش محاسبه شده از رابطه 10-3-3-1-1 به علاوه برش حاصل از مقاومت کششی تسلیم مورد انتظار در اثر جاری شدن ورق دیوار (RyFytws) با زاویه a است که در آن:

Ry = نسبت تنش تسلیم مورد انتظار به تنش تسلیم مشخصه فولاد موردنظر

Fy = تنش تسلیم مشخصه فولاد

tw = ضخامت ورق دیوار

αs = برابر 1.0 در روش LRFD و برابر 1.5 در روش ASD

ب) چشمه اتصال

چشمه اتصال اجزای مرزی قائم در مجاورت اجزای مرزی افقی بالا و پایین صفحه دیوار برشی، باید الزامات برش در چشمه اتصال قاب‌های خمشی ویژه (موضوع بند 10-3-3-3-9) را تأمین نماید.

10-3-4-5-6-3 اتصال ورق دیوار به اجزای مرزی

مقاومت موردنیاز اتصالات ورق دیوار به اجزای مرزی قائم و افقی پیرامون آن باید برابر مقاومت تسلیم مورد انتظار ورق دیوار در کشش (RyFytws) با زاویه a باشد.

3-6-5-4-3-10 وصله ستون‌ها

وصله ستون‌ها باید الزامات بند 10-3-2-12 را تأمین نمایند. وصله مستقیم ستون‌ها باید با استفاده از جوش شیاری با نفوذ کامل انجام شود. وصلۀ غیرمستقیم ستون‌ها می‌تواند از نوع جوشی یا پیچی باشد. در هر حال مقاومت خمشی موردنیاز وصله‌های غیرمستقیم نباید از MPmins و مقاومت برشی موردنیاز آن‌ها نباید از (ΣMp)/(αsHc) کمتر در نظر گرفته شود، که در آن:

MP min = لنگر پلاستیک کوچکترین مقطع وصله شونده ستون

ΣMp = مجموع لنگرهای پلاستیک دو انتهای ستون در طبقه موردنظر

αs = برابر 1.0 در روش LRFD و برابر 1.5 در روش ASD

Hc = ارتفاع خالص ستون (فاصله بین بال تحتانی تیر فوقانی و روی دال بتنی تیر تحتانی در طبقه موردنظر و در صورت عدم وجود دال بتنی سازه‌ای، فاصله بین بال تحتانی تیر فوقانی و بال فوقانی تیر تحتانی در طبقه موردنظر)

تبصره: در هر حال مقاومت محوری موجود وصله هر جزء مقطع ستون (بدون در نظر گرفتن آثار لنگر خمشی)، نباید از RyFybitis کمتر در نظر گرفته شود که در آن:

Ry = نسبت تنش تسلیم مورد انتظار به تنش تسلیم مشخصه فولاد ستون

Fy = تنش تسلیم مشخصه فولاد ستون

bi = پهنای جزء ستون کوچکتر وصل شونده

ti = ضخامت جزء ستون کوچکتر وصله شونده

7-5-4-3-10 دیوارهای برشی فولادی ویژه سوراخ‌دار
1-7-5-4-3-10 آرایش سوراخ‌های دایره‌ای

در دیوارهای برشی فولادی ویژه، استفاده از ورق‌های سوراخ‌دار مطابق با شرایط این بند مجاز است. صفحات سوراخ‌دار دیوار باید دارای یک الگوی سوراخ‌کاری منظم بوده و با فواصل برابر و قطریکسان سوراخ بر روی سطح کامل ورق دیوار آرایش شده باشند. این آرایش باید مطابق شکل 10-3-4-5-4 به صورت قطری با زاویه‌ای یکسان نسبت به امتداد قائم باشد. هم‌چنین در دیوارهای برشی فولادی ویژه سوراخ‌دار باید از حداقل چهار ردیف افقی و چهار ردیف قائم سوراخ استفاده شود. لبه‌های سوراخ باید دارای زبری سطحی حداکثر 0.013 میلی‌متر (13 میکرون) باشند.

این شکل خاص از دیوارهای برشی فولادی ویژه ممکن است برای فراهم نمودن امکان عبور نور و تأسیسات یا در مواردی که ورق‌های نازک برای ساخت دیوار در دسترس نباشند یا کاربرد آن‌ها از نظر اجرائی عملی نباشد، به منظور کاهش مقاومت و سختی دیوار تا حد قابل قبول از نظر طراحی، مورد استفاده قرار گیرند. به این ترتیب، امکان استفاده از دیوارهای برشی فولادی ویژه برای ساختمان‌های با تعداد طبقات کم و متوسط فراهم می‌گردد و از شکل‌گیری نیروهای طراحی بزرگ برای اجزای مرزی قائم و افقی بر مبنای ظرفیت ورق دیوار، جلوگیری می‌شود.

آرایش سوراخ‌ها در دیوارهای برشی فولادی ویژه سوراخ‌دار

شکل 10-3-4-5-2: آرایش سوراخ‌ها در دیوارهای برشی فولادی ویژه سوراخ‌دار

الف) مقاومت موجود ورق

مقاومت برشی موجود هر چشمه دیوار برشی فولادی سوراخ‌دار در روش LRFD برابر ϕvVn و در روش ASD برابر Vnv بوده و براساس حالت حدی تسلیم در برش به شرح زیر تعیین می‌شود:

(3-5-4-3-10) 10-3-4-5-3

که در آن:

D= قطر سوراخ‌ها و Sdiag = کمترین فاصله مرکز تا مرکز بین سوراخ‌ها در امتداد 45 درجه

ب) فواصل سوراخ‌ها فاصله Sdiag باید حداقل 1.67D و حداکثر 4D باشد. فاصله بین مرکز اولین سوراخ و اتصالات صفحه دیوار به اجزای مرزی قائم و افقی نباید کمتر از D و بیشتر از D+0.7Ddiag باشد.

پ) سختی ورق سختی ورق دیوارهای برشی سوراخ‌دار که با آرایش منظمی سوراخ شده‌اند، باید براساس ضخامت مؤثر ورق (teff) محاسبه شود. ضخامت مؤثر ورق (teff) از رابطه زیر تعیین می‌شود:

(4-5-4-3-10) 10-3-4-5-4

که در آن:

Hc = ارتفاع آزاد ستون و ورق دیوار بین بال‌های تیرها

Nr = تعداد ردیف‌های افقی سوراخ کاری

tw = ضخامت ورق دیوار

α = زاویه بین کوتاه‌ترین خط متصل کننده مرکز تا مرکز ردیف قطری سوراخ‌ها با امتداد قائم (درجه)

ت) نیروی کششی مؤثر مورد انتظار نیروی کششی مؤثر مورد انتظار در واحد طول که باید در تعیین مقاومت‌های موردنیاز اجزای مرزی افقی و قائم در برابر نیروی زلزله محدود به ظرفیت (Ec1) مورد استفاده قرار گیرد، برابر با RyFy(1-0.7D/Sdiag)tw است.

2-7-5-4-3-10 بریدن گوشه تقویت شده

در گوشه‌های صفحه دیوار، استفاده از برش‌های ربع دایره مجاز است به شرط آنکه لبه‌های ورق بریده شده به ورق تقویتی قوسی شکلی متصل باشد. ورق‌های گوشه بریده باید طوری طراحی شوند که اجازه رسیدن به مقاومت کامل ورق دیوار یکپارچه را بدهند و مقاومت آن‌ها در اثر تغییرشکل‌های متأثر از تغییرمکان نسبی طرح طبقه حفظ گردد. با رعایت شرایط زیر این هدف تأمین می‌شود:

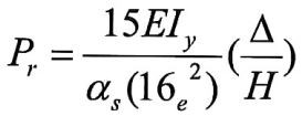
الف) طراحی برای کشش: مقاومت محوری موردنیاز ورق قوسی در کشش، حاصل از کشش ورق دیوار در غیاب سایر نیروها، از رابطه زیر تعیین می‌شود:

(5-5-4-3-10) 10-3-4-5-5

که در آن:

Fy = تنش تسلیم مشخصه فولاد ورق جان

Ry = نسبت تنش تسلیم مورد انتظار به تنش تسلیم مشخصه فولاد ورق

R = شعاع بریدن گوشه

e = پارامتری است که مقدار آن از رابطه e=R(1-2-2) تعیین می‌شود.

اجزای مرزی قائم و افقی باید به نحوی طراحی شوند که نیروهای کششی محوری انتهای تقویت قوسی را تحمل نمایند.

ب) طراحی برای اثر توأم نیروی محوری و لنگر خمشی: مقاومت موردنیاز ورق قوسی تحت اثر توأم نیروی محوری و لنگر خمشی در صفحه دیوار ناشی از تغییرشکل اتصال در غیاب سایر نیروها، از روابط زیر تعیین می‌شود:

(6-5-4-3-10) 10-3-4-5-6
(7-5-4-3-10) Mr=Pre

که در آن:

E = مدول الاستیسیته فولاد

H = ارتفاع طبقه

Iy = ممان اینرسی ورق حول محور y

Δ = تغییرمکان جانبی نسبی طرح طبقه

اجزای مرزی قائم و افقی باید برای تحمل توأم نیروی محوری و لنگر خمشی مؤثر بر انتهای تقویت قوسی طراحی شوند.

همه فصول

مشخصات آیین‌نامه

تعداد فصول: 39 فصل
سال انتشار: 1401
ویرایش: پنجم

جستجو در آیین‌نامه‌ها

ناشرین آیین‌نامه‌ها

مقررات ملی ساختمان

قوانین، آیین‌نامه‌ها، شیوه‌نامه‌ها، دستورالعمل‌ها و بخشنامه‌های ساختمان

نظام مهندسی ساختمان

ضوابط، بخشنامه‌ها، نشریه‌ها و معیار‌های فنی نظام مهندسی ساختمان

مرکز تحقیقات راه، مسکن و شهرسازی

قوانین، آیین‌نامه‌ها و بخشنامه‌های مرکز تحقیقات راه، مسکن و شهرسازی

سازمان برنامه و بودجه کشور

ضوابط، بخشنامه‌ها و قوانین سازمان برنامه و بودجه کشور

سازمان ملی استاندارد ایران

استانداردهای کمیته‌های مختلف سازمان ملی استاندارد ایران

سازمان تامین اجتماعی کشور

مقررات و آیین‌نامه‌های درمانی و بیمه‌ای سازمان تامین اجتماعی کشور

ضوابط فنی و اجرایی شهرداری‌ها

ضوابط، بخشنامه‌ها، نشریه‌ها و معیار‌های فنی شهرداری‌های کشور

ضوابط فنی و اجرایی وزارت بهداشت

ضوابط، بخشنامه‌ها، نشریه‌ها و معیار‌های فنی وزارت بهداشت

ضوابط فنی و اجرایی وزارت نیرو-آبفا

ضوابط، بخشنامه‌ها، نشریه‌ها و معیار‌های فنی وزارت نیرو-آبفا

ضوابط سازمان بنادر و دریانوردی

ضوابط، بخشنامه‌ها، نشریه‌ها و معیار‌های فنی سازمان بنادر و دریانوردی

ضوابط فنی و اجرایی وزارت نفت

ضوابط، بخشنامه‌ها، نشریه‌ها و معیار‌های فنی وزارت نفت

قوانین و مقررات مالیاتی کشور

قوانین، مقررات، ضوابط و دستورالعمل‌هاى مالیاتى سازمان مالیات كشور

تازه‌ترین فصل‌ها

واژه‌نامه

مبحث هفدهم مقررات ملی ساختمان (سامانه گاز طبیعی در ساختمان)

پیوست ۶ دسته‌بندی نوع دستگاه‌‌‌های گازسوز

مبحث هفدهم مقررات ملی ساختمان (سامانه گاز طبیعی در ساختمان)

پیوست 5 شکل‌ها

مبحث هفدهم مقررات ملی ساختمان (سامانه گاز طبیعی در ساختمان)

پیوست 4 جدول‌ها

مبحث هفدهم مقررات ملی ساختمان (سامانه گاز طبیعی در ساختمان)

پیوست 3 ایمنی و ضوابط بهره‌برداری و نگهداری از سیستم لوله‌‌کشی گاز

مبحث هفدهم مقررات ملی ساختمان (سامانه گاز طبیعی در ساختمان)

پیوست 2 نمونه محاسبات

مبحث هفدهم مقررات ملی ساختمان (سامانه گاز طبیعی در ساختمان)

پیوست 1 راهنمای ایمنی

مبحث هفدهم مقررات ملی ساختمان (سامانه گاز طبیعی در ساختمان)