آیین‌نامه‌ها

صفحه اصلی / آیین‌نامه‌ها / مبحث دهم مقررات ملی ساختمان (طرح و اجرای ساختمان‌های فولادی)
3-3-10 الزامات لرزه‌ای قاب‌های خمشی فولادی

3-3-10 الزامات لرزه‌ای قاب‌های خمشی فولادی

1-3-3-10 الزامات لرزه‌ای قاب‌های خمشی معمولی (OMF)

قاب‌های خمشی معمولی (OMF) به قاب‌هایی اطلاق می‌شوند که از آن‌ها انتظار تغییرشکل‌های فرا ارتجاعی حداقلی در برابر نیروی جانبی زلزله می‌رود و به این علت برای طراحی اعضا و اتصالات آن‌ها مقررات تکمیلی حداقلی در نظر گرفته شده است. در طراحی اعضا و اتصالات این نوع قاب‌ها، چنانچه بخشی از سیستم باربر لرزه‌ای سازه باشند، علاوه بر الزامات متعارف فصل‌های 10-1 و 10-2 و نیز الزامات لرزه‌ای عمومی بخش 10-3-2 باید الزامات تکمیلی این بخش نیز رعایت شود.

1-1-3-3-10 الزامات تحلیل

در تحلیل این نوع قاب‌های خمشی رعایت ضابطۀ اضافی، الزامی نیست.

2-1-3-3-10 محدودیت تیرها و ستون‌ها

در قاب‌های خمشی معمولی تیرها و ستون‌ها باید دارای شرایط زیر باشند:

الف) بال‌های تیرها و ستون‌ها باید مطابق ضوابط بخش 10-2-2 این مبحث، فشرده بوده و جان آن‌ها غیرلاغر باشد.

ب) استفاده از ستون‌های با مقطع متشکل از چند نیمرخ بست‌دار مجاز است، مشروط بر آنکه خمش در ستون حول محور با مصالح (عمود بر جانهای مقاطع باشد. )

پ) استفاده از تیرهای با جان سوراخ‌دار و با سوراخ‌های متوالی (لانه زنبوری) به عنوان اعضای باربر جانبی مجاز نیست. در صورت لزوم به ایجاد سوراخ دسترسی در جان تیر، این سوراخ باید در یک سوم میانی طول دهانه تیر قرار گیرد. اطراف سوراخ باید به نحوی تقویت شود که مقاومت برشی و خمشی تیر با احتساب آثار ناشی از خمش ثانویه به طور کامل فراهم گردد.

ت) در دو انتهای تیر در طولی برابر عمق تیر، ایجاد هر گونه تغییر در پهنای بال یا ضخامت بال مجاز نیست. در سایر نواحی تیر، تغییر تدریجی در پهنا یا ضخامت از ورق بزرگتر به ورق کوچکتر، باید با شیب حداکثر 1.0 به 2.5 صورت گیرد.

ث) در تیرهای این نوع قاب، ناحیه‌ای به عنوان حفاظت شده در نظر گرفته نمی‌شود.

3-1-3-3-10 مقاومت‌های موردنیاز و موجود تیر

الف) مقاومت برشی موردنیاز تیر (Vr) باید با استفاده از تعادل استاتیکی بارهای ثقلی (با ضرایب بار مربوطه) که با اثر برش ناشی از نیروی زلزله محدود به ظرفیت مؤلفة خمش در دو انتهای تیر (VEcl) ترکیب می‌شوند، تعیین شود. با توجه به شکل 10-3-3-1-1، مقدار VEcl از رابطه زیر تعیین می‌شود:

(1-1-3-3-10) VEcl=2[1.1RyMp]/(αsLcf)

در رابطه فوق:

Lcf= طول دهانه آزاد تیر

Ry = نسبت تنش تسلیم مورد انتظار به تنش تسلیم مشخص مصالح تیر مطابق مقادیر جدول 10-3-2-1

Mp = لنگر پلاستیک مقطع تیر در محل اتصال تیر به ستون

αs = برابر 1.0 در روش LRFD و برابر 1.5 در روش ASD

تبصره: در کنترل کفایت مقطع تیرهای نوردشده برای تأمین مقاومت برشی موردنیاز، مقاومت برشی موجود آن را که براساس ضوابط بخش 10-2-6 محاسبه می‌شود، می‌توان در Ry ضرب کرد.

ب) در صورتی که مقطع تیر در فاصله بین دو ستون ثابت باشد، مقاومت خمشی موردنیاز تیر صرفاً براساس ترکیبات بارگذاری متعارف تعیین می‌شود و نیازی به کنترل اضافی نیست. در غیراین صورت، علاوه بر آن محاسبات، مقاومت خمشی موردنیاز تیر در طول آن براساس لنگر پلاستیک مقطع تیر در محل اتصال تیر به ستون، با استفاده از تعادل استاتیکی بارهای ثقلی (با ضرایب بار مربوطه) که با اثر برش ناشی از نیروی زلزله محدود به ظرفیت به ترتیبی که در بند (الف) ذکر شد، ترکیب می‌شوند، تعیین می‌گردد. در این حالت در کنترل کفایت مقطع تیر برای تأمین مقاومت خمشی موردنیاز، مقاومت خمشی موجود تیر را که براساس ضوابط بخش 10-2-5 این مبحث محاسبه می‌شود، می‌توان در Ry ضرب کرد.

پ) مقاومت محوری موردنیاز تیر (در صورت وجود) باید براساس ترکیبات بارگذاری متعارف تعیین شود.

نمودار پیکره آزاد تیرهای باربر لرزه‌ای در قاب‌های خمشی معمولی

شکل 10-3-3-1-1: نمودار پیکره آزاد تیرهای باربر لرزه‌ای در قاب‌های خمشی معمولی

4-1-3-3-10 اتصال تیر به ستون

در طراحی اتصالات تیر به ستون و نیز وصله تیرهای این نوع قاب‌های خمشی، محل تشکیل مفصل پلاستیک را می‌توان در محل اتصال تیر به ستون در نظر گرفت. جوش بال تیر یا ورق‌های روسری و زیرسری بال تیر به ستون باید به صورت شیاری با نفوذ کامل انجام شود. ضمناً این جوش، بحرانی لرزه‌ای قلمداد شده و باید ضوابط بند 10-3-2-1-6-ب در مورد آن رعایت شود.

در قاب‌های خمشی معمولی مقاومت‌های موردنیاز اتصال تیر به ستون به شرح زیر تعیین می‌شود:

الف) مقاومت خمشی مورد نیاز اتصال تیر به ستون باید از رابطه زیر تعیین شود:

(2-1-3-3-10) Mr=1.1RyMps

ب) مقاومت برشی موردنیاز (Vr) اتصال تیر به ستون باید با استفاده از تعادل استاتیکی بارهای ثقلی (با ضرایب بار مربوطه) که با اثر برش ناشی از نیروی زلزله محدود به ظرفیت مؤلفة خمش در دو انتهای تیر (VEcl) ترکیب می‌شوند، تعیین شود. برای این منظور می‌توان از ضوابط بند 10-3-3-1-3 استفاده نمود.

پ) مقاومت محوری موردنیاز اتصال تیر به ستون (در صورت وجود) باید براساس ترکیبات بارگذاری متعارف تعیین شود.

5-1-3-3-10 برش در چشمه اتصال

چشمۀ اتصال در برابر برش باید الزامات بند 10-2-9-10 را اقناع نماید که در آن مقاومت برشی موردنیاز این چشمه می‌تواند براساس لنگر خمشی انتهای تیر تحت اثر ترکیبات بارگذاری متعارف تعیین شود.

6-1-3-3-10 ورق‌های پیوستگی

در خصوص ورق‌های پیوستگی (سخت‌کننده‌های عرضی) در مقابل بالهای تیر یا ورق‌های پوششی اتصال بال بالایی و پایینی تیرهای متصل شونده به ستون، الزامات بخش 10-2-9-10 باید با توجه به مقاومت خمشی موردنیاز اتصال تیر به ستون که بر اساس محاسبات بند 10-3-3-1-4 تعیین می‌شود، رعایت شود. ورق‌های پیوستگی باید با استفاده از جوش شیاری با نفوذ کامل یا جوش گوشه دوطرفه به بال ستون متصل شوند.

تبصره: در ستون‌های با مقطع قوطی شکل (HSS) و جعبه‌ای ساخته شده از ورق، تعبیه ورق‌های پیوستگی (سخت‌کننده‌های عرضی) در مقابل بالهای تیر یا ورق‌های روسری و زیرسری متصل به بال ستون، همواره الزامی بوده و ضخامت آن‌ها باید براساس کل مقاومت موردنیاز در وجه ستون و بدون توجه به مقاومت‌های موجود ستون در برابر آن‌ها، تعیین شود.

7-1-3-3-10 وصله ستون‌ها

وصله ستون‌ها باید الزامات بند 10-3-2-12 را تأمین نمایند. وصلة مستقیم ستون‌ها باید با استفاده از جوش شیاری با نفوذ کامل انجام شود. وصلۀ غیرمستقیم ستون‌ها می‌تواند از نوع جوشی یا پیچی باشد. در هر حال مقاومت خمشی موردنیاز وصله‌های غیرمستقیم نباید از MP mins و مقاومت برشی موردنیاز آن‌ها نباید از (αsHc)/(ΣMP) کمتر در نظر گرفته شود که در آن:

MP min = لنگر پلاستیک کوچکترین مقطع وصله شونده ستون

ΣMP = مجموع لنگرهای پلاستیک دو انتهای ستون در طبقه موردنظر

αs = برابر 1.0 در روش LRFD و برابر 1.5 در روش ASD

Hc = ارتفاع خالص ستون (فاصله خالص بین بال تحتانی تیر فوقانی و روی دال بتنی تیر تحتانی در طبقه موردنظر و در صورت عدم وجود دال بتنی سازه‌ای، فاصله خالص بین بال تحتانی تیر فوقانی و بال فوقانی تیر تحتانی در طبقه موردنظر)

تبصره: در هر حال مقاومت محوری موجود وصله هر جزء مقطع ستون (بدون در نظر گرفتن آثار لنگر خمشی)، نباید از Fybitis کمتر در نظر گرفته شود که در آن:

Fy = تنش تسلیم مشخصه فولاد ستون

bi = پهنای جزء ستون کوچکتر وصل شونده

ti = ضخامت جزء ستون کوچکتر وصل شونده

8-1-3-3-10 وصله تیرها

وصله تیرها باید الزامات بند 10-3-2-13 را تأمین نمایند. وصله مستقیم تیرها باید با استفاده از جوش شیاری با نفوذ کامل انجام شود. وصلۀ غیرمستقیم تیرها می‌تواند از نوع جوشی یا پیچی باشد. در این نوع قاب‌های خمشی، مقاومت‌های موردنیاز وصله تیرها باید به شرح زیر در نظر گرفته شود:

الف) مقاومت خمشی موردنیاز

مقاومت خمشی موردنیاز وصله تیرها باید بر اساس لنگر خمشی به دست آمده از پیکره آزاد شکل 10-3-3-1-1 در محل وصله تعیین شود. در هر حال مقاومت خمشی موردنیاز نباید از Mps کمتر در نظر گرفته شود، که در آن:

Mp = لنگر پلاستیک کوچکترین مقطع وصله شوند تیر

αs = برابر 1.0 در روش LRFD و برابر 1.5 در روش ASD

ب) مقاومت برشی موردنیاز

مقاومت برشی موردنیاز وصله تیرها باید براساس نیروی برشی به دست آمده از نمودار پیکره آزاد شکل 10-3-3-1-1 در محل وصله تعیین شود. در هر حال این مقاومت برشی موردنیاز نباید از 0.5×0.6FyAws کمتر در نظر گرفته شود.

پ) مقاومت محوری موردنیاز

مقاومت محوری موردنیاز وصله تیرها (در صورت وجود) باید براساس تحلیل سازه در برابر ترکیبات بارگذاری متعارف تعیین شود.

2-3-3-10 الزامات لرزه‌ای قاب‌های خمشی متوسط (IMF)

قاب‌های خمشی متوسط (IMF ) به قاب‌هایی اطلاق می‌شوند که در برابر نیروی جانبی زلزله بتوانند تغییرشکل‌های فرا ارتجاعی محدودی را تحمل کنند.

در طراحی اعضا و اتصالات این نوع قاب‌ها، چنانچه بخشی از سیستم باربر لرزه‌ای سازه باشند، باید الزامات تکمیلی سخت‌گیرانه تری نسبت به قاب‌های خمشی معمولی منظور شود. به همین منظور در طراحی اعضا و اتصالات این نوع قاب‌ها علاوه بر الزامات متعارف فصل‌های 10-1 و 10-2 و نیز الزامات لرزه‌ای عمومی بخش 10-3-2، باید الزامات تکمیلی این بخش نیز رعایت شود.

1-2-3-3-10 الزامات تحلیل

در تحلیل این نوع قاب‌های خمشی رعایت ضابطۀ اضافی، الزامی نیست.

2-2-3-3-10 محدودیت تیرها و ستون‌ها

در قاب‌های خمشی متوسط، تیرها و ستون‌ها باید دارای شرایط زیر باشند:

الف) اجزای مقاطع تیرها و ستون‌ها باید از نوع فشرده لرزه‌ای با محدودیت حداکثر نسبت پهنا به ضخامت برابر λmd مطابق مقادیر جدول 10-3-2-4 باشند.

ب) استفاده از ستون‌های با مقطع متشکل از چند نیمرخ بست‌دار مجاز نیست.

پ) استفاده از تیرهای با جان سوراخ‌دار با سوراخ‌های متوالی (لانه زنبوری) به عنوان اعضای باربر جانبی مجاز نیست. در صورت لزوم به ایجاد سوراخ دسترسی در جان تیر، این سوراخ باید خارج از ناحیه حفاظت شده دو انتهای تیر و در یک سوم میانی طول دهانه تیر قرار گیرد. اطراف سوراخ باید به نحوی تقویت شود که مقاومت‌های موجود برشی و خمشی تیر، با احتساب آثار ناشی از خمش ثانویه، به طور کامل فراهم گردد.

ت) طول ناحیه حفاظت شده در انتهای تیر، که باید در آن‌ها ضوابط بند 10-3-2-17 رعایت گردد، براساس آزمایش‌های تأیید شده به دست می‌آید. در خصوص اتصالات پیش تأییدشده مندرج در بخش 10-3-7، طول این ناحیه باید مطابق مقادیر ارائه شده در آن بخش تعیین شود.

ث) در نواحی غیراز ناحیه حفاظت شده در انتهای تیر، تغییر تدریجی در پهنا یا ضخامت تیر از ورق بزرگتر به ورق کوچکتر، باید با شیب حداکثر 1 به 2.5 صورت گیرد. در ناحیه حفاظت شده، هرگونه تغییر در پهنا یا ضخامت بال و سوراخ‌کاری باید براساس آزمایش‌های تأیید شده و در خصوص اتصالات پیش تأییدشده مندرج در بخش 10-3-7، براساس ضوابط آن بخش باشد.

3-2-3-3-10 جوش‌های بحرانی لرزه‌ای

در قاب‌های خمشی متوسط، جوش‌های زیر، بحرانی لرزه‌ای محسوب می‌شوند و در مورد آن‌ها باید ضوابط بند 10-3-2-1-6-ب رعایت شود:

الف) جوش‌های شیاری در محل وصله ستون‌ها؛

ب) جوش شیاری بال تیر یا ورق‌های روسری و زیرسری بال تیر به ستون و نیز جوش شیاری جان تیر به ستون؛

پ) جوش‌های اتصال ستون به کف ستون.

استثناء: درصورتی که آزمایش‌ها یا تحلیل‌ها نشان دهند که امکان تشکیل مفاصل پلاستیک در پای ستون یا در نزدیکی آن وجود ندارد و ضمناً تحت اثر ترکیبات بارگذاری شامل زلزله تشدید یافته در پای ستون بر کنش محتمل نیست، جوش‌های این اتصال می‌توانند بحرانی لرزه‌ای محسوب نشوند.

4-2-3-3-10 الزامات لرزه‌ای مهار جانبی تیرها

در ارتباط با مهار جانبی تیرهای باربر لرزه‌ای، علاوه بر الزامات عمومی بند 10-3-2-8-1، باید الزامات زیر نیز تأمین شوند:

الف) کلیه تیرهای باربر لرزه‌ای باید دارای مهار جانبی کافی باشند، به طوری که در تعیین مقاومت خمشی اسمی تیر (Mn)، حالت حدی کمانش جانبی – پیچشی تعیین کننده نباشد. مهار جانبی تیرها باید به گونه‌ای تعبیه شوند که در محل اتصال آن‌ها به تیر از تغییرمکان جانبی هر دو بال تیر یا از پیچش کل مقطع به نحو مؤثری جلوگیری به عمل آید.

ب) تعبیه مهار جانبی اضافی در محل اعمال بارهای متمرکز خارجی در طول تیر، در محل تغییر مقطع تیر، در محل‌هایی که نتایج تحلیل نشانگر احتمال تشکیل مفصل پلاستیک است یا در محل‌هایی که در بخش 10-3-7 برای اتصالات پیش تأییدشده پیش‌بینی شده است، الزامی است.

پ) در محل تشکیل مفاصل پلاستیک مهارهای جانبی تیرهای باربر لرزه‌ای باید دارای مقاومت کافی مطابق ضوابط بند 10-3-2-8-3 باشند.

5-2-3-3-10 مقاومت‌های موردنیاز و موجود تیر

الف) مقاومت برشی موردنیاز تیر (Vr) باید با استفاده از تعادل استاتیکی بارهای ثقلی (با ضرایب بار مربوطه) که با اثر برش ناشی از نیروی زلزله محدود به ظرفیت مؤلفة خمش در محل تشکیل مفاصل پلاستیک در طول تیر (VEcl) ترکیب می‌شوند، تعیین شود. با توجه به شکل 10-3-3-2-1 مقدار VEcl از رابطه زیر تعیین می‌شود:

(1-2-3-3-10) VEcl=2[1.1RyMp]/(αsLh)

در رابطه فوق:

Lh = فاصله بین محل تشکیل مفاصل پلاستیک در طول تیر است. محل تشکیل مفاصل پلاستیک برای اتصالات پیش تأییدشده در بخش 10-3-7 ارائه شده است. در خصوص اتصالاتی که با انجام آزمایش تأیید شده استفاده می‌شوند، موقعیت محل تشکیل مفاصل پلاستیک باید براساس نتایج آزمایش تعیین شود.

Ry = نسبت تنش تسلیم مورد انتظار به تنش تسلیم مشخصه فولاد تیر

MP = لنگر پلاستیک مقطع تیر در محل تشکیل مفصل پلاستیک

αs = برابر 1.0 در روش LRFD و برابر 1.5 در روش ASD

تبصره: در کنترل کفایت مقطع تیرهای نوردشده برای تأمین مقاومت برشی موردنیاز، مقاومت برشی موجود آن‌ها را که براساس ضوابط بخش 10-2-6 محاسبه می‌شود، می‌توان در Ry ضرب کرد.

ب) در صورتی که مقطع تیر در فاصله بین دو ستون ثابت باشد، مقاومت خمشی موردنیاز تیر صرفاً بر اساس ترکیبات بارگذاری متعارف تعیین می‌شود و نیازی به کنترل اضافی نیست. در غیراین صورت، علاوه بر آن محاسبات، مقاومت خمشی موردنیاز تیر در فاصله بین دو مفصل پلاستیک با استفاده از تعادل استاتیکی بارهای ثقلی (با ضرایب بار مربوطه) که با اثر برش ناشی از نیروی زلزله محدود به ظرفیت به ترتیبی که در بند (الف) ذکر شد، ترکیب می‌شوند، تعیین می‌گردد. در این حالت در کنترل کفایت مقطع تیر برای تأمین مقاومت خمشی موردنیاز، مقاومت خمشی موجود تیر را که براساس ضوابط بخش 10-2-5 محاسبه می‌شود، می‌توان در Ry ضرب کرد.

نمودار پیکرۀ آزاد تیرهای باربر لرزه‌ای در قاب‌های خمشی متوسط

شکل 10-3-3-2-1: نمودار پیکرۀ آزاد تیرهای باربر لرزه‌ای در قاب‌های خمشی متوسط

در تیرهای با اتصالات تیر با مقطع کاهش یافته، در دو انتهای تیر نیز مقاومت خمشی موردنیاز، باید مطابق شکل 10-3-3-2-1، با در نظر گرفتن تعادل استاتیکی بارهای ثقلی (با ضرایب بار مربوطه) که با آثار نیروی زلزله محدود به ظرفیت مؤلفه خمش در محل تشکیل مفاصل پلاستیک در طول تیر (Ecl) ترکیب می‌شوند، تعیین شود. در این حالت در دو انتهای تیر، مقاومت خمشی موجود تیر را می‌توان برابر RyMpos در نظر گرفت که در آن Mpo لنگر پلاستیک مقطع در انتهای تیر است.

پ) مقاومت محوری موردنیاز تیر (در صورت وجود) باید براساس ترکیبات بارگذاری متعارف تعیین شود.

6-2-3-3-10 اتصال تیر به ستون

اتصالات خمشی تیر به ستون باید توانایی تحمل تغییرشکل‌های دورانی حداقل به میزان 0.02 رادیان را بدون کاهش قابل توجه در مقاومت موجود خود دارا باشند. برای احراز این شرط لازم است اتصالات خمشی به کار رفته در قاب‌های خمشی متوسط از طریق آزمایش‌های تعیین شده در بخش 10-3-8 مورد تأیید قرار گیرند. در صورت عدم انجام آزمایش، استفاده از اتصالات پیش تأییدشده ارائه شده در بخش 10-3-7 بلامانع است.

در قاب‌های خمشی متوسط مقاومت‌های موردنیاز اتصال تیر به ستون به شرح زیر تعیین می‌شود:

الف) مقاومت خمشی موردنیاز (Mr) و مقاومت برشی موردنیاز (Vr) اتصال باید با در نظر گرفتن تعادل استاتیکی بارهای ثقلی (با ضرایب بار مربوطه) که با آثار نیروی زلزله محدود به ظرفیت مؤلفة خمش در محل تشکیل مفاصل پلاستیک در طول تیر (Ecl) ترکیب می‌شوند، تعیین شود. برای این منظور می‌توان از ضوابط بند 10-3-3-2-5 استفاده نمود. کلیۀ الزامات مندرج در بند 10-2-9-10 در خصوص بال و جان ستون در محل اتصال باید بر مبنای مقاومتی که از محاسبات مذکور به دست می‌آید، رعایت شود.

ب) مقاومت محوری موردنیاز اتصال تیر به ستون (در صورت وجود) باید براساس ترکیبات بارگذاری متعارف تعیین شود.

7-2-3-3-10 برش در چشمه اتصال

در قاب‌های خمشی متوسط، چشمۀ اتصال در برابر برش باید الزامات بخش 10-2-9-10 را اقناع نماید که در آن مقاومت برشی موردنیاز چشمه اتصال باید با توجه به لنگرهای خمشی انتهای تیرهای طرفین گره اتصال که براساس ضوابط بند 10-3-3-2-6- الف به دست می‌آید، تعیین شود. در این نوع قاب‌های خمشی، سایر الزامات لرزه‌ای چشمه اتصال، مشابه الزامات چشمه اتصال در قاب‌های خمشی ویژه مطابق بند 10-3-3-3-9 است.

8-2-3-3-10 ورق‌های پیوستگی

الزامات لرزه‌ای ورق‌های پیوستگی در قاب‌های خمشی متوسط مشابه الزامات مذکور در قاب‌های خمشی ویژه مطابق بند 10-3-3-3-10 است؛ با این تفاوت که لنگرهای خمشی انتهای تیرهای طرفین اتصال باید براساس ضوابط بند 10-3-3-2-6- الف در نظر گرفته شود.

9-2-3-3-10 وصله ستون‌ها

وصله ستون‌ها باید الزامات بند 10-3-2-12 را تأمین نمایند. در قاب‌های خمشی متوسط، الزامات تکمیلی وصله ستون‌ها باید مشابه این الزامات در قاب‌های خمشی ویژه مطابق بند 10-3-3-3-11 در نظر گرفته شود.

10-2-3-3-10 وصله تیرها

وصله تیرها باید الزامات بند 10-3-2-13 را تأمین نمایند. وصله مستقیم تیرها باید با استفاده از جوش شیاری با نفوذ کامل انجام شود. وصلۀ غیرمستقیم تیرها می‌تواند از نوع جوشی یا پیچی باشد.

در این نوع قاب‌های خمشی، مقاومت‌های موردنیاز وصله تیرها باید به شرح زیر در نظر گرفته شود:

الف) مقاومت خمشی موردنیاز

مقاومت خمشی موردنیاز وصله تیرها باید براساس لنگر خمشی به دست آمده از پیکره آزاد شکل 10-3-3-2-1 در محل وصله تعیین شود. در هر حال مقاومت خمشی موردنیاز نباید از MPs کمتر در نظر گرفته شود، که در آن:

MP = لنگر پلاستیک کوچکترین مقطع وصله شونده تیر

Ry = نسبت تنش تسلیم مورد انتظار به تنش تسلیم مشخصه فولاد ستون

αs = برابر 1.0 در روش LRFD و برابر 1.5 در روش ASD

ب) مقاومت برشی موردنیاز

مقاومت برشی موردنیاز وصله تیرها باید براساس نیروی برشی به دست آمده از نمودار پیکره آزاد شکل 10-3-3-2-1 در محل وصله تعیین شود. در هر حال این مقاومت برشی موردنیاز نباید از 0.75×0.6FyAws کمتر در نظر گرفته شود.

پ) مقاومت محوری موردنیاز

مقاومت محوری موردنیاز وصله تیرها (در صورت وجود) باید براساس تحلیل سازه در برابر ترکیبات بارگذاری متعارف تعیین شود.

3-3-3-10 الزامات لرزه‌ای قاب‌های خمشی ویژه (SMF)

قاب‌های خمشی ویژه (SMF) به قاب‌هایی اطلاق می‌شوند که در برابر نیروی جانبی زلزله بتوانند تغییرشکل‌های فرا ارتجاعی قابل ملاحظه‌ای را تحمل نمایند. برای طراحی اعضا و اتصالات این نوع قاب‌ها، چنانچه بخشی از سیستم باربر لرزه‌ای سازه باشند، الزامات لرزه‌ای سخت‌گیرانه تری نسبت به قاب‌های خمشی متوسط در نظر گرفته شده است. به همین منظور در طراحی اعضا و اتصالات این نوع قاب‌ها علاوه بر الزامات متعارف فصل‌های 10-1 و 10-2 و نیز الزامات لرزه‌ای عمومی بخش 10-3-2باید الزامات لرزه‌ای این بخش نیز رعایت شوند.

1-3-3-3-10 الزامات تحلیل

در تحلیل قاب‌های خمشی ویژه، اگر به صورت قاب‌های خمشی صفحه‌ای مجزا مورد استفاده قرار گیرند، رعایت ضابطۀ اضافی الزامی نیست. در مورد ستون‌هایی از این قاب‌ها که در محل تقاطع دو قاب خمشی قرار می‌گیرند، ضوابط بندهای 10-3-3-3-6، 10-3-3-3-9 و 10-3-3-3-10 باید با با توجه به آثار لنگر خمشی در امتداد متعامد، اقناع گردد.

2-3-3-3-10 محدودیت تیرها و ستون‌ها

تیرها و ستون‌ها در قاب‌های خمشی ویژه باید دارای شرایط زیر باشند:

الف) اجزا مقاطع تیرها و ستون‌ها باید از نوع فشرده لرزه‌ای با محدودیت حداکثر نسبت پهنا به ضخامت برابر λhd مطابق مقادیر جدول 10-3-2-4 باشند.

ب) در ستون‌ها استفاده از مقطع متشکل از چند نیمرخ بست‌دار مجاز نیست. اجزای مقطع ستون باید در تمامی طول آن به صورت پیوسته به یکدیگر متصل شوند.

پ) استفاده از تیرهای با جان سوراخ‌دار و با سوراخ‌های متوالی (لانه زنبوری) به عنوان اعضای باربر جانبی مجاز نیست. در صورت لزوم ایجاد سوراخ دسترسی در جان تیر، این سوراخ باید خارج از ناحیه حفاظت شده در انتهای تیر و در یک سوم میانی طول دهانه تیر قرار گیرد. اطراف سوراخ باید به نحوی تقویت شود که مقاومت‌های موجود برشی و خمشی تیر، با احتساب آثار ناشی از خمش ثانویه، به طور کامل فراهم گردد.

ت) طول ناحیه حفاظت شده دو انتهای تیر، که باید در آن‌ها ضوابط بند 10-3-2-17 رعایت گردد، باید براساس آزمایش‌های تأیید شده به دست آید. در خصوص اتصالات پیش تأییدشده مندرج در بخش 10-3-7، طول این ناحیه باید مطابق مقادیر ارائه شده در آن بخش تعیین شود.

ث) در نواحی غیراز ناحیه حفاظت شده در انتهای تیر، تغییر تدریجی در پهنا یا ضخامت تیر از ورق بزرگتر به ورق کوچکتر، باید با شیب حداکثر 1 به 2.5 صورت گیرد. در ناحیه حفاظت شده دو انتهای تیر، هرگونه تغییر در پهنا یا ضخامت بال و سوراخ‌کاری باید براساس آزمایش‌های تأیید شده و در خصوص اتصالات پیش تأییدشده مندرج در بخش 10-3-7، براساس ضوابط آن بخش باشد.

3-3-3-3-10 جوش‌های بحرانی لرزه‌ای

در قاب‌های خمشی ویژه، جوش‌های زیر، بحرانی لرزه‌ای محسوب می‌شوند و در مورد آن‌ها باید ضوابط بند 10-3-2-1-6-ب رعایت شود:

الف) جوش‌های شیاری در محل وصل ستون‌ها؛

ب) جوش بال و جان تیر به ستون؛

پ) جوش‌های اتصال ستون به کف ستون

استثناء: درصورتی که آزمایش‌ها یا تحلیل‌ها نشان دهند که امکان تشکیل مفاصل پلاستیک در پای ستون یا در نزدیکی آن وجود ندارد و ضمناً تحت اثر ترکیبات بارگذاری شامل زلزله تشدید یافته در پای ستون بر کنش محتمل نیست، جوش‌های این اتصال می‌توانند بحرانی لرزه‌ای محسوب نشوند.

4-3-3-3-10 الزامات لرزه‌ای مهار جانبی تیرها

در ارتباط با مهار جانبی تیرهای باربر لرزه‌ای، علاوه بر الزامات عمومی بند 10-3-2-8-2، باید الزامات زیر نیز تأمین شوند:

الف) کلیه تیرهای باربر لرزه‌ای باید دارای مهار جانبی کافی باشند، به طوری که در تعیین مقاومت خمشی اسمی تیر (Mn)، حالت حدی کمانش جانبی – پیچشی تعیین کننده نباشد. مهار جانبی تیرها باید به گونه‌ای تعبیه شوند که در محل اتصال آن‌ها به تیر از تغییرمکان جانبی هر دو بال تیر یا از پیچش کل مقطع به نحو مؤثری جلوگیری به عمل آید.

ب) تعبیه مهار جانبی اضافی در محل اعمال بارهای متمرکز خارجی در طول تیر، در محل تغییر مقطع تیر، در محل‌هایی که نتایج تحلیل نشانگر احتمال تشکیل مفصل پلاستیک است یا در محل‌هایی که در بخش 10-3-7 برای اتصالات پیش تأییدشده پیش‌بینی شده است، الزامی است.

پ) در محل تشکیل مفاصل پلاستیک، مهارهای جانبی تیرهای باربر لرزه‌ای باید دارای مقاومت کافی مطابق ضوابط بند 10-3-2-8-3 باشند.

5-3-3-3-10 الزامات مهار پایداری در محل اتصالات تیر به ستون

الف) اتصالات مهارشده

در قاب‌های خمشی چنانچه در محل اتصال تیر به ستون، تیر دیگری در امتداد عمود بر محور تیر موردنظر به ستون متصل شود و ضوابط این بند نیز اقناع شود، اتصال مهارشده نامیده می‌شود. در این نوع اتصال در حالت‌هایی که جان تیرها و ستون در یک صفحه قرار گرفته و تحلیل‌ها نشان دهند که ستون در خارج از ناحیه چشمۀ اتصال ارتجاعی باقی می‌ماند، مهار بال‌های ستون در محل اتصال تیر به ستون فقط در تراز بال بالایی تیر الزامی است. برای نشان دادن ارتجاعی باقی ماندن ستون کافی است نسبت محاسبه شده توسط رابطه 10-3-3-3-1 بزرگ‌تر از 2.0 باشد.

چنانچه ارتجاعی باقی ماندن ستون در خارج از ناحیه چشمه اتصال را نتوان نشان داد، الزامات زیر باید رعایت شوند:

1- بال‌های ستون در تراز بال‌های بالا و پایین تیر باید دارای مهار جانبی باشند.

2- هر مهار جانبی باید برای مقاومت موردنیاز برابر 2% مقاومت موجود بال تیر طراحی شود. مقاومت موجود بال تیر برابر با Fybftbf/αs است، که در آن:

Fy = تنش تسلیم مشخصه فولاد ستون

bf = پهنای بال تیر

tbf = ضخامت بال تیر

αs = برابر 1.0 در روش LRFD و برابر 1.5 در روش ASD

تبصره: مهار جانبی بال‌های ستون می‌تواند به طور مستقیم یا غیرمستقیم تأمین گردد. مهار مستقیم شامل استفاده از یک عضو یا دال عرشه و اتصال آن‌ها به بال ستون است. مهار غیرمستقیم عبارت است از مهاری که از طریق اتصال عضو به بال ستون تأمین نمی‌شود، بلکه از طریق ورق‌های پیوستگی و اتصال ورق برش جان تیر متعامد به جان ستون در حدفاصل ورق‌های پیوستگی، تأمین می‌گردد.

ب) اتصالات مهارنشده

در قاب‌های خمشی چنانچه در محل اتصال تیر به ستون، تیر دیگری در امتداد عمود بر محور تیر موردنظر به ستون متصل نشود یا ضوابط بند (الف) اقناع نشود، اتصال مهارنشده نامیده می‌شود. در این نوع اتصال، ستون باید برای کمانش جانبی در امتداد عمود بر راستای اثر زلزله با طولی برابر فاصله بین نقاط مهار ستون طراحی شود. ضمناً الزامات زیر نیز باید رعایت شوند:

1- مقاومت موردنیاز ستون باید براساس ترکیبات بارگذاری شامل زلزله تشدید یافته محاسبه شود.

2- نسبت لاغری ستون نباید از 60 بیشتر باشد.

3- مقاومت خمشی موردنیاز ستون حول محور عمود بر امتداد اثر زلزله باید با در نظر گرفتن اثر نیرویی که در بند 10-3-3-3-5-الف-2 معین شده است، علاوه بر آثار مرتبه دوم نیروهایی که باعث تغییرمکان جانبی بال‌های تیر می‌شود، محاسبه شود.

6-3-3-3-10 نسبت لنگر خمشی ستون به لنگر خمشی تیر

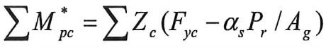
در قاب‌های خمشی ویژه، در کلیه گره‌های اتصالات خمشی تیر به ستون یک قاب خمشی صفحه‌ای، رعایت رابطه زیر الزامی است:

(1-3-3-3-10) 10-3-3-3-1

که در آن:

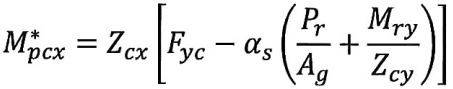
Mpc = مجموع مقادیر اسمی مقاومت‌های خمشی ستون‌های بالا و پایین گره اتصال (شامل ماهیچه‌ها در صورت وجود) در امتداد موردنظر، که در محور تیر با در نظر گرفتن اثر نیروی محوری ستون محاسبه می‌شود. این مقدار را می‌توان مطابق با رابطه زیر در نظر گرفت:

(2-3-3-3-10) 10-3-3-3-2

Mpb = مجموع مقادیر لنگرهای خمشی مورد انتظار تیرها در گره اتصال نسبت به راستای موردنظر، که در محور ستون محاسبه می‌شود. این لنگرهای خمشی مطابق شکل 10-3-3-3-1 باید با در نظر گرفتن تعادل استاتیکی بارهای ثقلی (با ضرایب بار مربوطه) که با آثار نیروی زلزله محدود به ظرفیت مؤلفة خمش در محل تشکیل مفاصل پلاستیک در طول تیر (Ecl) ترکیب می‌شوند، تعیین شوند. این مقدار را می‌توان مطابق با رابطه زیر در نظر گرفت:

(3-3-3-3-10) 10-3-3-3-3

در روابط فوق:

Zc = اساس مقطع پلاستیک ستون

Ag = سطح مقطع ستون

Fyc = تنش تسلیم مشخصه فولاد ستون

Pr = مقاومت محوری موردنیاز ستون حاصل از ترکیبات بارگذاری راستای موردنظر شامل زلزله تشدید یافته

MPr = حداکثر لنگر خمشی محتمل در محل تشکیل مفصل پلاستیک در تیر که باید برابر MPr=CprRybMpb در نظر گرفته شود.

Ryb = نسبت تنش تسلیم مورد انتظار به تنش تسلیم مشخصه مصالح تیر مطابق مقادیر جدول 10-3-1

MPb = لنگر پلاستیک مقطع تیر در محل تشکیل مفصل پلاستیک

Mv = لنگر خمشی اضافی تیر نسبت به محور ستون که ناشی از برش تیر در محل تشکیل مفصل پلاستیک و بارهای ثقلی (با ضرایب بار مربوطه) روی تیر است.

αs = برابر 1.0 در روش LRFD و برابر 1.5 در روش ASD

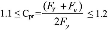
Cpr = ضریبی است که در برگیرنده آثار عواملی از قبیل سخت‌شدگی، قیدهای موضعی و ملحقات موجود در اتصال تیر به ستون است و برای محاسبه حداکثر نیروی ایجادشده در اعضا و وسایل اتصال استفاده می‌شود. به جز در مواردی که مطابق بندهای 10-3-7-6 و 10-3-7-9 برای CPr عدد خاصی پیش‌بینی شده است، مقدار آن باید از رابطه زیر تعیین شود:

(4-3-3-3-10) 10-3-3-3-4

که در آن:

Fy= تنش تسلیم مشخصه فولاد تیر

Fu= تنش کششی نهائی مشخصه فولاد تیر

تبصره 1: درصورتی که در گره موردنظر ستون در محل تقاطع دو قاب خمشی قرار گرفته باشد، رابطه 10-3-3-3-1 باید به طور جداگانه حول هر یک از محورهای اصلی ستون کنترل شود. در این محاسبات مقاومت خمشی اسمی ستون حول محور x (در برابر مقاومت خمشی مورد انتظار تیرهای راستای y) باید به شرح زیر برای اثر نیروی محوری ستون و لنگر خمشی حول محور y ستون، اصلاح شود:

(5-3-3-3-10) 10-3-3-3-5

در رابطه فوق:

Mry = لنگر خمشی موردنیاز حول محور y ستون در ترکیب بارگذاری متعارف در امتداد موردنظر

Zcx = اساس مقطع پلاستیک ستون حول محور x

Zcy = اساس مقطع پلاستیک ستون حول محور y

در این حالت برای محاسبات امتداد دیگر نیز، مقاومت خمشی ستون در امتداد، باید به صورت مشابه برای اثر نیروی محوری ستون و لنگر خمشی امتداد د اصلاح شود.

تبصره 2: در صورتی که یکی از حالت‌های زیر برقرار باشد، رعایت رابطه 10-3-3-3-1 الزامی نیست:

الف) ستون‌هایی که در کلیه ترکیبات بارگذاری متعارف دارای Prc<0.3Pc (که در آن Prc مقاومت فشاری موردنیاز، Pc=FycAg/as،

Fyc تنش تسلیم مشخصه فولاد ستون و Ag سطح مقطع ستون است) بوده و دارای شرایط زیر باشند:

1- ستون‌های ساختمان‌های یک طبقه و ستون‌های طبقه آخر ساختمان‌های چندطبقه

2- تعدادی از ستون‌های هر طبقه که مجموع مقاومت برشی موجود آن‌ها کمتر از 20 درصد کل مقاومت برشی موجود ستون‌های آن طبقه و مجموع مقاومت برشی موجود آنهایی که بر روی یک محور قرار دارند کمتر از 33 درصد کل مقاومت برشی موجود آن محور باشد. در این بند محور ستون به محور یا محورهای موازی اطلاق می‌شود که در فاصله کمتر از 10 درصد بعد پلان طبقه، در جهت عمود بر محور، از یکدیگر قرار گرفته باشند.

ب) ستون‌های طبقه‌ای که در آن نسبت مجموع مقاومت برشی موجود ستون‌ها به مجموع مقاومت برشی موردنیاز ستون‌ها در آن طبقه، 50 درصد بیشتر از این نسبت در طبقه فوقانی آن باشد.

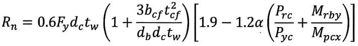
7-3-3-3-10 مقاومت‌های موردنیاز و موجود تیر

الف) مقاومت برشی موردنیاز تیر (Vr) باید با استفاده از تعادل استاتیکی بارهای ثقلی (با ضرایب بار مربوطه) که با اثر برش ناشی از نیروی زلزله محدود به ظرفیت مؤلفة خمش در محل تشکیل مفاصل پلاستیک در طول تیر (VEcl) ترکیب می‌شوند، تعیین شود. با توجه به شکل 10-3-3-3-1 مقدار VEcl از رابطه زیر تعیین می‌شود:

(6-3-3-3-10) VEcl=2Mpr/(αsLh)

در رابطه فوق:

Lh = فاصله بین محل تشکیل مفاصل پلاستیک در طول تیر است. محل تشکیل مفاصل پلاستیک برای اتصالات پیش تأییدشده در بخش 10-3-7 ارائه شده است. در خصوص اتصالاتی که با انجام آزمایش تأیید شده استفاده می‌شوند، موقعیت محل تشکیل مفاصل پلاستیک باید براساس نتایج آزمایش تعیین شود. الا

αs = برابر 1.0 در روش LRFD و برابر 1.5 در روش ASD

سایر پارامترهای این رابطه، باید مطابق تعاریف بند 10-3-3-3-6 در نظر گرفته شود.

تبصره: در کنترل کفایت مقطع تیرهای نوردشده برای تأمین مقاومت برشی موردنیاز، مقاومت برشی موجود آن را که براساس ضوابط بخش 10-2-6 محاسبه می‌شود، می‌توان در Ry ضرب کرد.

ب) در صورتی که مقطع تیر در فاصله بین دو ستون ثابت باشد، مقاومت خمشی موردنیاز تیر صرفاً براساس ترکیبات بارگذاری متعارف تعیین می‌شود و نیازی به کنترل اضافی نیست. در غیراین صورت، علاوه بر آن محاسبات، مقاومت خمشی موردنیاز تیر در فاصله بین دو مفصل پلاستیک با استفاده از تعادل استاتیکی بارهای ثقلی (با ضرایب بار مربوطه) که با اثر برش ناشی از نیروی زلزله محدود به ظرفیت (Ecl) به ترتیبی که در بند (الف) ذکر شد، ترکیب می‌شوند، تعیین می‌گردد. در این حالت در کنترل کفایت مقطع تیر برای تأمین مقاومت خمشی موردنیاز، مقاومت خمشی موجود تیر را که براساس ضوابط بخش 10-2-5 محاسبه می‌شود، می‌توان در Ry ضرب کرد.

در تیرهای با اتصالات تیر با مقطع کاهش یافته، در دو انتهای تیر مقاومت خمشی موردنیاز باید مطابق شکل 10-3-3-3-1 با در نظر گرفتن تعادل استاتیکی بارهای ثقلی (با ضرایب بار مربوطه) که با آثار نیروی زلزله محدود به ظرفیت (Ec1) ترکیب می‌شوند، تعیین شود. در این حالت در دو انتهای تیر، مقاومت خمشی موجود تیر را می‌توان برابر RyMpo/as در نظر گرفت که در آن Mpo لنگر پلاستیک مقطع، در انتهای تیر است.

پ) مقاومت محوری موردنیاز تیر (در صورت وجود) باید براساس ترکیبات بارگذاری متعارف تعیین شود.

نمودار پیکره آزاد تیرهای باربر لرزه‌ای در قاب‌های خمشی ویژه

شکل 10-3-3-3-1: نمودار پیکره آزاد تیرهای باربر لرزه‌ای در قاب‌های خمشی ویژه

8-3-3-3-10 اتصال تیر به ستون

اتصالات خمشی تیر به ستون باید توانایی تحمل تغییرشکل‌های دورانی حداقل به میزان 0.04 رادیان را بدون کاهش قابل توجه در مقاومت موجود خود دارا باشند. برای احراز این شرط لازم است اتصالات خمشی به کار رفته در قاب‌های خمشی ویژه از طریق آزمایش‌های تعیین شده در بخش 10-3-8 مورد تأیید قرار گیرند. در صورت عدم انجام آزمایش، استفاده از اتصالات پیش تأییدشده ارائه شده در بخش 10-3-7 بلامانع است.

در قاب‌های خمشی ویژه مقاومت‌های موردنیاز اتصال تیر به ستون به شرح زیر تعیین می‌شود:

الف) مقاومت خمشی موردنیاز (Mr) و مقاومت برشی موردنیاز (Vr) اتصال باید با در نظر گرفتن تعادل استاتیکی بارهای ثقلی (با ضرایب بار مربوطه) که با آثار نیروی زلزله محدود به ظرفیت آل مؤلفه خمش در محل تشکیل مفاصل پلاستیک در طول تیر (Ecl) ترکیب می‌شوند، تعیین شود. برای این منظور می‌توان از ضوابط بند 10-3-3-3-7 استفاده نمود. کلیة الزامات مندرج در بند 10-2-9-10 در خصوص بال و جان ستون در محل اتصال باید بر مبنای مقاومتی که از محاسبات مذکور به دست می‌آید، رعایت شود.

ب) مقاومت محوری موردنیاز اتصال تیر به ستون (در صورت وجود) باید براساس ترکیبات بارگذاری متعارف تعیین شود.

9-3-3-3-10 برش در چشمه اتصال

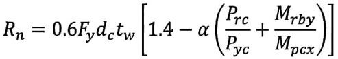
الف) چشمۀ اتصال در برابر برش باید الزامات بخش 10-2-9-10 را اقناع نماید که در آن مقاومت برشی موردنیاز این چشمه باید با توجه به لنگرهای خمشی انتهای تیرهای طرفین اتصال که براساس ضوابط بند 10-3-3-3-8- الف به دست می‌آید، تعیین شود. در صورتی که مقاومت برشی موردنیاز چشمۀ اتصال بیش از مقاومت برشی موجود آن باشد، در چشمه اتصال تعبیه ورق یا ورق‌های مضاعف الزامی بوده و ضخامت آن یا آن‌ها براساس اختلاف مقاومت برشی موردنیاز و مقاومت برشی موجود به دست می‌آید.

تبصره 1: در ستون‌های قوطی شکل (HSS) و جعبه‌ای ساخته شده از ورق، استفاده از ورق‌های مضاعف مجاز نبوده و جانهای مقطع ستون باید بتوانند مقاومت برشی موردنیاز چشمه اتصال را تأمین نمایند.

تبصره 2: در ستون‌های قوطی شکل (HSS) و جعبه‌ای ساخته شده از ورق، در صورتی که در گره موردنظر ستون در محل تقاطع دو قاب خمشی قرار گرفته باشد، در محاسبات مقاومت برشی موجود چشمه اتصال مطابق الزامات بخش 10-2-9-10-6 باید آثار لنگر خمشی وارد بر ستون از امتداد دیگر نیز در نظر گرفته شود. برای این منظور می‌توان برای محاسبه مقاومت چشم اتصال برای تیر امتداد x وارد به ستون به جای روابط 10-2-9-40 الى 10-2-9-43 از روابط زیر استفاده نمود:

1) در حالتی که آثار تغییرشکل غیرالاستیک چشمه اتصال در تحلیل سازه منظور نشود:

  • برای حالتی که α(Prc-Pyc+Mrby-Mpcx)-0.4 باشد:
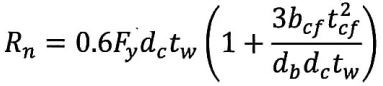
(7-3-3-3-10) Rn=0.6Fydctw
  • برای حالتی که α(Prc-Pyc+Mrby-Mpcx)-0.4 باشد:
(8-3-3-3-10) 10-3-3-3-8

2) در حالتی که آثار تغییرشکل غیرالاستیک چشمه اتصال در تحلیل سازه منظور شود:

  • برای حالتی که α(Prc-Pyc+Mrby-Mpcx)-0.75 باشد:
(9-3-3-3-10) 10-3-3-3-9
  • برای حالتی که α(Prc-Pyc+Mrby-Mpcx)-0.75 باشد:
(10-3-3-3-10) 10-3-3-3-10

در روابط فوق:

Pyc = مقاومت محوری تسلیم ستون (Pyc= AgFy)

Prc = مقاومت محوری موردنیاز ستون در ترکیب بار راستای x

Mrby = لنگر خمشی موردنیاز تیر امتداد y وارد به ستون در ترکیب بار راستای x

Mpcx = لنگر خمشی پلاستیک ستون حول محور x که در آن Mpcx=FycZcx است.

سایر پارامترهای این روابط در بخش‌های 10-2-9-10-6 معرفی شده‌اند.

در این نوع ستون‌ها برای محاسبات امتداد دیگر نیز مقاومت چشمه اتصال برای تیر امتداد y وارد به ستون باید به صورت مشابه برای اثر نیروی محوری ستون و لنگر خمشی تیر امتداد x وارد به ستون، اصلاح شود.

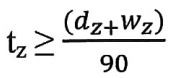
ب) ضخامت هر یک از ورق‌های واقع در چشمه اتصال، شامل جان (یا جانهای) ستون و ورق‌های مضاعف (در صورت وجود) باید رابطه زیر را برآورده نمایند:

(11-3-3-3-10) 10-3-3-3-11

که در آن:

tz = ضخامت جان (یا هر یک از جانهای) ستون یا هر یک از ورق‌های تقویتی چشمه اتصال (ورق‌های مضاعف)

dz = عمق چشمه اتصال که فاصله آزاد بین ورق‌های پیوستگی است.

Wz = پهنای چشمه اتصال که فاصله آزاد بین بال‌های ستون است.

تبصره: در صورتی که ورق‌های مضاعف با جوش انگشتان کافی به جان ستون متصل شده باشند، مجموع ضخامت جان ستون و ورق‌های تقویت چشمه اتصال به عنوان tz منظور می‌گردد. در این گونه موارد کنترل رابطه 10-3-3-3-11 در فاصله بین جوش‌های انگشتانه به طور مجزا برای ورق‌های مضاعف و جان ستون الزامی است.

پ) در ستون‌های H شکل و صلیبی، در صورت نیاز به تعبیه ورق‌های مضاعف در محل اتصال تیر به ستون، ورق‌های مضاعف باید حداقل 6 میلی‌متر ضخامت داشته و علاوه بر تأمین الزامات بخش 10-2-9-10، دارای شرایط زیر نیز باشند:

1- ورق‌های مضاعف می‌توانند در تماس با جان یا با فاصله از آن اجرا شوند. در صورتی که فاصله بین ورق مضاعف و جان ستون کوچکتر یا مساوی 2 میلی‌متر باشد، ورق مضاعف در تماس با جان قلمداد می‌شود و ورق یا ورق‌های مضاعف می‌توانند در یک یا هر دو طرف جان ستون تعبیه شود. در غیراین صورت ورق‌های مضاعف باید به صورت متقارن و در هر دو طرف جان ستون به کار روند.

2- در ستون‌های H شکل، در مواردی که ورق‌های مضاعف در هر دو طرف جان ستون به کار می‌روند، این ورق‌ها باید به صورت متقارن و در محدوده یک سوم میانی فاصله بین مرکز صفحه جان ستون و نوک بال تیر یا ورق‌های اتصال بال فوقانی و تحتانی تیر تعبیه شود.

3- اتصال ورق‌های مضاعف به بال ستون می‌تواند از نوع جوش شیاری با نفوذ کامل یا ناقص یا جوش گوشه باشد. مقاومت موردنیاز جوش شیاری با نفوذ ناقص یا جوش گوشه باید برابر مقاومت برشی موجود ورق مضاعف در نظر گرفته شود.

4- در مواردی که نیاز به تعبیه ورق‌های پیوستگی نباشد، ورق‌های مضاعف باید حداقل 150 میلی‌متر از بالا و پایین بال‌های فوقانی و تحتانی تیر ادامه یافته و از طریق جوش گوشه به جان ستون جوش شوند.

5- در صورت وجود ورق‌های پیوستگی، ورق‌های مضاعف باید در محل ورق‌های پیوستگی قطع شده و از طریق جوش شیاری با نفوذ کامل یا ناقص یا جوش گوشه به ورق‌های پیوستگی جوش شوند. مقاومت موردنیاز جوش شیاری با نفوذ ناقص یا جوش گوشه باید حداقل برابر 0.75 مقاومت برشی موجود ورق مضاعف در نظر گرفته شود.

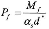
10-3-3-3-10 ورق‌های پیوستگی

در حالت‌های زیر لازم است ورق‌های پیوستگی در مقابل بالهای تیر با ورق‌های پوششی اتصال بال بالایی و پایینی تیرهای متصل شونده به ستون تعبیه شود:

الف) در اتصالاتی که تیر به وجه یک ستون قوطی شکل متصل شده باشد. در این گونه مقاطع ابعاد ورق‌های پیوستگی باید براساس کل مقاومت موردنیاز در وجه ستون (مطابق بند ت) و بدون توجه به مقاومت‌های موجود ستون در برابر آن و با رعایت بند (ث) تعیین شود.

ب) در اتصالاتی که تیر به بال یک ستون H شکل متصل شده و ضخامت بال ستون کمتر از یک ششم عرض بال یا ورق اتصال باشد. در این گونه موارد ورق‌های پیوستگی باید الزامات بند (ث) را تأمین نمایند.

پ) در اتصالاتی که تیر به بال یک ستون جعبه‌ای ساخته شده از مقطع I یا IPB متصل شده باشد، و ضخامت بال ستون کمتر از یک دوازدهم عرض بال یا ورق اتصال باشد. در این گونه موارد ورق‌های پیوستگی باید الزامات بند (ث) را تأمین نمایند.

ت) در صورتی که در محل اتصال بال تیر یا ورق‌های روسری یا زیرسری به بال ستون، مقدار مقاومت موردنیاز از مقادیر مقاومت موجود که بر اساس ضوابط بند 10-2-9-10 محاسبه می‌شود، تجاوز نماید. برای محاسبه این مقاومت موردنیاز لازم است مقدار مقاومت خمشی موردنیاز در محل اتصال تیر به ستون که براساس ضوابط بند 10-3-3-3-8- الف محاسبه می‌شود، ملاک عمل قرار گیرد. در این گونه موارد ورق‌های پیوستگی باید الزامات بند (ث) را تأمین نمایند.

یادداشت: در اتصالاتی که تیر از طریق جوش بال یا ورق‌های اتصال به ستون متصل می‌شود، در محل اتصال بال تیر یا ورق‌های روسری یا زیرسری به ستون، مقدار مقاومت موردنیاز (Pf) می‌تواند از رابطه زیر تعیین شود:

(12-3-3-3-10) 10-3-3-3-12

در رابطه 10-3-3-3-12، Mf مقدار مقاومت خمشی موردنیاز در محل اتصال تیر به ستون است که براساس ضوابط بند 10-3-3-3-8- الف محاسبه می‌شود.

*d فاصله بین مراکز سطح بالهای تیر یا ورق‌های روسری و زیرسری بوده و αs برابر 1.0 در روش LRFD و برابر 1.5 در روش ASD است.

ث) در حالت‌هایی که با توجه به ضوابط فوق تعبیه ورق‌های پیوستگی در مقابل بالهای تیر یا ورق‌های پوششی اتصال بال بالایی و پایینی تیرهای متصل شونده به ستون الزامی باشد، این ورق‌ها علاوه بر تأمین الزامات بخش 10-2-9-10، باید دارای شرایط زیر نیز باشند:

1- طول ورق‌های پیوستگی باید برابر با فاصله خالص دو بال ستون باشد.

2- پهنای ورق‌های پیوستگی در ستون‌های با مقطع قوطی شکل باید برابر فاصله خالص دو جان مقطع ستون بوده و در ستون‌های با مقطع H شکل مجموع پهنای ورق‌های پیوستگی در هر طرف جان مقطع ستون نباید از پهنای بال تیر با پهنای ورق پوششی اتصال کمتر باشد.

3- ضخامت ورق‌های پیوستگی نباید از 50% ضخامت بال تیر با ضخامت ورق‌های پوششی اتصال (ورق‌های روسری و زیرسری) در اتصالات گیرداری که در امتداد موردنظر فقط به یک وجه ستون متصل هستند و از 75% ضخامت بال ضخیم‌تر تیرها یا ضخامت ورق ضخیم‌تر پوششی اتصال (ورق‌های روسری و زیرسری) در اتصالات گیرداری که در امتداد موردنظر به هر دو وجه ستون متصل هستند، کمتر در نظر گرفته شود.

4- جوش ورق‌های پیوستگی به بال ستون باید از نوع جوش شیاری با نفوذ کامل باشد. در صورتی که ضخامت ورق پیوستگی کوچکتر یا مساوی 20 میلی‌متر باشد، استفاده از جوش گوشه دوطرفه نیز مجاز است. در صورت استفاده از جوش گوشه دوطرفه، در هر طرف بعد آن نباید از 0.75 ضخامت ورق پیوستگی کوچک‌تر در نظر گرفته شود.

5- جوش ورق‌های پیوستگی به جان ستون یا ورق‌های تقویتی جان (ورق مضاعف) باید از نوع جوش شیاری یا جوش گوشۀ دوطرفه باشد. در صورت استفاده از جوش گوشۀ دوطرفه، مقاومت موردنیاز این جوش‌ها می‌تواند برابر مقاومت برشی موجود ورق پیوستگی در تماس با جان ستون یا ورق مضاعف در نظر گرفته شود.

6- نسبت پهنا به ضخامت در ورق‌های پیوستگی با یک لبه متکی، نظیر ورق‌های پیوستگی ستون‌های H شکل، نباید از 0.56-E-RyFy و در ورق‌های پیوستگی با دو لبه متکی، نظیر ورق‌های پیوستگی ستون‌های با مقطع قوطی شکل، نباید از 1.49-E-RyFy بزرگ‌تر باشد.

11-3-3-3-10 وصله ستون‌ها

وصله ستون‌ها باید الزامات بند 10-3-2-12 را تأمین نمایند. وصله مستقیم ستون‌ها باید با استفاده از جوش شیاری با نفوذ کامل انجام شود. وصلة غیرمستقیم ستون‌ها می‌تواند از نوع جوشی یا پیچی باشد. در هر حال مقاومت خمشی موردنیاز وصله‌های غیرمستقیم نباید از RyMP mins و مقاومت برشی موردنیاز آن‌ها نباید از (αsHc)/(ΣRyMp) کمتر در نظر گرفته شود که در آن:

MP min = لنگر پلاستیک کوچک‌ترین مقطع وصله شونده ستون

ΣMP = مجموع لنگرهای پلاستیک دو انتهای ستون در طبقه موردنظر

Ry = نسبت تنش تسلیم مورد انتظار به تنش تسلیم مشخصه فولاد ستون

αs = برابر 1.0 در روش LRFD و برابر 1.5 در روش ASD

Hc = ارتفاع خالص ستون (فاصله خالص بین بال تحتانی تیر فوقانی و روی دال بتنی تیر تحتانی در طبقه موردنظر و در صورت عدم وجود دال بتنی سازه‌ای، فاصله خالص بین بال تحتانی تیر فوقانی و بال فوقانی تیر تحتانی در طبقه موردنظر)

تبصره: درهرحال مقاومت محوری موجود وصله هر جزء مقطع ستون (بدون در نظر گرفتن آثار لنگر خمشی)، نباید از RyFybitis کمتر در نظر گرفته شود که در آن:

Fy = تنش تسلیم مشخصه فولاد ستون

bi = پهنای جزء ستون کوچکتر وصله شونده

ti = ضخامت جزء ستون کوچکتر وصل شونده

12-3-3-3-10 وصله تیرها

وصله تیرها باید الزامات بند 10-3-2-13 را تأمین نمایند. وصله مستقیم تیرها باید با استفاده از جوش شیاری با نفوذ کامل انجام شود. وصلۀ غیرمستقیم تیرها می‌تواند از نوع جوشی یا پیچی باشد. در این نوع قاب‌های خمشی مقاومت‌های موردنیاز وصله تیرها باید به شرح زیر در نظر گرفته شود:

الف) مقاومت خمشی موردنیاز

مقاومت خمشی موردنیاز وصله تیرها باید براساس لنگر خمشی به دست آمده از پیکره آزاد شکل 10-3-3-3-1 در محل وصله و با رعایت الزام بند 10-3-2-4-5-ب تعیین شود. در هر حال مقاومت خمشی موردنیاز نباید از MPs کمتر در نظر گرفته شود، که در آن:

Mp = لنگر پلاستیک کوچکترین مقطع وصله شونده تیر

αs = برابر 1.0 در روش LRFD و برابر 1.5 در روش ASD

ب) مقاومت برشی موردنیاز

مقاومت برشی موردنیاز وصله تیرها باید براساس نیروی برشی به دست آمده از نمودار پیکره آزاد شکل 10-3-3-3-1 در محل وصله و با رعایت الزام بند 10-3-2-4-5-ب تعیین شود.. در هر حال این مقاومت برشی موردنیاز نباید از 0.75×0.6FyAws کمتر در نظر گرفته شود.

پ) مقاومت محوری موردنیاز

مقاومت محوری موردنیاز وصله تیرها (در صورت وجود) باید براساس تحلیل سازه در برابر ترکیبات بارگذاری متعارف تعیین شود.

4-3-3-10 الزامات لرزه‌ای قاب‌های خمشی خرپایی ویژه (STMF)

قاب خمشی خرپایی ویژه (STMF) به قابی اطلاق می‌شود که در آن به جای تیر از خرپا استفاده شده باشد. این قاب در برابر نیروی جانبی زلزله باید بتواند در بخش ویژه‌ای از خرپا تغییرشکل‌های فرا ارتجاعی قابل ملاحظه‌ای را تحمل کند. سایر بخش‌های خرپا و ستون‌ها باید عمدتاً ارتجاعی باقی مانده و قادر به تحمل تلاش‌هایی که با توجه به ظرفیت تسلیم کامل بخش ویژه و با در نظر گرفتن سخت شوندگی کرنش در آن‌ها ایجاد می‌شود، باشند (شکل 10-3-3-4-1).

سازوکار تسلیم در بخش ویژه خرپا و رفتار ارتجاعی در سایر بخش‌های خرپا و ستون قاب

شکل 10-3-3-4-1: سازوکار تسلیم در بخش ویژه خرپا و رفتار ارتجاعی در سایر بخش‌های خرپا و ستون قاب

1-4-3-3-10 الزامات عمومی

الف) طول دهانه خرپا در این قاب‌ها نباید از 20 متر و ارتفاع کلی آن‌ها از 1.8 متر بیشتر باشد.

ب) هر خرپای واقع در بین دو ستون این سیستم باید دارای بخش ویژه‌ای در نیمه میانی طول آن باشد. طول این بخش ویژه باید 0.1 تا 0.5 برابر طول دهانه خرپا باشد. نسبت طول به ارتفاع هر چشمه خرپا در این بخش نباید از 1.5 بزرگ‌تر و از 0.67 کوچک‌تر باشد.

پ) در بخش ویژه خرپا، چشمه‌ها باید از نوع ویراندل یا ضربدری باشند. هم‌چنین در چشمه‌های مختلف این بخش، ترکیب این دو نوع پیکربندی یا استفاده از انواع دیگر پیکربندی مجاز نیست.

ت) اعضای قطری استفاده شده در پیکربندی ضربدری باید تسمه‌های نوردشده با مقطع یکسان بوده و در محل عبور از روی هم به یکدیگر متصل شده باشند. مقاومت موردنیاز این اتصال باید 0.25 ظرفیت اسمی کششی عضو قطری در نظر گرفته شود. استفاده از اتصالات پیچی در اعضای قطری این بخش از خرپا مجاز نیست. تحت اثر ترکیبات بارگذاری ثقلی ناشی از بارهای مرده و زنده (با ضرایب بار مربوطه)، مقاومت موردنیاز محوری اعضای قطری بخش ویژه خرپا، نباید از 0.03FyAgs بزرگ‌تر باشد که در آن مقدار αs برابر 1.0 در روش LRFD و برابر 1.5 در روش ASD است.

ث) در بخش ویژه خرپا، مقاطع یال‌های بالایی و پایینی باید یکسان باشند. هم‌چنین وصله یالهای بالایی و پایینی در محدوده بخش ویژه خرپا به علاوه نصف طول چشمه‌های مجاور این بخش مجاز نیست.

2-4-3-3-10 الزامات تحلیل

در تحلیل و طراحی این گونه سیستم‌های باربر جانبی لرزه‌ای، الزامات تکمیلی زیر باید رعایت شود:

الف) بخش ویژه خرپا

مقاومت برشی موردنیاز بخش ویژه خرپا باید با استفاده از ترکیبات بارگذاری متعارف محاسبه شود. مقاومت برشی موجود این بخش براساس ضوابط بند 10-3-3-4-6 محاسبه می‌شود.

ب) سایر بخش‌های سیستم

مقاومت موردنیاز اعضا و اتصالات سایر بخش‌های سیستم (شامل ستون‌ها) باید براساس تعادل بارهای ثقلی (با ضرایب بار مربوطه) که با اثر زلزله افقی محدود به ظرفیت مورد انتظار برش قائم وسط دهانه بخش ویژه خرپا (Ecl) ترکیب می‌شوند، تعیین شود. ظرفیت مورد انتظار برش قائم وسط دهانه بخش ویژه خرپا براساس ضوابط بند 10-3-3-4-7 محاسبه می‌شود.

3-4-3-3-10 اعضا

الف) اجزای مقطع ستون‌ها باید از نوع فشرده لرزه‌ای با محدودیت حداکثر نسبت پهنا به ضخامت برابر λhd مطابق مقادیر جدول 10-3-2-4 باشند. استفاده از ستون‌های با مقطع متشکل از چند نیمرخ بست‌دار مجاز نیست.

ب) در بخش ویژه، اجزای مقاطع بال‌ها و اعضای قائم خرپا باید از نوع فشرده لرزه‌ای با محدودیت حداکثر نسبت پهنا به ضخامت برابر λhd مطابق مقادیر جدول 10-3-2-4 باشند. در این بخش هم‌چنین نسبت عرض به ضخامت اعضای قطری با تسمه‌های نوردشده نباید از 2.5 بیشتر باشد.

پ) در بخش ویژه خرپا، در صورت استفاده از مقاطع ساخته شده از چند نیمرخ برای بال‌ها، فاصله اتصال دهنده‌های اجزاء (فاصله لقمه‌ها) نباید از 0.04Ery/(RyFy) بیشتر باشد. ry شعاع ژیراسیون حداقل هر یک از اجزای متصل شونده است.

ت) در دو انتهای بال‌های بخش ویژه خرپا، طولی معادل دو برابر عمق یال از هر طرف اتصال عضو قائم به یال به عنوان ناحیه حفاظت شده در نظر گرفته می‌شود که باید در آن‌ها ضوابط بند 10-3-2-17 رعایت گردد. هم‌چنین تمام طول اعضای قائم و قطری بخش ویژه خرپا نیز ناحیه حفاظت شده محسوب می‌شوند.

4-4-3-3-10 جوش‌های بحرانی لرزه‌ای

در قاب‌های خمشی خرپایی ویژه، جوش‌های زیر، بحرانی لرزه‌ای محسوب می‌شوند و در مورد آن‌ها باید ضوابط بند 10-3-2-1-6-ب رعایت شود:

الف) جوش‌های شیاری در محل وصله ستون‌ها

ب) جوش‌های اتصال ستون به کف ستون

استثناء: در صورتی که آزمایش‌ها یا تحلیل‌ها نشان دهند که امکان تشکیل مفاصل پلاستیک در پای ستون یا در نزدیکی آن وجود ندارد و ضمناً تحت اثر ترکیبات بارگذاری شامل زلزله تشدیدیافته در پای ستون بر کنش محتمل نیست، جوش‌های این اتصال می‌توانند بحرانی لرزه‌ای محسوب نشوند.

5-4-3-3-10 الزامات مهار جانبی

مهارهای جانبی باید الزامات زیر را تأمین نمایند:

الف) در دو انتهای بخش ویژه خرپا هر دو بال بال‌های بالایی و پایینی باید در مقابل تغییرمکان جانبی مهار شود. مقاومت موردنیاز این مهارها باید برابر مقدار زیر در نظر گرفته شود:

(1-4-3-3-10) Pr=0.06RyFyAfs

در رابطه فوق، Af مساحت بال یال خرپا است.

ب) در محل اتصال بال‌های بالایی و پایینی خرپا، ستون‌های این سیستم باید در مقابل حرکت جانبی مهار شوند. مقاومت موردنیاز این مهار باید برابر مقدار زیر در نظر گرفته شود:

(2-4-3-3-10) Pr=0.02RyPncs

در رابطه فوق، Pnc مقاومت فشاری اسمی یال خرپا در دو انتها است.

ت) در تأمین حداقل سختی موردنیاز مهار جانبی خرپاها، مقاومت موردنیاز خرپا باید برابر مقدار زیر در نظر گرفته شود:

(3-4-3-3-10) Pr=RyPncs
6-4-3-3-10 مقاومت برشی موجود بخش ویژه خرپا

مقاومت برشی موجود بخش ویژه خرپا برابر ϕVn در روش LRFD و برابر Vn/Ω در روش ASD است که در آن ϕ برابر 0.90 و Ω برابر 1.67 بوده و Vn مقاومت برش قائم اسمی بخش ویژه خرپا است که باید برابر مجموع مقادیر زیر در نظر گرفته شود:

الف) مقاومت برشی اسمی یال‌های خرپا براساس ظرفیت خمشی آن‌ها که می‌توان مقدار آن را برابر 4Mnc/Ls در نظر گرفت.

ب) مقاومت برشی اسمی متناظر با مقاومت کششی اسمی و 0.3 مقاومت فشاری اسمی اعضای قطری (در صورت وجود) که مقدار آن را می‌توان برابر (Pnt+0.3Pnc)sinα در نظر گرفت.

تبصره: در بخش ویژه خرپا، مقاومت برشی موردنیاز یال‌های بالا و پایین نباید از 25% مقاومت برشی موردنیاز این بخش کمتر در نظر گرفته شود. هم‌چنین در بخش ویژه خرپا، مقاومت کششی موجود اعضای قطری که برابر ϕtPn در روش LRFD و Pnt در روش ASD بوده و در آن ft برابر 0.90، Ωt برابر 1.67 و Pn برابر FyAg است، نباید کمتر از 2.2 برابر مقاومت کششی موردنیاز این اعضا تحت اثر ترکیبات بارگذاری متعارف باشد.

7-4-3-3-10 مقاومت برشی مورد انتظار بخش ویژه خرپا

مقاومت برشی مورد انتظار قائم بخش ویژه خرپا در وسط آن از رابطه زیر محاسبه می‌شود:

(4-4-3-3-10) 10-3-3-4-4

در رابطه 10-3-3-4-4:

E = مدول الاستیسیته فولاد

I = ممان اینرسی مقطع بال در بخش ویژه خرپا

L = طول دهانه خرپا

Ls = طول بخش ویژه خرپا

Mnc = مقاومت خمشی اسمی مقطع یال در بخش ویژه خرپا

Pnc = مقاومت فشاری اسمی مقطع عضو قطری در بخش ویژه خرپا

Pnt = مقاومت کششی اسمی مقطع عضو قطری در بخش ویژه خرپا

α = زاویه عضو قطری با افق در بخش ویژه خرپا

Ry = نسبت تنش تسلیم مورد انتظار به تنش تسلیم مشخصه فولاد به

αs = برابر 1.0 در روش LRFD و برابر 1.5 در روش ASD

8-4-3-3-10 اتصال اعضای قطری در بخش ویژه خرپا

در بخش ویژه خرپا، مقاومت موردنیاز اتصالات انتهایی اعضای قطری نباید از Ry FyAgs کمتر در نظر گرفته شود.

9-3-3-3-10 وصله ستون‌ها

در قاب‌های خمشی خرپایی ویژه، وصله ستون‌ها باید الزامات بند 10-3-2-12 را تأمین نمایند. در این نوع قاب‌های خمشی، الزامات تکمیلی وصله ستون‌ها باید مشابه این الزامات در قاب‌های خمشی ویژه در نظر گرفته شود.

5-3-3-10 الزامات لرزه‌ای سیستم کنسولی فولادی ویژه (SCCS)

در این نوع سیستم که متشکل از ستون‌های کنسولی با رفتار طره‌ای است، انتظار می‌رود در برابر نیروی جانبی زلزله تغییرشکل‌های فرا ارتجاعی محدودی در اثر خمش در پای ستون‌ها ایجاد شود. در طراحی اعضا و اتصالات این نوع سیستم، علاوه بر الزامات متعارف فصل‌های 10-1 و 10-2 و نیز الزامات لرزه‌ای عمومی بخش 10-3-2، الزامات تکمیلی این بخش نیز باید رعایت شود.

1-5-3-3-10 الزامات تحلیل

در تحلیل این نوع سیستم باربر جانبی لرزه‌ای رعایت ضابطۀ اضافی، الزامی نیست.

2-5-3-3-10 محدودیت ستون‌ها

ستون‌های این سیستم سازه‌ای باید دارای شرایط زیر باشند:

الف) اجزای مقاطع ستون‌ها باید از نوع فشرده لرزه‌ای با محدودیت حداکثر نسبت پهنا به ضخامت برابر λhd مطابق مقادیر جدول 10-3-1 باشند.

ب) در پای ستون در طولی به اندازه دو برابر بزرگترین بعد مقطع، ایجاد هرگونه تغییر در ابعاد و ضخامت اجزای مقطع مجاز نیست. این طول از ستون به عنوان ناحیه حفاظت شده محسوب می‌گردد و ضوابط بند 10-3-2-17 باید در آن رعایت شود.

3-3-3-5-10 مقاومت ستون‌ها

در این نوع سیستم باربر جانبی، کلیه ستون‌ها باید الزامات زیر را تأمین نمایند:

الف) مقطع ستون علاوه بر ترکیبات بارگذاری متعارف، باید برای ترکیبات بارگذاری شامل زلزله تشدید یافته نیز طراحی شود.

ب) در ترکیبات بارگذاری شامل زلزله تشدیدیافته، نسبت مقاومت محوری موردنیاز ستون (Pr) به مقاومت تسلیم محوری موجود ستون (Pyc) نباید از 0.15 بیشتر باشد که در آن:

Pr = مقاومت محوری موردنیاز ستون متناسب با روش طراحی موردنظر

Pyc = مقاومت تسلیم محوری موجود ستون مطابق رابطه Pyc=AgFys

Ag = سطح مقطع ستون

Fy = تنش تسلیم مشخصه فولاد ستون

αs = برابر 1.0 در روش LRFD و برابر 1.5 در روش ASD

4-5-3-3-10 مهار جانبی ستون‌ها

در ارتباط با مهار جانبی ستون‌ها، الزامات زیر باید تأمین شوند:

الف) کلیۀ ستون‌ها باید در انتها و در صورت لزوم در طول خود دارای مهار جانبی باشند به طوری که این مهارهای جانبی بتوانند از تغییرمکان جانبی هر دو بال ستون یا از پیچش کل مقطع به نحو مؤثری جلوگیری نمایند تا از این طریق در تعیین مقاومت خمشی اسمی ستون (Mn)، حالت حدی کمانش جانبی – پیچشی تعیین کننده نباشد.

ب) مهارهای جانبی ستون‌ها باید مطابق بند 10-3-2-8-1 الزامات مهارهای جانبی در قاب‌های خمشی متوسط را تأمین نمایند.

پ) در ستون‌های با مقطع H شکل دارای دو محور تقارن، فاصله مهارهای جانبی نباید از مقدار زیر بیشتر باشد:

(1-5-3-3-10) 10-3-3-5-1

که در آن:

M1 = لنگر در محل مهار جانبی

M2 = لنگر در تکیه‌گاه

ry = شعاع ژیراسیون مقطع ستون حول محور ضعیف

Ry = نسبت تنش تسلیم مورد انتظار به تنش تسلیم مشخصه فولاد

E = مدول الاستیسیته فولاد

Fy = تنش تسلیم مشخصه فولاد

تبصره 1: در رابطه 10-3-3-5-1 نسبت M1/M2 باید برای انحنای ساده مثبت و برای انحنای مضاعف منفی در نظر گرفته شود.

تبصره 2: در صورتی که خمش حول محور ضعیف ستون باشد، در طول و انتهای ستون تعبیه مهار جانبی الزامی نیست.

تبصره 3: در ستون‌های با مقاطع H شکل، در صورتی که طول ستون کوچکتر یا مساوی نصف مقدار به دست آمده از رابطه 10-3-3-5-1 باشد، در انتهای ستون تعبیه مهار جانبی الزامی نیست.

ت) در ستون‌های قوطی شکل نوردشده (HSS) و جعبه‌ای ساخته شده از ورق، فاصله مهارهای جانبی نباید از مقدار زیر بیشتر باشد:

(2-5-3-3-10) 10-3-3-5-2

که در آن:

Lbc = فاصله مهارهای جانبی

M1 = لنگر در محل مهار جانبی

M2 = لنگر در تکیه‌گاه

ry = شعاع ژیراسیون مقطع ستون حول محور ضعیف

Ry = نسبت تنش تسلیم مورد انتظار به تنش تسلیم مشخصه فولاد

E = مدول الاستیسیته فولاد

Fy = تنش تسلیم مشخصه فولاد

تبصره 1: در رابطه 10-3-3-5-2، نسبت M1/M2 باید برای انحنای ساده مثبت و برای انحنای مضاعف منفی در نظر گرفته شود.

تبصره 2: در مقاطع قوطی شکل نوردشده (HSS) و جعبه‌ای ساخته شده از ورق، در صورتی که مقطع به صورت مربع شکل باشد، در طول و انتهای ستون، تعبیه مهار جانبی الزامی نیست.

تبصره 3: در مقاطع دایرهای شکل، در طول و انتهای ستون، تعبیه مهار جانبی الزامی نیست.

تبصره 4: در مقاطع قوطی شکل نوردشده (HSS) و جعبه‌ای ساخته شده از ورق، درصورتی که طول ستون کوچکتر یا مساوی نصف مقدار به دست آمده از رابطه 10-3-3-5-2 باشد، در انتهای ستون، تعبیه مهار جانبی الزامی نیست.

5-5-3-3-10 جوش‌های بحرانی لرزه‌ای

در این نوع سیستم سازه‌ای، جوش‌های زیر، بحرانی لرزه‌ای محسوب می‌شوند و در مورد آن‌ها باید ضوابط بند 10-3-2-1-6-ب رعایت شوند:

الف) جوش‌های شیاری در محل وصله ستون‌ها

ب) جوش‌های اتصال ستون به کف ستون

6-5-3-3-10 کف ستون‌ها

در این نوع سیستم سازه‌ای کف ستون‌ها باید الزامات بند 10-3-2-14 را تأمین نماید. هم‌چنین در تکیه‌گاه ستون‌ها، کلیه عناصر مقاوم در مقابل واژگونی (از قبیل کف ستون، شالوده، پداستال و …) باید در برابر ترکیبات بارگذاری شامل زلزله تشدیدیافته طراحی و جزئیات‌بندی شوند.

7-5-3-3-10 وصله ستون‌ها

وصله ستون‌ها باید الزامات بند 10-3-2-12 را تأمین نمایند. وصله مستقیم ستون‌ها باید با استفاده از جوش شیاری با نفوذ کامل انجام شود. اگر وصله ستون‌ها غیرمستقیم باشد، باید الزامات زیر نیز تأمین شوند:

الف) مقاومت‌های موجود وصله نباید از مقاومت‌های موردنیاز ستون تحت اثر ترکیبات بارگذاری شامل زلزله تشدید یافته کمتر باشد.

ب) مقاومت محوری موجود هر جزء وصله نباید از RyFybitis کمتر در نظر گرفته شود، که در آن:

Fy = تنش تسلیم مشخصه فولاد ستون

Ry = نسبت تنش تسلیم مورد انتظار به تنش تسلیم مشخصه فولاد ستون

bi = پهنای جزء ستون کوچکتر وصل شونده

ti = ضخامت جزء ستون کوچکتر وصله شونده

αs = برابر 1.0 در روش LRFD و برابر 1.5 در روش ASD

همه فصول

مشخصات آیین‌نامه

تعداد فصول: 39 فصل
سال انتشار: 1401
ویرایش: پنجم

جستجو در آیین‌نامه‌ها

ناشرین آیین‌نامه‌ها

مقررات ملی ساختمان

قوانین، آیین‌نامه‌ها، شیوه‌نامه‌ها، دستورالعمل‌ها و بخشنامه‌های ساختمان

نظام مهندسی ساختمان

ضوابط، بخشنامه‌ها، نشریه‌ها و معیار‌های فنی نظام مهندسی ساختمان

مرکز تحقیقات راه، مسکن و شهرسازی

قوانین، آیین‌نامه‌ها و بخشنامه‌های مرکز تحقیقات راه، مسکن و شهرسازی

سازمان برنامه و بودجه کشور

ضوابط، بخشنامه‌ها و قوانین سازمان برنامه و بودجه کشور

سازمان ملی استاندارد ایران

استانداردهای کمیته‌های مختلف سازمان ملی استاندارد ایران

سازمان تامین اجتماعی کشور

مقررات و آیین‌نامه‌های درمانی و بیمه‌ای سازمان تامین اجتماعی کشور

ضوابط فنی و اجرایی شهرداری‌ها

ضوابط، بخشنامه‌ها، نشریه‌ها و معیار‌های فنی شهرداری‌های کشور

ضوابط فنی و اجرایی وزارت بهداشت

ضوابط، بخشنامه‌ها، نشریه‌ها و معیار‌های فنی وزارت بهداشت

ضوابط فنی و اجرایی وزارت نیرو-آبفا

ضوابط، بخشنامه‌ها، نشریه‌ها و معیار‌های فنی وزارت نیرو-آبفا

ضوابط سازمان بنادر و دریانوردی

ضوابط، بخشنامه‌ها، نشریه‌ها و معیار‌های فنی سازمان بنادر و دریانوردی

ضوابط فنی و اجرایی وزارت نفت

ضوابط، بخشنامه‌ها، نشریه‌ها و معیار‌های فنی وزارت نفت

قوانین و مقررات مالیاتی کشور

قوانین، مقررات، ضوابط و دستورالعمل‌هاى مالیاتى سازمان مالیات كشور

تازه‌ترین فصل‌ها

واژه‌نامه

مبحث هفدهم مقررات ملی ساختمان (سامانه گاز طبیعی در ساختمان)

پیوست ۶ دسته‌بندی نوع دستگاه‌‌‌های گازسوز

مبحث هفدهم مقررات ملی ساختمان (سامانه گاز طبیعی در ساختمان)

پیوست 5 شکل‌ها

مبحث هفدهم مقررات ملی ساختمان (سامانه گاز طبیعی در ساختمان)

پیوست 4 جدول‌ها

مبحث هفدهم مقررات ملی ساختمان (سامانه گاز طبیعی در ساختمان)

پیوست 3 ایمنی و ضوابط بهره‌برداری و نگهداری از سیستم لوله‌‌کشی گاز

مبحث هفدهم مقررات ملی ساختمان (سامانه گاز طبیعی در ساختمان)

پیوست 2 نمونه محاسبات

مبحث هفدهم مقررات ملی ساختمان (سامانه گاز طبیعی در ساختمان)

پیوست 1 راهنمای ایمنی

مبحث هفدهم مقررات ملی ساختمان (سامانه گاز طبیعی در ساختمان)