آیین‌نامه‌ها

صفحه اصلی / آیین‌نامه‌ها / مبحث دهم مقررات ملی ساختمان (طرح و اجرای ساختمان‌های فولادی)
8-2-10 الزامات طراحی اعضای مختلط

8-2-10 الزامات طراحی اعضای مختلط

این بخش به الزامات طراحی اعضای مختلط متشکل از نیمرخ فولادی نوردشده یا ساخته شده از ورق محاط در بتن یا دایره‌ای شکل توخالی، قوطی شکل (HSS) و جعبه‌ای پر شده با بتن می‌پردازد که به واسطه برشگیرهای متصل به فولاد و مدفون در بتن یا به واسطه چسبندگی طبیعی با یکدیگر به طور توأم در تحمل بار عمل می‌کنند. هم‌چنین به الزامات طراحی تیرهای خمشی فولادی با دال بتنی متکی بر آن می‌پردازد که توسط برشگیرهای فولادی به هم اتصال یافته‌اند. علاوه بر موارد فوق، این بخش به الزامات طراحی تیرهای خمشی با دهانه‌های ساده یا پیوسته با دال بتنی متکی بر آن همراه با برشگیرهای فولادی، تیرهای خمشی فولادی محاط در بتن یا پر شده با بتن می‌پردازد که با یا بدون استفاده از پایه‌های موقت اجرا می‌شوند. مقررات این بخش تحت عناوین زیر ارائه می‌گردد:

  • 1-8-2-10 الزامات عمومی
  • 2-8-2-10 اعضای محوری فشاری و کششی با مقطع مختلط
  • 3-8-2-10 اعضای خمشی با مقطع مختلط
  • 4-8-2-10 برش در مقاطع مختلط
  • 5-8-2-10 اعضای با مقطع مختلط تحت اثر ترکیب نیروی محوری و لنگر خمشی
  • 6-8-2-10 انتقال بار در اعضای با مقطع مختلط محاط در بتن و پر شده با بتن
  • 7-8-2-10 برشگیرها در تیرهای مختلط با مقطع فولادی و دال بتنی متکی بر آن
  • 8-8-2-10 برشگیرها در ستون‌ها و سایر اعضای مختلط
1-8-2-10 الزامات عمومی

در تعیین آثار بار در اعضا و اتصالات سازه‌هایی که دارای اعضای با مقطع مختلط هستند، لازم است توجه کافی به میزان مؤثر بودن بخش‌های مختلف مقطع عضو، در هر مرحله از افزایش بارگذاری مبذول گردد. الزامات مربوط به پوشش بتن روی میلگردها، وصله میلگردها، فواصل میلگردها، خم میلگردها و مقاومت برشی اجزای بخش بتنی باید با توجه به الزامات مبحث نهم مقررات ملی ساختمان (طرح و اجرای ساختمان‌های بتن‌آرمه) تعیین گردند، مگر آنکه در این بخش الزامات خاصی برای آن‌ها مقرر شده باشد.

1-1-8-2-10 مقاومت اسمی اعضای با مقطع مختلط

مقاومت اسمی اعضای با مقطع مختلط براساس یکی از روش‌های زیر تعیین می‌گردد:

  • روش توزیع تنش پلاستیک
  • روش سازگاری کرنش
  • روش توزیع تنش الاستیک
  • روش تنش- کرنش مؤثر

در محاسبه مقاومت اسمی اعضای با مقطع مختلط، از مقاومت کششی بتن صرف نظر می‌شود. آثار کمانش موضعی اجزای بخش فولادی در محاسبه مقاومت اسمی اعضای مختلط با مقطع فولادی پرشده با بتن باید مطابق ضوابط این بخش در نظر گرفته شود. در اعضای مختلط با مقطع مختلط المحاط در بتن، لزومی به در نظر گرفتن آثار کمانش موضعی نیست.

الف) روش توزیع تنش پلاستیک

در این روش مقاومت اسمی اعضای با مقطع مختلط براساس فرضیات زیر محاسبه می‌شود:

1- تنش در اجزای بخش فولادی و میلگردها، هم در ناحیه فشاری و هم در ناحیه کششی به تنش یکنواخت Fy می‌رسد که در آن Fy تنش تسلیم اجزای بخش فولادی و میلگردها است.

2- تنش در اجزای بخش بتنی در ناحیه فشاری به تنش یکنواخت 0.85f’c می‌رسد که در آن به f’c تنش فشاری مشخصه نمونه استوانه‌ای بتن است. برای اعضای با مقطع مختلط دایره‌ای شکل توخالی که با بتن پر شده باشند، به دلیل محصورشدگی بتن توسط مقطع فولادی می‌توان تنش بتن در ناحیه فشاری را 0.95f’c در نظر گرفت.

ب) روش سازگاری کرنش

در این روش مقاومت اسمی اعضای با مقطع مختلط با این فرض صورت می‌گیرد که تغییرات کرنش در مقطع مختلط به صورت خطی بوده به طوری که مقدار حداکثر کرنش در ناحیه فشاری اجزای بتنی برابر 0.003 باشد. روابط تنش- کرنش مصالح فولادی، میلگردها و بتنی باید براساس نتایج آزمایش تعیین گردد یا برای تعیین آن‌ها به نتایج منتشر شده برای مصالح توسط مدارک معتبر رجوع شود. روش سازگاری کرنش عموماً در تعیین مقاومت اسمی اعضای با مقطع مختلط نامنظم و نیز در حالت‌هایی که اجزای فولادی مقطع دارای رفتار الاستو پلاستیک نیستند، مورد استفاده قرار می‌گیرد.

پ) روش توزیع تنش الاستیک

در این روش مقاومت اسمی اعضای با مقطع مختلط با در نظر گرفتن جمع آثار تنش‌های الاستیک برای حالت حدی آستانه تسلیم اجزای فولادی یا خردشدگی اجزای بتنی محاسبه می‌شود.

ت) روش تنش- کرنش مؤثر

در این روش مقاومت اسمی اعضای با مقطع مختلط با در نظر گرفتن سازگاری کرنش و رابطه تنش- کرنش مؤثر برای اجزای بتنی و فولادی متأثر از آثار کمانش موضعی، تسلیم، اندرکنش و محصورشدگی محاسبه می‌شود.

2-1-8-2-10 محدودیت‌های مصالح در اعضای با مقطع مختلط

مشخصات مصالح بتنی، میلگرد و بخش فولادی اعضای با مقطع مختلط باید دارای شرایط زیر باشند:

1- برای محاسبه مقاومت موجود اعضای با مقطع مختلط، تنش فشاری مشخصه نمونه استوانه‌ای بتن (f’c) برای بتن‌های با وزن مخصوص معمولی نباید از 20MPa کمتر و از 70MPa بیشتر و برای بتن‌های با وزن مخصوص سبک نباید از 20MPa کمتر و از 40MPa بیشتر باشد. مصالح بتنی با مقاومت بیشتر را می‌توان برای استفاده آن‌ها در سختی اعضا به کار برد، لیکن در محاسبه مقاومت اسمی اعضای با مقطع مختلط نمی‌توان به آن تکیه کرد، مگر آنکه استفاده از آن‌ها توسط آزمایش یا تحلیل توجیه داشته باشد.

2- در محاسبه مقاومت موجود اعضای با مقطع مختلط، تنش تسلیم مشخصه بخش فولادی و میلگردها به ترتیب نباید بیشتر از 460 و 550 مگاپاسکال در نظر گرفته شوند.

3-1-8-2-10 طبقه‌بندی مقاطع مختلط پرشده با بتن از منظر کمانش موضعی

برای نیروی محوری فشاری و لنگر خمشی در اعضای با مقاطع مختلط پرشده با بتن، مقاطع فولادی به سه گروه زیر طبقه‌بندی می‌شوند:

  • مقاطع با اجزای فشرده
  • مقاطع با اجزای غیرفشرده
  • مقاطع با اجزای لاغر

برای نیروی محوری فشاری، مقطع با اجزای فشرده به مقاطعی گفته می‌شوند که در آن‌ها نسبت پهنا به ضخامت کلیه اجزای تشکیل‌دهنده مقطع فولادی از λp مشخص شده در جدول 10-2-8-1 بیشتر نباشد. مقاطع با اجزای غیرفشرده به مقاطعی گفته می‌شوند که در آن‌ها نسبت پهنا به ضخامت یک یا چند جزء مقطع فولادی از λp مشخص شده در جدول 10-2-8-1 بیشتر بوده اما از λr مشخص شده در جدول 10-2-8-1 کوچک‌تر باشد. مقاطع با اجزای لاغر به مقطعی گفته می‌شوند که در آن‌ها نسبت پهنا به ضخامت حداقل یکی از اجزای مقطع فولادی از λr مشخص شده در جدول 10-2-8-1 بزرگ‌تر باشد؛ اما نسبت پهنا به ضخامت هیچیک از آن‌ها از حداکثر نسبت پهنا به ضخامت مجاز مشخص شده در جدول 10-2-8-1 بزرگ‌تر نباشد.

برای لنگر خمشی، مقاطع با اجزای فشرده به مقاطعی گفته می‌شوند که در آن‌ها نسبت پهنا به ضخامت اجزای فشاری بال و جان مقطع فولادی از λp مشخص شده در جدول 10-2-8-2 بیشتر نباشد. مقاطع با اجزای غیرفشرده به مقاطعی گفته می‌شوند که در آن‌ها نسبت پهنا به ضخامت یک یا چند جزء فشاری بال و جان مقطع فولادی از λp مشخص شده در جدول 10-2-8-2 بیشتر بوده اما از λr مشخص شده در جدول 10-2-8-2 کوچک‌تر باشد. مقاطع با اجزای لاغر به مقاطعی گفته می‌شوند که در آن‌ها نسبت پهنا به ضخامت حداقل یکی از اجزای فشاری بال و جان مقطع فولادی از λr مشخص شده در جدول 10-2-8-2 بزرگ‌تر باشد؛ اما نسبت پهنا به ضخامت هیچیک از آن‌ها از حداکثر نسبت پهنا به ضخامت مجاز مشخص شده در جدول 10-2-8-2 بزرگ‌تر نباشد. برای تعاریف h, d, b و t مشخص شده در جدول‌های 10-2-8-1 و 10-2-8-2 به بخش 10-2-2 مراجعه شود.

جدول 10-2-8-1: نسبت‌های پهنا به ضخامت اجزای فولادی مقطع مختلط پرشده با بتن در اعضای تحت اثر نیروی محوری فشاری

حالت شرح اجزاء نسبت پهنا به ضخامت حداکثر نسبت پهنا به ضخامت حداکثر نسبت مجاز مقاطع فولادی نمونه
λp (غیرفشرده/فشرده) λr (لاغر/غیرفشرده)
1 بال‌ها و جان‌های مقاطع قوطی شکل (HSS) و جعبه‌ای با ضخامت یکنواخت b/t و h/t 2.26-E-Fy 3-E-Fy 5-E-Fy مقطع قوطی
2 مقاطع دایره‌ای شکل D/t 0.15-E-Fy 0.19-E-Fy 0.31-E-Fy مقطع دایره‌ای

جدول 10-2-8-2: نسبت‌های پهنا به ضخامت اجزای فولادی مقطع مختلط پر شده با بتن در اعضای تحت اثر لنگر خمشی

حالت شرح اجزاء نسبت پهنا به ضخامت حداکثر نسبت پهنا به ضخامت حداکثر نسبت مجاز مقاطع فولادی نمونه
λp (غیرفشرده/فشرده) λr (لاغر/غیرفشرده)
1 بال‌های مقاطع قوطی شکل (HSS) و جعبه‌ای با ضخامت یکنواخت b/t 2.26-E-Fy 3-E-Fy 5-E-Fy بال‌های مقاطع قوطی
2 جان‌های مقاطع قوطی شکل (HSS) و جعبه‌ای با ضخامت یکنواخت h/t 3-E-Fy 5.7-E-Fy 5.7-E-Fy جان‌های مقاطع قوطی
3 مقاطع دایره‌ای شکل D/t 0.09-E-Fy 0.31-E-Fy 0.31-E-Fy مقطع دایره‌ای
4-1-8-2-10 سختی اعضای با مقطع مختلط پرشده با بتن و محاط در بتن و تعیین مقاومت‌های موردنیاز

در تحلیل و طراحی برای تأمین پایداری، مقاومت‌های موردنیاز اعضای با مقطع مختلط پرشده با بتن یا محاط در بتن، باید با توجه به الزامات مندرج در بخش 10-2-1 و موارد زیر محاسبه شوند:

– صلبیت خمشی اسمی اعضای تحت اثر بار محوری فشاری خالص باید برابر که در بند 10-2-8-2 ارائه شده است، در نظر گرفته شود.

– سختی محوری اسمی اعضای تحت اثر بار محوری فشاری خالص باید برابر مجموع سختی محوری بخش‌های فولادی و بتنی مقطع مختلط در نظر گرفته شود.

– سختی محوری اعضای تحت اثر بار محوری کششی خالص باید برابر سختی محوری بخش فولادی مقطع مختلط در نظر گرفته شود.

تبصره: در تحلیل و طراحی به روش تحلیل مستقیم مقدار τb باید برابر 0.8 در نظر گرفته شود.

2-8-2-10 اعضای محوری با مقطع مختلط

اعضای محوری با مقطع مختلط به دو گروه زیر طبقه‌بندی می‌شوند:

الف) اعضای محوری با مقطع مختلط محاط در بتن که در آن مقطع فولادی نورد شده یا ساخته شده از ورق در بتن سازه‌ای محاط است (شکل 10-2-8-1- الف).

ب) اعضای محوری با مقطع مختلط پرشده با بتن که در آن مقطع فولادی نوردشده یا ساخته شده از ورق و مقطع دایره‌ای شکل توخالی یا مقطع قوطی شکل (HSS) با بتن سازه‌ای پر شده است (شکل 10-2-8-1-ب و پ).

اعضای محوری با مقطع مختلط

شکل 10-2-8-1: اعضای محوری با مقطع مختلط

1-2-8-2-10 اعضای محوری با مقطع مختلط محاط در بتن

الف) محدودیت‌ها

اعضای محوری با مقطع مختلط محاط در بتن باید محدودیت‌های زیر را برآورده نمایند:

1- سطح مقطع هسته فولادی باید حداقل یک درصد مساحت کلی مقطع مختلط باشد.

2- پوشش بتنی هسته فولادی باید به کمک میلگردهای طولی و تنگهای عرضی یا مارپیچ مسلح شوند. حداقل قطر تنگهای عرضی 10 میلی‌متر است. چنانچه از تنگ عرضی با قطر 10 میلی‌متر استفاده شود، حداکثر فاصله مرکز تا مرکز تنگها در راستای طولی عضو محوری 300 میلی‌متر و چنانچه از تنگهای عرضی با قطر 12 میلی‌متر یا بیشتر استفاده شود، حداکثر فاصله مرکز تا مرکز تنگها 400 میلی‌متر است. درهرحال حداکثر فاصله تنگهای عرضی در راستای طولی نباید از نصف بعد کوچکتر مقطع مختلط بیشتر باشد.

3- نسبت مساحت میلگردهای طولی به مساحت کل مقطع مختلط (ρs) باید حداقل 0.004 باشد.

(1-8-2-10) 20-2-8-1

که در آن:

Ag = سطح مقطع کل مقطع مختلط

Asr = مجموع سطح مقطع آرماتورهای طولی

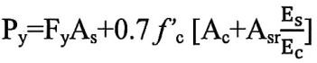
ب) مقاومت فشاری موجود

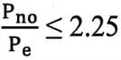
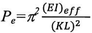
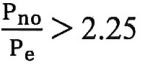
برای مقاطع مختلط محاط در بتن و دارای دو محور تقارن، مقاومت فشاری موجود در روش LRFD برابر ϕcPn و در روش ASD برابر Pn-Ωc است که در آن Pn مقاومت فشاری اسمی مقطع بوده و باید براساس حالت حدی کمانش خمشی با توجه به لاغری عضو به شرح زیر تعیین شود:

 

(1) برای Pno-Pe-2.25:

(2-8-2-10) 20-2-8-2

(2) برای Pno-Pe-2.25:

(3-8-2-10) Pn=0.877Pe
(4-8-2-10) Pno=FyAs+FysrAsr+0.85f'cAc
(5-8-2-10) 20-2-8-5

که در آن:

Ac= سطح مقطع بخش بتنی

As = سطح مقطع بخش فولادی

Ec= مدول الاستیسیته بتن. در این بخش می‌توان از رابطه Ec=0.043wc1.5fc محاسبه نمود که در آن Wc جرم مخصوص بتن برحسب کیلوگرم بر مترمکعب، مقاومت مشخصه فشاری نمونه استوانه‌ای بتن بر حسب مگاپاسکال و Ec بر حسب مگاپاسکال است.

EI)eff) = صلبیت خمشی مؤثر مقطع مختلط مطابق رابطه زیر:

(6-8-2-10) (EI)eff =EsIs+EsIsr+C1EcIc

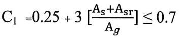
که در آن C1 ضریبی است که برای تعیین سختی مؤثر عضو فشاری با مقطع مختلط محاط در بتن از رابطه زیر تعیین می‌شود:

(7-8-2-10) 20-2-8-7

Es= مدول الاستیسیتۀ فولاد

Fy= تنش تسلیم مشخصۀ فولاد

Fysr= تنش تسلیم مشخصۀ میلگردهای فولادی

Ic= ممان اینرسی بخش بتنی نسبت به محور خنثى الاستیک مقطع مختلط

Isr= ممان اینرسی میلگردها نسبت به محور خنثى الاستیک مقطع مختلط

K= ضریب طول مؤثر عضو محوری فشاری مختلط

L= طول مهارنشده عضو محوری فشاری مختلط

KL =Lc

Wc = جرم مخصوص بتن برحسب کیلوگرم بر مترمکعب با محدودیت:

– برای بتن‌های با وزن مخصوص معمولی 2300 kg/m3<wc≤2500 kg/m3
– برای بتن‌های با وزن مخصوص سبک 1400 kg/m3≤wc≤2300 kg/m3

تبصره: مقاومت فشاری موجود اعضای مختلط محاط در بتن لزومی ندارد کمتر از مقاومت فشاری مقطع فولادی تنها در نظر گرفته شود.

پ) مقاومت کششی

مقاومت کششی موجود اعضای محوری کششی با مقطع مختلط محاط در بتن در روش LRFD برابر ϕtPn و در روش ASD برابر Pn-Ωt است که در آن Pn مقاومت کششی اسمی بوده و باید براساس حالت حدی تسلیم کششی از رابطه زیر تعیین شود:

(8-8-2-10) Pn=FyAs+FysrAsr

که در آن، Fy , Asr , As و Fysr در بند 10-2-8-1- ب تعریف شده‌اند.

ت) انتقال بار

– الزامات انتقال بار برای اعضای محوری با مقطع مختلط محاط در بتن باید با توجه به الزامات بند 10-2-8-6 تعیین گردد.

ث) جزئیات‌بندی اعضای محوری با مقطع مختلط محاط در بتن

1- الزامات مربوط به پوشش بتن روی میلگردها، وصله میلگردها، فواصل میلگردها از یکدیگر و خم میلگردها باید با توجه به الزامات مبحث نهم مقررات ملی ساختمان تعیین گردد.

2- فاصله آزاد بین میلگردها و مقطع فولادی باید از 1.5 برابر قطر میلگرد طولی و 40 میلی‌متر بزرگتر باشد.

3- به طور کلی در اعضای فشاری با مقطع مختلط محاط در بتن لزومی به در نظر گرفتن الزامات کمانش موضعی برای اجزای فولادی نیست، لیکن در صورتی که مقطع فولادی از دو یا تعداد بیشتری مقطع فولادی تشکیل شده باشد، مقاطع فولادی باید توسط بست که می‌تواند از تسمه، تیشی، ناودانی یا مقاطع دیگر باشد، به یکدیگر متصل شوند تا از کمانش هر یک از مقاطع فولادی به تنهایی در اثر بارهای وارد بر آن‌ها قبل از سفت شدن بتن جلوگیری به عمل آید.

2-2-8-2-10 اعضای محوری با مقطع مختلط پرشده با بتن

الف) محدودیت‌ها

اعضای محوری با مقطع مختلط پر شده با بتن باید محدودیت‌های زیر را برآورده نمایند:

1- مساحت بخش فولادی باید حداقل یک درصد مساحت کل مقطع مختلط باشد.

2- نسبت پهنا به ضخامت در اجزای مقطع فولادی باید مطابق با الزامات بند 10-2-8-1-3 تعیین شود.

3- در اعضای محوری با مقطع مختلط پرشده با بتن، لزومی به تأمین حداقل میلگرد طولی نبوده و در صورت استفاده از میلگردهای طولی نیازی به تنگهای عرضی برای تأمین مقاومت نیست.

ب) مقاومت فشاری موجود

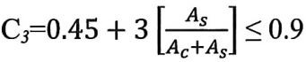
مقاومت فشاری موجود اعضای فشاری با مقطع مختلط پرشده با بتن دارای دو محور تقارن باید براساس الزامات بند 10-2-8-2-1-ب و با اصلاحات زیر تعیین شود:

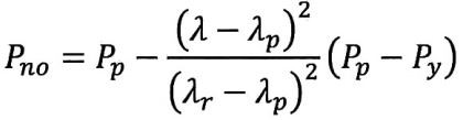
1- برای مقاطع با اجزای فشرده:

(9-8-2-10) Pno=Pp

که در آن:

(10-8-2-10) 20-2-8-10

برای مقاطع قوطی شکل (HSS) و جعبه‌ای و 0.95 برای مقاطع دایره‌ای شکل توخالی

2- برای مقاطع با اجزای غیرفشرده:

(11-8-2-10) 20-2-8-11

که در آن:

Pp= مطابق رابطه 10-2-8-10

(12-8-2-10) 20-2-8-12

λ= نسبت پهنا به ضخامت اجزای مقطع فولادی

λp= حد لاغری برای اجزای فشرده مطابق جدول 10-2-8-1

λr= حد لاغری برای اجزای غیرفشرده مطابق جدول 10-2-8-1

3- برای مقاطع با اجزای لاغر:

(13-8-2-10) 20-2-8-13

که در آن:

(14-8-2-10) 20-2-8-14
(15-8-2-10) (EI)eff =EsIs+EsIsr+C3EcIc

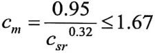
که در آن، C3 ضریبی است که مقدار آن برای تعیین سختی مؤثر عضو فشاری با مقطع مختلط پر شده با بتن از رابطه زیر تعیین می‌شود:

(16-8-2-10) 20-2-8-16

تبصره: مقاومت فشاری موجود اعضای با مقطع مختلط پر شده با بتن لزومی ندارد کمتر از مقاومت فشاری مقطع فولادی تنها در نظر گرفته شود.

پ) مقاومت کششی موجود

مقاومت کششی موجود اعضای محوری کششی با مقطع مختلط پرشده با بتن، در روش LRFD مساوی ϕtPn و در روش ASD برابر Pn-Ωt است که در آن Pn مقاومت کششی اسمی بوده و مقدار آن باید براساس حالت حدی تسلیم کششی از رابطه زیر تعیین شود:

(17-8-2-10) 20-2-8-17

که در آن، Fy , Asr, As و Fysrدر بند 10-2-8-2-1-ب تعریف شده‌اند.

ت) انتقال بار

برای اعضای محوری با مقطع مختلط پرشده با بتن، الزامات انتقال بار باید براساس ضوابط بند 10-2-8-6 تعیین شود.

3-8-2-10 اعضای خمشی با مقطع مختلط

اعضای خمشی با مقطع مختلط به سه گروه زیر طبقه‌بندی می‌شوند:

الف) اعضای خمشی با مقطع فولادی و دال بتنی متکی بر آن به همراه برشگیر

ب) اعضای خمشی با مقطع مختلط محاط در بتن

پ) اعضای خمشی با مقطع مختلط پر شده با بتن

1-3-8-2-10 پهنای مؤثر و حداقل ضخامت دال بتنی

الف) پهنای مؤثر پهنای مؤثر دال بتنی برابر با مجموع پهناهای مؤثر در هر طرف محور مقطع فولادی بوده و با تیر فولادی به کمک برشگیرها به صورت مختلط عمل می‌نماید. پهنای مؤثر دال بتنی در هر طرف تیر نباید از کوچکترین مقادیر زیر بزرگتر در نظر گرفته شود:

1- یک هشتم طول دهانه تیر (مرکز تا مرکز تکیه‌گاه‌های تیر)

2- نصف فاصله محور تیر تا محور تیر مجاور برای تیرهای مختلط میانی

3- فاصله محور تیر تا لبه آزاد دال بتنی برای تیرهای مختلط کناری

ب) حداقل ضخامت دال بتنی

حداقل ضخامت دال بتنی در حالت بدون استفاده از ورق‌های عرشه که با مقطع فولادی به صورت مختلط عمل می‌نماید، برابر 80 میلی‌متر است.

2-3-8-2-10 مقاومت در برابر بارهای حین اجرا

در صورتی که در اعضای خمشی با مقطع مختلط، در هنگام بتن‌ریزی دال بتنی در زیر تیر فولادی از پایه موقت استفاده نشود، عضو فولادی تا قبل از رسیدن بتن به 75 درصد تنش فشاری مشخص نمونه استوانه‌ای (f’c)، باید به تنهایی دارای مقاومت کافی برای تحمل وزن بتنِ‌تر و بارهای حین اجرا (نظیر بارهای ناشی از قالب‌بندی) و وزن خود باشد. مقاومت خمشی عضو فولادی تنها باید براساس الزامات بخش 10-2-5 تعیین شود.

3-3-8-2-10 مقاومت خمشی موجود اعضای مختلط با مقطع فولادی و دال بتنی متکی بر آن

الف) در نواحی لنگر خمشی مثبت

در نواحی لنگر خمشی مثبت، مقاومت خمشی موجود اعضای مختلط با مقطع فولادی و دال بتنی متکی بر آن با عملکرد مختلط کامل در روش LRFD برابر ϕbM+n و در روش ASD برابر Mn+-Ωb است که باید براساس حالت حدی تسلیم به شرح زیر تعیین شود:

  ϕb=0.9 (LRFD)   و   Ωb=1.67 (ASD)

الف-1) در صورتی که h-tw-3.76-E-Fy باشد، Mn+ مطابق شکل 10-2-8-2 باید براساس توزیع تنش پلاستیک بر روی مقطع مختلط تعیین شود.

که در آن:

tw = ضخامت جان تیر فولادی

h= فاصله بین شروع کردی ریشه جان به بال برای نیمرخ‌های نورد شده و فاصله آزاد بین دو بال برای مقاطع ساخته شده از ورق

توزیع تنش پلاستیک در مقطع مختلط در حالت عملکرد مختلط کامل

شکل 10-2-8-2: توزیع تنش پلاستیک در مقطع مختلط در حالت عملکرد مختلط کامل

در صورتی که مقاومت برشگیرهای به صورت گل‌میخ یا ناودانی به کار رفته در حدفاصل حداکثر لنگر خمشی مثبت و لنگر خمشی صفر (ΣQn)، از کوچکترین دو مقدار AsFy و 0.85f’cAc کمتر باشد، در این صورت تیر دارای عملکرد مختلط ناقص خواهد بود. در این حالت برای محاسبه مقاومت خمشی اسمی موجود، ابتدا باید یک بلوک فشاری فرضی به ارتفاع a از بالاترین تار مقطع جایگزین بخش بتن شود، سپس مقدار a از رابطه ΣQn/0.85f'cbeff محاسبه شده و پس از آن از طریق تعادل استاتیکی، مقدار لنگر خمشی اسمی تیر تعیین شود (شکل 10-2-8-3).

توزیع تنش پلاستیک در مقطع مختلط در حالت عملکرد مختلط ناقص

شکل 10-2-8- 3: توزیع تنش پلاستیک در مقطع مختلط در حالت عملکرد مختلط ناقص

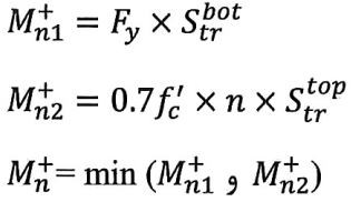
الف–2) درصورتی که h-tw-3.76-E-Fy ، Mn+ باید براساس روی هم‌گذاری تنش‌های الاستیک و با فرض مقطع تبدیل یافته، براساس تنش‌های حاصل از بارهای قبل از سفت شدن بتن روی دورترین تار مقطع فولادی و بارهای پس از سفت شدن بتن در دورترین تارهای مقطع مختلط تعیین شود. در این حالت مقدار Mn+ برابر کوچک‌ترین دو مقدار به دست آمده از Mn1+ و Mn2+ خواهد بود که در آن، Mn1+ لنگر خمشی نظیر تنش Fy در دورترین تار تحتانی مقطع مختلط و Mn2+ لنگر خمشی نظیر تنش 0.8f'c در دورترین تار فوقانی مقطع مختلط بوده و به شرح زیر محاسبه می‌شوند:

  • در صورت استفاده از پایه‌های موقت (مطابق شکل 10-2-8-4):
(18-8-2-10) 20-2-8-18
  • در صورت عدم استفاده از پایه‌های موقت (مطابق شکل‌های 10-2-8-5):
(19-8-2-10) 20-2-8-19

Mr0 = لنگر ناشی از بارهای قبل از سفت شدن بتن است که مقدار آن در روش LRFD برابر Mu0/ϕ و در روش ASD برابر ΩMa0 است.

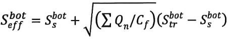
تبصره: درصورتی که مقاومت برشگیرهای به صورت گل‌میخ یا ناودانی به کار رفته در حدفاصل حداکثر لنگر مثبت و لنگر صفر (ΣQn)، از کوچکترین دو مقدار AsFy و 0.85f'cAc کمتر باشد، در این حالت برای محاسبه مقاومت خمشی اسمی موجود، اساس مقطع مؤثر متناظر با تار تحتانی مقطع مختلط باید برابر Seff(bot) و اساس مقطع مؤثر متناظر با تار فوقانی مقطع مختلط باید برابر Seff(top) در نظر گرفته شود که در آن Str(bot) اساس مقطع الاستیک مقطع تبدیل یافته نسبت به دور‌ترین تار تحتانی مقطع، Str(top) اساس مقطع الاستیک مقطع تبدیل یافته نسبت به دور‌ترین تار فوقانی مقطع و Ss(bot) اساس مقطع الاستیک مقطع فولادی تنها نسبت به دورترین تار تحتانی آن است.

توزیع الاستیک تنش در مقطع مختلط تبدیل یافته در صورت استفاده از پایه‌های موقت

شکل 10-2-8-4: توزیع الاستیک تنش در مقطع مختلط تبدیل یافته در صورت استفاده از پایه‌های موقت

توزیع الاستیک تنش در مقطع مختلط تبدیل یافته در صورت عدم استفاده از پایه‌های موقت

شکل 10-2-8-5: توزیع الاستیک تنش در مقطع مختلط تبدیل یافته در صورت عدم استفاده از پایه‌های موقت

ب) در نواحی لنگر خمشی منفی

در نواحی لنگر خمشی منفی، مقاومت خمشی موجود اعضای مختلط و دال بتنی متکی بر آن با عملکرد مختلط کامل، در روش LRFD برابر ϕbMn- در روش ASD برابر Mn-Ωb بوده که در آن ϕb برابر 0.9، Ωb برابر 1.67 و Mn- را می‌توان به طور محافظه کارانه برابر مقاومت خمشی اسمی منفی مقطع فولادی تنها براساس ضوابط بخش 10-2-5 در نظر گرفت. در صورت اقناع شرایط زیر مقاومت خمشی اسمی منفی مقطع مختلط را می‌توان براساس توزیع تنش پلاستیک و با منظور کردن میلگردهای موجود در دال بتنی در محدوده پهنای مؤثر تیر محاسبه نمود:

1- اجزای مقطع فولادی فشرده و دارای اتکای جانبی کافی مطابق الزامات بخش 10-2-5 باشد.

2- در ناحیة لنگر خمشی منفی، دال بتنی به کمک برشگیرهای کافی به تیر فولادی وصل شده باشد.

3- در محدوده عرض مؤثر دال بتنی، میلگردهای موازی با محور تیر به طور کامل الزامات مربوط به چسبندگی و طول مهاری را مطابق مبحث نهم مقررات ملی ساختمان برآورده نمایند.

در صورتی که ΣQn≥AsrFyr باشد، در ناحیه لنگر خمشی منفی عملکرد مختلط کامل بوده و مقدار Mn- می‌تواند مطابق شکل 10-2-8-6-الف، براساس توزیع تنش پلاستیک تعیین شود. اما اگر ΣQn<AsrFyr باشد، در ناحیۀ لنگر خمشی منفی عملکرد مختلط ناقص بوده و مقدار Mn- می‌تواند مطابق شکل 10-2-8-6-ب تعیین گردد. در هر حال، در ناحیه لنگر خمشی منفی در صورتی می‌توان از عملکرد مختلط ناقص استفاده کرد که ΣQn-AsrFyr کمتر از 0.25 نباشد.

مقاومت خمشی منفی اعضای مختلط با مقطع فولادی و دال بتنی متکی بر آن

شکل 10-2-8-6: مقاومت خمشی منفی اعضای مختلط با مقطع فولادی و دال بتنی متکی بر آن

پ) مقاومت خمشی موجود اعضای مختلط با مقطع فولادی و دال بتنی متکی بر آن به همراه عرشه فولادی

مقاومت خمشی موجود اعضای مختلط با مقطع فولادی و دال بتنی متکی بر آن به همراه عرشه فولادی باید براساس الزامات بند 10-2-8-3-3- الف برای مقاومت خمشی موجود مثبت و براساس الزامات بند 10-2-8-3-3-ب برای مقاومت خمشی موجود منفی و با رعایت الزامات زیر تعیین گردد:

پ-1) ملاحظات و محدودیت‌ها

1- ارتفاع اسمی عرشه فولادی (hr) نباید از 75 میلی‌متر بیشتر باشد. پهنای متوسط کنگره‌های پر شده با بتن (w)، نباید کمتر از 50 میلی‌متر باشد، لیکن در محاسبات نباید بزرگ‌تر از حداقل پهنای آزاد (خالص) در نزدیکی سطح فوقانی عرشه فولادی در نظر گرفته شود.

2- دال بتنی باید به وسیله برشگیرهای از نوع گل‌میخ با قطر حداکثر 20 میلی‌متر به مقطع فولادی متصل شوند. گل میخ‌ها باید از طریق عرشه فولادی یا به طور مستقیم به مقطع فولادی جوش شوند. پس از نصب، ارتفاع گل میخ‌ها که از بالای عرشه فولادی اندازه‌گیری می‌شود، نباید از 40 میلی‌متر و نصف ضخامت دال بتنی روی عرشه کوچک‌تر باشد.

3- پوشش بتن روی گل میخ‌ها نباید از 15 میلی‌متر کمتر باشد.

4- ضخامت دال بتنی در قسمت فوقانی عرشه فولادی نباید کمتر از 55 میلی‌متر باشد.

5- عرشه فولادی باید در فواصلی حداکثر 450 میلی‌متر به مقطع فولادی و سایر اعضای تکیه‌گاهی مهار شوند. این مهارها می‌توانند برشگیرهای از نوع گل میخ، ترکیبی از گل میخ‌ها و جوش‌های نقطه‌ای یا هر راهکار فنی دیگر باشد.

ملاحظات و محدودیت‌های عرشه فولادی برای حالت یک گل‌میخ در پهنا

شکل 10-2-8-7: ملاحظات و محدودیت‌های عرشه فولادی برای حالت یک گل‌میخ در پهنا

پ- 2) عرشه فولادی که کنگره‌های آن‌ها عمود بر محور تیر است

در تعیین مشخصات هندسی مقطع مختلط و نیز در محاسبه Ac باید از بتن موجود در زیر سطح فوقانی عرشه فولادی صرفنظر شود (شکل 10-2-8-8).

عرشه فولادی که کنگره‌های آن‌ها عمود بر محور تیر است

شکل 10-2-8-8: عرشه فولادی که کنگره‌های آن‌ها عمود بر محور تیر است

پ-3) عرشه فولادی که کنگره‌های آن‌ها موازی با محور تیر است

در تعیین مشخصات هندسی مقطع مختلط و نیز در محاسبه سطح مقطع بخش بتنی (Ac)، می‌توان از بتن موجود در داخل کنگره‌های عرشه فولادی استفاده نمود. هم‌چنین عرشه فولادی را باید در روی تیر فولادی تکیه‌گاهی از هم جدا کرد به طوری که در روی بال مقطع فولادی یک ماهیچه بتنی تشکیل شود.

چنانچه ارتفاع اسمی عرشه فولادی (hr) برابر 40 میلی‌متر یا بزرگتر باشد، پهنای متوسط کنگره‌های پر شده با بتن در روی تیر تکیه‌گاهی نباید کمتر از 50 میلی‌متر برای حالت یک گل‌میخ در پهنا باشد. این پهنای حداقل برای هر گل‌میخ اضافی در پهنا، باید به اندازه 4 برابر قطر گل‌میخ افزایش یابد.

عرشه فولادی که کنگره‌های آن‌ها موازی با محور تیر است

شکل 10-2-8-9: عرشه فولادی که کنگره‌های آن‌ها موازی با محور تیر است

ت) مقاومت برشی موردنیاز بین تیر فولادی و دال بتنی

ت-1) در نواحی لنگر خمشی مثبت

برش افقی موردنیاز کل (Vh) بین تیر فولادی و دال بتنی در فاصله نقطۀ حداکثر لنگر خمشی مثبت و نقطۀ لنگر خمشی صفر در حالت عملکرد مختلط کامل باید برابر کوچکترین دو مقدار به دست آمده از حالتهای حدی زیر در نظر گرفته شود:

1- خردشدگی بتن مطابق رابطه زیر:

(20-8-2-10) Vh=0.85f’cAc

2- تسلیم کششی مقطع فولادی مطابق رابطه زیر:

(21-8-2-10) Vh=FyAs

تبصره: در ناحیۀ لنگر خمشی مثبت (فاصله بین نقطه حداکثر لنگر خمشی مثبت و نقطۀ لنگر خمشی صفر) چنانچه مقدار ΣQn مساوی یا بیش از Vh باشد تیر دارای عملکرد مختلط کامل، کمتر از Vh و مساوی با بیشتر از 0.25Vh باشد تیر دارای عملکرد مختلط ناقص و کمتر از 0.25Vh باشد تیر بدون عملکرد مختلط در نظر گرفته می‌شود.

در روابط فوق

Ac= سطح مقطع دال بتنی در محدوده پهنای مؤثر

As= مساحت مقطع فولادی

ΣQn= مقاومت اسمی برشگیرهای تعبیه شده در فاصله بین نقطة لنگر خمشی صفر و نقطه با حداکثر لنگر خمشی مثبت

ت-2) در نواحی لنگر خمشی منفی

در تیرهای پیوسته و خمشی که در آن میلگردهای طولی در نواحی لنگر خمشی منفی به صورت مختلط با مقطع فولادی عمل می‌نمایند، برش افقی موردنیاز کل (Vh-) بین دال بتنی و تیر فولادی در فاصله نقطه حداکثر لنگر خمشی منفی و نقطة لنگر خمشی صفر باید براساس حالت حدی تسلیم میلگردهای داخل بتن در پهنای مؤثر دال بتنی از رابطه زیر تعیین شود:

(22-8-2-10) 20-2-8-22

که در آن:

Asr= سطح مقطع میلگردهای طولی تعبیه شده در عرض مؤثر دال

Fyr= تنش تسلیم مشخصه میلگردها

تبصره: در ناحیۀ لنگر خمشی منفی (فاصله بین نقطه حداکثر لنگر خمشی منفی و نقطۀ لنگر خمشی صفر) چنانچه مقدار ΣQn مساوی یا بیش از Vh- باشد تیر دارای عملکرد مختلط کامل، کمتر از Vh- و مساوی با بیش از 0.25Vh- باشد تیر دارای عملکرد مختلط ناقص و کمتر از 0.25Vh- باشد تیر بدون عملکرد مختلط در نظر گرفته می‌شود.

4-3-8-2-10 تغییرشکل‌های قائم و تغییرمکان‌های جانبی اعضای خمشی مختلط

برای محاسبه تغییرشکل‌های قائم و تغییرمکان‌های جانبی در تحلیل الاستیک سیستم‌های شامل اعضای با مقطع مختلط، ممان اینرسی مؤثر اعضای با مقطع مختلط می‌تواند بر اساس رابطه زیر تعیین شود:

(23-8-2-10) 20-2-8-23

که در آن:

Ipos= ممان اینرسی مؤثر عضو خمشی مختلط در ناحیه خمشی مثبت براساس مقطع تبدیل یافته در حالت عملکرد مختلط کامل

Ineg= ممان اینرسی مؤثر عضو خمشی مختلط در ناحیه خمشی منفی بر اساس مقطع تبدیل یافته در حالت عملکرد مختلط کامل

α و β= ضرایب وزنی مورد استفاده در محاسبه ممان اینرسی مؤثر مقطع مختلط عضو خمشی که باید به شرح زیر در نظر گرفته شود:

– برای تیرهای دو سر ساده، مقدار α برابر 1.0 و مقدار β برابر صفر

– برای تیرهای پیوسته تحت بارهای ثقلی، مقدار α برابر 0.6 و مقدار β برابر 0.4

– برای تیرهای خمشی مختلط واقع در قاب‌های خمشی تحت اثر بارهای ثقلی، مقدار α برابر 0.6 و مقدار β برابر 0.4

– برای تیرهای خمشی مختلط واقع در قاب‌های خمشی تحت اثر بارهای جانبی، مقدار هر دو ضریب α و β برابر 0.5

چنانچه عملکرد مختلط بین بخش بتنی و فولادی مطابق بند 10-2-8-3-3-ت به صورت ناقص باشد، در رابطه 10-2-8-18 برای مقادیر Ipos و Ineg، باید مطابق روابط زیر از مقادیر مؤثر آن‌ها استفاده شود:

(24-8-2-10) 20-2-8-24
(25-8-2-10) 20-2-8-25

که در آن:

ΣQn = مقدار مقاومت برشی اسمی برشگیرهای به صورت گل‌میخ یا ناودانی تعبیه شده در حدفاصل لنگر حداکثر مثبت و لنگر صفر در رابطه 10-2-8-19 و مقدار مقاومت برشی اسمی برشگیرهای به صورت گل‌میخ یا ناوداتی تعبیه شده در حدفاصل لنگر حداکثر منفی ولنگر صفر در رابطه 10-2-8-20

Cf = حداقل دو مقدار AsFy و 0.85f'cAc

Is = ممان اینرسی مقطع تیر فولادی تنها

5-3-8-2-10 مقاومت خمشی موجود مقاطع مختلط محاط در بتن

مقاومت خمشی موجود مقاطع مختلط محاط در بتن، مساوی ϕbMn در روش LRFD و مساوی Mn-Ωb در روش ASD است که در آن:

  ϕb=0.9 (LRFD)   و   Ωb=1.67 (ASD)

مقاومت خمشی اسمی (Mn)، باید براساس یکی از روش‌های زیر تعیین شود:

1- در صورت تعبی برشگیرهای کافی در سرتاسر طول عضو مختلط، براساس یکی از روش‌های توزیع تنش پلاستیک (شکل 10-2-8-10) یا سازگاری کرنش‌ها بر روی مقطع مختلط

2- براساس روی هم‌گذاری تنش‌های الاستیک با فرض مقطع تبدیل یافته برای حالت حدی اولین نقطه تسلیم در مقطع مختلط (مطابق شکل 10-2-8-11 در حالت بدون استفاده از پایه‌های موقت و مطابق شکل 10-2-8-12 در حالت استفاده از پایه‌های موقت)

3- براساس توزیع تنش پلاستیک بر روی مقطع فولادی تنها (Mp)

مقاومت خمشی مقاطع مختلط محاط در بتن براساس روش توزیع تنش پلاستیک

شکل 10-2-8-10: مقاومت خمشی مقاطع مختلط محاط در بتن براساس روش توزیع تنش پلاستیک

مقاومت خمشی مقاطع مختلط محاط در بتن براساس روی هم‌گذاری تنشهای الاستیک با فرض مقطع تبدیل یافته در حالت بدون استفاده از پایه‌های موقت

شکل 10-2-8-11: مقاومت خمشی مقاطع مختلط محاط در بتن براساس روی هم‌گذاری تنشهای الاستیک با فرض مقطع تبدیل یافته در حالت بدون استفاده از پایه‌های موقت

مقاومت خمشی مقاطع مختلط محاط در بتن براساس روی هم‌گذاری تنشهای الاستیک با فرض مقطع تبدیل یافته در حالت استفاده از پایه‌های موقت

شکل 10-2-8-12: مقاومت خمشی مقاطع مختلط محاط در بتن براساس روی هم‌گذاری تنشهای الاستیک با فرض مقطع تبدیل یافته در حالت استفاده از پایه‌های موقت

6-3-8-2-10 مقاومت خمشی موجود مقاطع مختلط پرشده با بتن

مقاومت خمشی موجود مقاطع مختلط پرشده با بتن در روش LRFD برابر ϕbMn و در روش ASD برابر (Mnb) است که در آن ϕb برابر 0.9 و Ωb برابر 1.67 بوده و Mn مقاومت خمشی اسمی مقطع مختلط است که باید با توجه به شرایط اجزای مقطع از منظر کمانش موضعی، به شرح زیر تعیین شود:

1- برای مقاطع فشرده

در این مقاطع مقاومت خمشی اسمی (Mn)، از رابطه زیر تعیین می‌شود:

(26-8-2-10) Mn=MP

که در آن:

MP= لنگر خمشی پلاستیک مقطع مختلط. مطابق شکل 10-2-8-13 لنگر خمشی متناظر با توزیع تنشی که در آن مقطع فولادی در کشش و فشار به تسلیم کامل رسیده و تنش در ناحیه فشاری بتن برابر با 0.85f'c است.

2- برای مقاطع غیرفشرده

در این مقاطع مقاومت خمشی اسمی (Mn)، از رابطه زیر تعیین می‌شود:

(27-8-2-10) 20-2-8-27

که در آن:

λ = نسبت پهنا به ضخامت اجزای مقطع فولادی (هرکدام شرایط بحرانی‌تری ایجاد نماید)

λp = حد لاغری برای بال و جان فشرده مطابق جدول 10-2-8-2

λr = حد لاغری برای بال و جان غیرفشرده مطابق جدول 10-2-8-2

MP= لنگر پلاستیک مقطع مختلط

My = لنگر تسلیم مقطع مختلط. مطابق شکل 10-2-8-14 لنگر متناظر با تسلیم کامل بال کششی و بخشی از جان کششی و شروع تسلیم در تار فشاری بخش فولادی و هم‌چنین توزیع خطی تنش با حداکثر مقدار 0.7f'c در دورترین تار فشاری، در ناحیه فشاری بخش بتنی است.

3- برای مقاطع با اجزای لاغر

مطابق شکل 10-2-8-15 در این گونه مقاطع Mn باید براساس توزیع خطی تنش بر روی مقطع مختلط با حداکثر مقادیر تنش Fcr مطلق رابطه 10-2-8-14 در دورترین تار فشاری بخش فولادی و تنش Fy در دورترین تار کششی بخش فولادی (با توزیع خطی تنش) و هم‌چنین توزیع خطی تنش با حداکثر مقدار 0.7f'c در دورترین تار فشاری بخش بتنی و مقدار صفر در محل محور خنثی، تعیین گردد.

محاسبه لنگر خمشی پلاستیک مقطع مختلط پرشده با بتن برای مقاطع فشرده

شکل 10-2-8- 13: محاسبه لنگر خمشی پلاستیک مقطع مختلط پرشده با بتن برای مقاطع فشرده

محاسبه لنگر خمشی تسلیم مقطع مختلط پرشده با بتن برای مقاطع غیرفشرده

شکل 10-2-8-14: محاسبه لنگر خمشی تسلیم مقطع مختلط پرشده با بتن برای مقاطع غیرفشرده

محاسبه لنگر خمشی مقطع مختلط در صورتی که مقطع فولادی دارای اجزای لاغر باشد

شکل 10-2-8-15: محاسبه لنگر خمشی مقطع مختلط در صورتی که مقطع فولادی دارای اجزای لاغر باشد

4-8-2-10 مقاومت برشی موجود اعضای با مقطع مختلط

مقاومت برشی موجود اعضای با مقطع مختلط به شرح زیر تعیین می‌گردد:

الف) اعضای مختلط با مقطع فولادی و دال بتنی متکی بر آن

در اعضای مختلط با مقطع فولادی و دال بتنی متکی بر آن، با و بدون عرشه‌های فولادی، مقاومت برشی موجود برابر ϕvVn در روش LRFD و برابر Vnv در روش ASD است که در آن مقاومت برشی اسمی (Vn) باید بر اساس مقطع فولادی تنها و مطابق الزامات بخش 10-2-6 تعیین شود.

ب) اعضای مختلط محاط در بتن

در اعضای مختلط محاط در بتن، مقاومت برشی موجود برابر ϕvVn در روش LRFD و برابر Vnv در روش ASD است و می‌تواند براساس یکی از روش‌های زیر محاسبه شود:

1- براساس مقاومت برشی موجود مقطع فولادی تنها بر مبنای الزامات بخش 10-2-6

2- براساس مقاومت برشی موجود بخش بتنی مقطع مختلط (بتن و میلگردهای عرضی) مطابق الزامات مبحث نهم مقررات ملی ساختمان با منظور نمودن ϕv=0.75 و Ωv=2

3- براساس مقاومت برشی اسمی مقطع فولادی تنها بر مبنای الزامات بخش 10-2-6 بعلاوه مقاومت برشی اسمی میلگردهای عرضی مطابق الزامات مبحث نهم مقررات ملی ساختمان با منظور نمودن ϕv=0.75 و Ωv=2 برای هر دو بخش مقطع فولادی و میلگردهای عرضی

پ) اعضای مختلط پرشده با بتن

در اعضای مختلط پرشده با بتن، مقاومت برشی موجود برابر ϕvVn در روش LRFD و برابر Vnv در روش ASD است که در آن ϕv برابر 0.9 و Ωv برابر 1.67 بوده و Vn از رابطه زیر محاسبه می‌شود:

(28-8-2-10) 20-2-8-28

که در آن:

Av = سطح مقطع مؤثر برشی بخش فولادی مقطع مختلط پرشده با بتن که مقدار آن برای مقاطع قوطی شکل (HSS) و جعبه‌ای ساخته شده از ورق باید برابر مجموع مساحت دو جان (مطابق بخش 10-2-6) و برای مقاطع دایره‌ای شکل باید برابر 2As/π در نظر گرفته شود.

Ac = مساحت بخش بتنی مقطع مختلط

As = مساحت بخش فولادی مقطع مختلط

Kc= برای کلیه مقاطع چنانچه Mr/Vrd≤0.7 باشد باید برابر یک، برای مقاطع مختلط قوطی شکل (HSS) و جعبه‌ای ساخته شده از ورق با مقطع فشرده چنانچه Mr/Vrd<0.5 باشد باید برابر 10، برای مقاطع مختلط دایره‌ای شکل با مقطع فشرده چنانچه Mr/Vrd<0.5 باشد باید برابر 9 و برای مقاطع غیرفشرده و لاغر باید برابر یک در نظر گرفته شود. برای مقاطع فشرده با شرایط 0.5≤Mr/Vrd<0.7 می‌توان از درون یابی خطی استفاده نمود.

d = عمق کلی مقطع در راستای برش

Mr = مقاومت خمشی موردنیاز ستون

Vr = مقاومت برشی موردنیاز ستون

f'c = تنش فشاری مشخصه نمونه استوانه‌ای بتن بر حسب مگاپاسکال

5-8-2-10 ترکیب نیروی محوری و لنگر خمشی در اعضای با مقطع مختلط

اثر همزمان نیروی محوری و لنگرهای خمشی در اعضای با مقطع مختلط باید با رعایت الزامات زیر در نظر گرفته شود:

(1) اثر همزمان نیروی محوری و لنگرهای خمشی در اعضای با مقطع مختلط باید با در نظر گرفتن پر الزامات تحلیل و طراحی برای تأمین پایداری مطابق الزامات بخش 10-2-1 صورت گیرد.

(2) مقاومت محوری و خمشی موجود باید بر مبنای الزامات بندهای 10-2-8-2 و 10-2-8-3 تعیین شوند.

(3) برای اعضای مختلط محاط در بتن و اعضای مختلط پرشده با بتن با اجزای فولادی فشرده، اثر همزمان نیروی محوری و لنگرهای خمشی می‌تواند براساس الزامات بخش 10-2-7-2 یا براساس یکی از روش‌های قید شده در بند 10-2-8-1-1 در نظر گرفته شود.

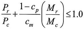
(4) برای اعضای مختلط پرشده با بتن با اجزای فولادی غیرفشرده یا لاغر، اثر هم زمان نیروی محوری و لنگرهای خمشی باید براساس الزامات بخش 10-2-7-2 یا براساس روش تنش-کرنش مؤثر معرفی شده در بند 10-2-8-1-1-ت و یا از طریق روابط زیر تعیین شود:

  • چنانچه Pr-Pc-Cp:
  Pr-Pc-1-cp-cm-Mr-Mc-1.0
  • چنانچه Pr-Pc-Cp:
  1-cm-cp-Pr-Pc-Mr-Mc-1.0

– که در آن:

Pr = مقاومت محوری موردنیاز عضو با مقطع مختلط

Pc = مقاومت محوری موجود عضو با مقطع مختلط

Mr = مقاومت خمشی موردنیاز عضو با مقطع مختلط

Mc = مقاومت خمشی موجود عضو با مقطع مختلط

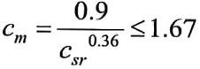
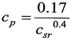
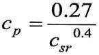
cp و cm = ضرایبی هستند که بر اساس جدول 10-2-8-3 و مقدار csr تعیین می‌شوند. در این محاسبات مقدار csr از رابطه زیر به دست می‌آید:

(29-8-2-10) csr=(AsFy+AsrFyr)/(Acf'c)

جدول 10-2-8-3: ضرایب cp و cm

نوع شکل مقطع مختلط پرشده با بتن  ضریب cp  ضریب cm
csr≥0.5 csr<0.5
مستطیلی شکل cp=0.17-csr0.4 cm=1.06-csr0.11-1.0 cm=0.9-csr0.36-1.67
دایره‌ای شکل cp=0.27-csr0.4 cm=1.10-csr0.08-1.0 cm=0.95-csr0.32-1.67
6-8-2-10 انتقال بار در اعضای با مقطع مختلط محاط در بتن و پرشده با بتن
1-6-8-2-10 الزامات عمومی

هنگامی که اعضای با مقطع مختلط محاط در بتن یا پر شده با بتن تحت اثر نیروی محوری خارجی قرار می‌گیرند، در مرز بخش بتنی و فولادی، برش طولی موردنیاز (V’r)، متناسب با نحوه انتقال بار به مقطع مختلط، براساس الزامات بند 10-2-8-6-2 تعیین می‌گردد. مقاومت برش طولی موجود در روش LRFD برابر ϕRn و در روش ASD برابر Rn/Ω است و براساس نوع مکانیزم انتقال نیرو، مطابق الزامات بند 10-2-8-6-3 تعیین می‌شود. مقاومت برش طولی موجود باید بزرگتر یا مساوی مقاومت برش طول موردنیاز (V’r) باشد.

2-6-8-2-10 مقاومت برش طولی موردنیاز در مقاطع مختلط محاط در بتن و پرشده با بتن

مقاومت برشی طولی موردنیاز (V’r) در مقاطع مختلط محاط در بتن و پرشده با بتن به شرح زیر تعیین می‌شود:

الف) هنگامی که نیروی خارجی مستقیماً به مقطع فولادی وارد می‌شود

در این حالت مقاومت برش طولی موردنیاز که باید به بخش بتنی انتقال یابد (V’r)، از رابطه محاسبه می‌شود:

(30-8-2-10) V’r=P’r(1-FyAs/Pno)

که در آن:

As = مساحت بخش فولادی مقطع مختلط

Fy = تنش تسلیم مشخصه مصالح مقطع فولادی

Pno = مقاومت محوری فشاری اسمی مقطع مختلط بدون در نظر گرفتن آثار طول مؤثر، مطابق رابطه 10-2-8-4 برای مقاطع مختلط محاط در بتن و روابط 10-2-8-9 و 10-2-8-11 برای مقاطع مختلط پرشده با بتن دارای اجزای فولادی فشرده و غیرفشره (حسب مورد)

P’r= نیروی خارجی وارد بر مقطع، براساس ترکیبات بارگذاری LRFD و ASD در تراز طبقات

ب) هنگامی که نیروی خارجی مستقیماً به بتن وارد می‌شود

در این حالت مقاومت برش طولی موردنیاز که باید به بخش فولادی منتقل گردد (V’r)، از روابط زیر تعیین می‌گردد:

1- برای مقاطع مختلط محاط در بتن و مقاطع پرشده با بتنی که اجزای فولادی مقطع، فشرده و غیرفشرده هستند:

(31-8-2-10) V’r=P’r(FyAs/Pno)

2- برای مقاطع مختلط پرشده با بتن با اجزای فولادی لاغر

(32-8-2-10) V’r=P’r(FcrAs/Pno)

که در آن:

Fcr: تنش کمانشی بحرانی اجزای لاغر بخش فولادی در مقطع مختلط مطابق رابطه 10-2-8-14

Pno: مقاومت محوری فشاری اسمی مقطع مختلط بدون در نظر گرفتن آثار طول مؤثر، مطابق رابطه 10-2-8-4 برای مقاطع مختلط محاط در بتن و رابطه 10-2-8-9 برای مقاطع مختلط پرشده با بتن

پ) هنگامی که نیروی خارجی به طور همزمان به بخش فولادی و بخش بتنی وارد شود

در این حالت مقاومت برش طولی موردنیاز (V’r)، از طریق تعادل نیروها در مقطع مختلط تعیین می‌گردد.

3-6-8-2-10 مقاومت برش طولی موجود در مقاطع مختلط محاط در بتن و پرشده با بتن

مقاومت برش طولی موجود اعضای با مقطع مختلط محاط در بتن براساس یکی از مکانیزمهای انتقال نیرو شامل برشگیرهای تعبیه شده و اتکای مستقیم و مقاومت برش طولی موجود اعضای با مقطع مختلط پرشده با بتن براساس یکی از مکانیزم‌های انتقال نیرو شامل چسبندگی بین بتن و فولاد، برشگیرهای تعبیه شده و اتکای مستقیم، براساس الزامات این بند تعیین می‌گردد. به‌کارگیری هم زمان مکانیزم‌های انتقال نیرو مجاز نیست.

الف) مقاومت برش طولی موجود بر اساس مکانیزم چسبندگی بین بتن و فولاد

هنگامی که در مقطع مختلط محاط در بتن یا پر شده با بتن مقاومت برش طولی موردنیاز از طریق مکانیزم چسبندگی بین بتن و فولاد انتقال می‌یابد، مقاومت برش طولی موجود در روش LRFD مساوی ϕRn و در روش ASD مساوی Rn/Ω بوده و به صورت زیر تعیین می‌گردد:

(33-8-2-10) 20-2-8-33

که در آن:

Fin = تنش اسمی پیوستگی بر حسب مگاپاسکال که برابر است با:

برای مقاطع توخالی جعبه‌ای مستطیلی: Fin=2100t/H2≤0.7
برای مقاطع لوله‌ای شکل: Fin=5300t/D2≤1.4

D= قطر خارجی مقاطع لوله‌ای بر حسب میلی‌متر

H = حداکثر بعد عرضی مقطع توخالی جعبه‌ای بر حسب میلی‌متر

Lin = طول مقرر بار که انتقال برش از طریق آن صورت می‌گیرد، شامل عمق اتصال تیر به ستون بعلاوه 2 برابر حداقل بعد ستون در پایین و بالای ناحیه اتصال برحسب میلی‌متر

Rn = مقاومت اسمی پیوستگی

Pb = محیط فصل مشترک پیوستگی بتن و فولاد مقطع مختلط بر حسب میلی‌متر

t= ضخامت مقطع توخالی فولادی

ب) مقاومت برش طولی موجود براساس مکانیزم برشگیرهای تعبیه شده

هنگامی که در مقطع مختلط محاط در بتن یا پر شده با بتن مقاومت برش طولی موردنیاز از طریق مکانیزم برشگیرهای تعبیه شده انتقال می‌یابد، مقاومت برش طولی موجود مساوی مقاومت برشی موجود گل میخ‌های فولادی یا ناودانی شکل بوده و از رابطه زیر به دست می‌آید:

(34-8-2-10) Rc=∑Qcv

که در آن

ΣQcv: جمع مقاومت برشی موجود برشگیرهای به صورت گل‌میخ یا ناودانی در طول مقرر بار که در روش LRFD برابر ΣϕQcv و در روش ASD برابر ΣQcv/Ω بوده و مطابق الزامات بند 10-2-8-9 تعیین می‌گردد.

پ) مقاومت برش طولی موجود براساس مکانیزم اتکای مستقیم

هنگامی که در مقطع مختلط محاط در بتن یا پر شده با بتن مقاومت برش طولی موردنیاز از طریق مکانیزم اتکای مستقیم در محدوده عمق اتصال یا زیر آن و در داخل محدوده طول مقرر بار انتقال می‌یابد، مقاومت برش طولی موجود مساوی مقاومت اتکایی موجود بتن بوده و در روش LRFD مساوی ϕBRn و در روش ASD مساوی RnB است که براساس حالت حدی خردشدگی بتن از رابطه زیر به دست می‌آید:

(35-8-2-10) 20-2-8-35

که در آن، Alسطح بارگذاری شده بتن است.

4-6-8-2-10 جزئیات‌بندی

الف) اعضای مختلط محاط در بتن

مکانیزم انتقال بار باید در طول ناحیه‌ای که انتقال برش از طریق آن صورت می‌گیرد، توزیع گردد. این طول به عنوان طول مقرر بار نام‌گذاری شده و نباید از ارتفاع اتصال تیر به ستون بعلاوه دو برابر حداقل بعد عرضی مقطع محاط شده در بالا و پایین این ناحیه اتصال بیشتر گردد. برشگیرهایی که برای انتقال برش طولی در طول مقرر بار به کار می‌روند، باید حداقل در دو وجه مقطع فولادی به صورت متقارن نسبت به محور مقطع فولادی تعبیه شوند. فواصل برشگیرها در محدوده داخل و خارج طول مقرر بار باید الزامات بند 10-2-8-9-ج را برآورده نماید.

ب) اعضای با مقطع مختلط پرشده با بتن

مکانیزم انتقال بار باید در طول ناحیه‌ای که انتقال برش از طریق آن صورت می‌گیرد، توزیع گردد. این طول به عنوان طول مقرر بار نام‌گذاری شده و نباید از ارتفاع اتصال تیر به ستون بعلاوه دو برابر حداقل بعد عرضی مقطع مستطیلی فولادی توخالی یا دو برابر قطر مقطع فولادی دایره‌ای شکل در بالا و پایین این ناحیه اتصال بیشتر گردد. فواصل برشگیرها در محدوده داخل و خارج طول مقرر بار باید الزامات بند 10-2-8-9-ج را برآورده نماید.

ناحیه انتقال و طول مقرر بار

شکل 10-2-8-16: ناحیه انتقال و طول مقرر بار

7-8-2-10 تیرهای جمع کننده و دیافراگم‌های مختلط

دیافراگم‌های کف و اجزای مرزی در بخش خارجی آن باید براساس ترکیبات بارگذاری متعارف شامل زلزله طرح مطابق مبحث ششم مقررات ملی ساختمان طراحی شوند. هم‌چنین کلیه دیافراگم‌ها باید الزامات زیر را تأمین نمایند:

1- برای انتقال بار بین دیافراگم‌ها و اعضای مرزی، اجزای جمع کننده و اعضای افقی سیستم باربر جانبی، پیش‌بینی جزئیات مناسب الزامی است.

2- در دال‌های بتنی متکی بر تیر فولادی، مقاومت برشی اسمی دیافراگم در داخل صفحه، برای حالت بدون استفاده از عرشه فولادی باید براساس کل ضخامت دال بتنی و برای حالت استفاده از عرشۀ فولادی براساس ضخامت دال بتنی در روی کنگره ورق عرشه (بدون در نظر گرفتن بتن داخل کنگره‌ها) تعیین شود.

8-8-2-10 برشگیرها در تیرهای مختلط با مقطع فولادی و دال بتنی متکی بر آن

الف) الزامات عمومی

1- در تیرها، برشگیرهای موردنیاز در هر یک از طرفین نقطة لنگر حداکثر مثبت یا منفی را می‌توان بین آن نقطه و نقاط مجاوری که دارای لنگر صفر هستند، به طور یکنواخت توزیع نمود. لیکن مقدار برشگیر موجود بین هر بار متمرکز و نزدیک‌ترین نقطه دارای لنگر صفر، باید جهت حصول لنگر حداکثر موردنیاز در نقطه اعمال بار کافی باشد.

2- در تیرهای مختلط قطر برشگیرهای از نوع گل‌میخ باید مساوی با کوچکتر از 20 میلی‌متر باشد. فقط برای انتقال نیروهای برشی دیافراگم‌هایی از نوع دال بتنی توپر به تیر می‌توان از برشگیرهای از نوع گل‌میخ تا قطر 25 میلی‌متر استفاده نمود. هم‌چنین قطر گل میخ‌ها نباید از 2.5 برابر ضخامت فلز پایه‌ای که گل‌میخ به آن جوش می‌شود، بیشتر شود، مگر اینکه گل‌میخ درست در امتداد جان مقطع فولادی قرار گیرد.

3- طول برشگیرهای از نوع گل‌میخ نباید از چهار برابر قطر آن کوچکتر باشد.

4- در اعضای مختلط با مقاطع فولادی و دال بتنی متکی بر آن، پوشش بتن روی برشگیرهای از نوع گل‌میخ نباید از 15 میلی‌متر و روی برشگیرهای از نوع ناودانی از 20 میلی‌متر کوچکتر باشد.

5- در دال‌های بتنی توپر متکی بر تیر فولادی ارتفاع برشگیرهای از نوع گل‌میخ و ناودانی نباید از نصف ضخامت دال بتنی کوچکتر در نظر گرفته شود.

ب) مقاومت برشی اسمی برشگیرهای از نوع گل‌میخ کلاهک دار

مقاومت برشی اسمی برشگیرهای از نوع گل‌میخ از رابطه زیر تعیین می‌شود:

(36-8-2-10) 20-2-8-36

که در آن:

Asa= سطح مقطع گل میخ

Ec= مدول الاستیسیته بتن

f'c = تنش فشاری مشخصه نمونه استوانه‌ای بتن

Fu= تنش کششی نهایی مصالح گل میخ

Rp و Rg = ضرایب اصلاحی مطابق جدول 10-2-8-4

جدول 10-2-8-4: مقادیر Rg و Rp

حالت Rg Rp
1- مقاطع مختلط بدون استفاده از عرشه فولادی 1 0.75
2- مقاطع مختلط با استفاده از عرشه فولادی کنگره‌های موازی با محور تیر فولادی Wr/hr≥1.5 1 0.75
Wr/hr<1.5 **0.85 0.75
کنگره‌ها عمود بر محور تیر فولادی تعداد گل‌میخ در یک کنگره در محل تقاطع با تیر برابر با 1 1 *0.6
تعداد گل‌میخ در یک کنگره در محل تقاطع با تیر برابر با 2 0.85 *0.6
تعداد گل‌میخ در یک کنگره در محل تقاطع با تیر برابر با 3 0.7 *0.6

در جدول فوق:

hr = ارتفاع اسمی کنگره ورق عرشه

wr = پهنای متوسط بتن داخل کنگره فولادی

* در صورتی که فاصله بین لبه بدنه گل‌میخ تا نصف ارتفاع عرشه فولادی بیشتر از 50 میلی‌متر باشد، این مقدار می‌تواند تا 0.75 افزایش یابد.

** برای گل‌میخ تکی

پ) مقاومت برشی اسمی برشگیرهای از نوع ناودانی

مقاومت برشی اسمی برشگیرهای از نوع ناودانی که بر بال فوقانی تیر فولادی متصل شده و در داخل دال بتنی قرار می‌گیرند، بدون توجه به جهت قرارگیری ناودانی در طول تیر از رابطه زیر تعیین می‌شود:

(37-8-2-10) 20-2-8-37

که در آن:

tf = ضخامت متوسط بال ناودانی

tw = ضخامت جان ناودانی

la = طول ناودانی

f'c = تنش فشاری مشخصه نمونه استوانه‌ای بتن

Ec = مدول الاستیسیته بتن

برشگیرهای از نوع ناودانی

شکل 10-2-8-17: برشگیرهای از نوع ناودانی

مقاومت حاصل از رابطه 10-2-8-36 از طریق جوش ناودانی به بال تیر با در نظر گرفتن برون محوری ناودانی تأمین می‌گردد. در صورت تأمین کلیه محدودیت‌های زیر، طراحی جوش اتصال ناودانی به بال تیر می‌تواند بدون در نظر گرفتن اثر برون محوری ناودانی انجام‌پذیرد:

  • نسبت ضخامت بال به جان ناودانی بزرگتر از 1 و کوچکتر از 5.5 باشد.
  • نسبت ارتفاع ناودانی به ضخامت جان از 8 بزرگ‌تر باشد.
  • نسبت طول ناودانی به ضخامت بال آن از 6 بزرگ‌تر باشد.
  • نسبت شعاع ناحیة اتصال بین بال و جان ناودانی به ضخامت جان ناودانی بزرگتر از 0.5 و کوچک‌تر از 1.6 باشد.

ت) تعداد برشگیرهای موردنیاز

تعداد برشگیرهای موردنیاز در حدفاصل مقطع با لنگر خمشی حداکثر مثبت یا منفی و مقطع مجاور با لنگر صفر، از تقسیم برش افقی به دست آمده از رابطه بندهای 10-2-8-3-3-ت-1 و 10-2-8-3-3-ت-2 بر مقاومت برشی اسمی یک برشگیر به دست آمده از روابط 10-2-8-35 یا 10-2-8-36 (حسب مورد) محاسبه می‌گردد. در حدفاصل یک بار متمرکز و نقطه مجاور با لنگر خمشی صفر باید به تعداد کافی برشگیر تعبیه شود تا ظرفیت خمشی لازم برای تحمل خمش حداکثر در محل بار متمرکز فراهم گردد.

ث) جزئیات‌بندی

1- تعداد برشگیرهای موردنیاز در هر طرف نقطه با لنگر خمشی حداکثر مثبت یا منفی، باید

به صورت یکنواخت با فواصل مساوی تا نقطه با لنگر خمشی صفر توزیع شوند، مگر اینکه توسط مهندس طراح راهکار دیگری با مستندات کافی ارائه شده باشد.

2- در راستای عمود بر محور طولی تیر برشگیرها باید حداقل 25 میلی‌متر پوشش جانبی از بتن داشته باشند.

3- در امتداد محور طولی تیر، فاصله برشگیرها تا لبه بتن برای بتن‌های با وزن مخصوص معمولی نباید کوچکتر از 200 میلی‌متر و برای بتن‌های سبک کوچکتر از 250 میلی‌متر باشد.

4- فاصله مرکز تا مرکز برشگیرهای از نوع گل‌میخ در راستای طولی تیر نباید کوچکتر از 6 برابر قطر آن‌ها و در برشگیرهای از نوع ناودانی کوچکتر از 4 برابر پهنای بال ناودانی در نظر گرفته شود. هم‌چنین فاصله مرکز تا مرکز بین برشگیرهای از نوع گل‌میخ در امتداد عمود بر محور طولی تیر نباید کوچکتر از 4 برابر قطر آن‌ها در نظر گرفته شود.

5- حداکثر فاصله مرکز تا مرکز برشگیرها نباید از 8 برابر ضخامت کل دال بتنی یا 900 میلی‌متر بیشتر باشد.

9-8-2-10 برشگیرها در ستون‌ها و سایر اعضای مختلط

الف) الزامات عمومی

الزامات مندرج در این بند برای محاسبه مقاومت اسمی برشگیرهای به کار رفته در طول مقرر بار ستون‌ها و تیرستون‌های با مقطع مختلط، تیرهای با مقطع مختلط محاط در بتن یا پر شده با بتن، تیرهای همبند با مقطع مختلط و دیوارهای برشی با مقطع مختلط بوده که در آن‌ها اجزای بتنی و فولادی به واسطه عملکرد مرکب در طول عضو با یکدیگر کار می‌کنند. ضوابط این بند برای سازه‌های مرکب از اعضای بتنی و فولادی که در آن‌ها بتن و فولاد با یکدیگر کار نمی‌کنند، قابل کاربرد نیست.

محاسبات مربوط به مقاومت برشگیرهای مدفون در دال بتنی یا در دال بتنی واقع بر عرشه فولادی در بند 10-2-8-8 ارائه گردیده است. حالت‌های حدی مرتبط با گسیختگی برشگیر و گسیختگی قالبی بتن در این بخش ارائه می‌گردد. علاوه بر این، ضوابط مرتبط با فاصله‌گذاری و محدودیت‌های هندسی برشگیرها مندرج در این بخش، از قلوه کن شدن بتن در تماس با برشگیر تحت اثر بارهای برشی و هم‌چنین گسیختگی قالبی بتن در تماس با برشگیر تحت اثر بارهای کششی جلوگیری می‌کنند. در اعضای با مقطع مختلط، قطر برشگیرهای از نوع گل‌میخ باید مساوی با کوچکتر از 20 میلی‌متر باشد. هم‌چنین قطر گل میخ‌ها نباید از 2.5 برابر ضخامت فلز پایه‌ای که گل‌میخ به آن جوش می‌شود، بیشتر شود، مگر اینکه گل‌میخ درست در امتداد جان مقطع فولادی قرار گیرد.

در بتن‌های با وزن مخصوص معمولی، چنانچه برشگیر از نوع گل‌میخ تنها تحت اثر برش قرار گیرد، ارتفاع برشگیر از نوع گل‌میخ پس از نصب نباید از 5 برابر قطر گل‌میخ کمتر باشد. چنانچه گل‌میخ تحت اثر کشش یا ترکیبی از کشش و برش قرار گیرد، ارتفاع گل‌میخ نباید از 8 برابر قطر آن کوچکتر باشد. در بتن‌های با وزن مخصوص سبک، چنانچه گل‌میخ تنها تحت اثر برش قرار گیرد، ارتفاع گل‌میخ پس از نصب نباید از 7 برابر قطر آن و چنانچه گل‌میخ تحت اثر کشش قرار گیرد، ارتفاع گل‌میخ نباید از 10 برابر قطر آن کوچکتر باشد.

مقاومت اسمی برشگیرهای از نوع گل‌میخ مدفون در بتن با وزن مخصوص سبک که تحت اثر ترکیبی از بارهای کششی و برشی قرار می‌گیرند، باید براساس ضوابط مبحث نهم مقررات ملی ساختمان تعیین شوند. در این نوع اعضا مشخصات هندسی برشگیرها در جدول 10-2-8-5 نیز ارائه شده است. قطر کلاهک برشگیرهای از نوع گل‌میخ که تحت اثر کشش یا ترکیبی از کشش و برش قرار می‌گیرند، باید از 1.6 برابر قطر بدن گل‌میخ بزرگتر باشد.

جدول 10-2-8-5: حداقل نسبت ارتفاع گل‌میخ به قطر آن در ستون‌ها و تیرستون‌ها

نوع بار وارد بر گل میخ بتن با وزن مخصوص معمولی بتن سبک
برش h/d≥5 h/d≥7
کشش h/d≥8 h/d≥10
برش و کشش به طور هم زمان h/d≥8 کاربرد ندارد
h = ارتفاع گل میخ

d = قطر گل میخ

ب) مقاومت برشی موجود برشگیرهای از نوع گل‌میخ کلاهک دار

در مواردی که گسیختگی قالبی بتن در برش به عنوان یک حالت حدی محسوب نشود، مقاومت برشی موجود گل میخ‌ها در روش LRFD برابر ϕvQnv و در روش ASD برابر Qnvv بوده که در آن:

(38-8-2-10) 20-2-8-38

Fu = تنش کششی نهایی گل میخ

Asa = سطح مقطع گل میخ

چنانچه گسیختگی قالبی بتن در برش به عنوان یک حالت حدی محسوب شود، مقاومت برشی طراحی یک برشگیر گل‌میخ باید براساس یکی از حالات زیر تعیین شود:

1) چنانچه براساس الزامات مبحث نهم مقررات ملی ساختمان، میلگرد لازم در دو طرف ناحیة گسیختگی در بتن کار گذاشته شود، کوچک‌ترین مقدار به دست آمده از معادل 10-2-8-37 و مقاومت اسمی میلگرد، باید به عنوان مقاومت برشی اسمی گل‌میخ (Qnv)، محسوب شود.

2) براساس الزامات مبحث نهم مقررات ملی ساختمان

پ) مقاومت کششی موجود برشگیرهای از نوع گل میخ

در مواردی که فاصله مرکز گل‌میخ تا لبه آزاد بتن در امتداد عمود بر ارتفاع گل‌میخ بزرگتر از 1.5 برابر ارتفاع گل‌میخ و فاصله مرکز تا مرکز گل میخ‌ها بزرگتر یا مساوی 3 برابر ارتفاع گل‌میخ باشد، مقاومت کششی موجود گل میخ‌ها در روش LRFD برابر ϕtQnt و در روش ASD برابر Qntt است که در آن:

(39-8-2-10) 20-2-8-39

Fu و Asaهمان تعاریف به کار رفته در بند (ب) فوق هستند.

تبصره: در مواردی که فاصله مرکز گل‌میخ تا لبه آزاد بتن در امتداد عمود بر ارتفاع گل‌میخ کوچک‌تر از 1.5 برابر ارتفاع گل‌میخ یا فاصله مرکز تا مرکز گل میخ‌ها کوچکتر از 3 برابر ارتفاع گل‌میخ باشد، مقاومت کششی طراحی گل میخها باید براساس یکی از حالات زیر تعیین گردد:

1) چنانچه براساس الزامات مبحث نهم مقررات ملی ساختمان، میلگرد لازم در دو طرف ناحیه گسیختگی در بتن کار گذاشته شود، کوچک‌ترین مقدار به دست آمده از معادله 10-2-8-38 و مقاومت اسمی میلگرد باید به عنوان مقاومت برشی اسمی گل‌میخ (Qnt)، محسوب شود.

2) براساس الزامات مبحث نهم مقررات ملی ساختمان ایران

ت) اثر همزمان برش و کشش در گل میخها

در مواردی که گسیختگی قالبی بتن در برش به عنوان یک حالت حدی محسوب نشود و نیز فاصله مرکز گل‌میخ تا لب آزاد بتن در امتداد عمود بر ارتفاع گل‌میخ بزرگتر از 1.5 برابر ارتفاع گل‌میخ و فاصله مرکز تا مرکز گل میخ‌ها بزرگتر یا مساوی 3 برابر ارتفاع گل‌میخ باشد، اثر توأم برش و کشش در گل‌میخ باید به شرح زیر در نظر گرفته شود:

(40-8-2-10) 20-2-8-40
(41-8-2-10) 20-2-8-41

در روابط فوق:

Qut = مقاومت کششی موردنیاز گل‌میخ در LRFD

Qat = مقاومت کششی موردنیاز گل‌میخ در ASD

Quv= مقاومت برشی موردنیاز گل‌میخ در LRFD

Qav = مقاومت برشی موردنیاز گل‌میخ در ASD

Qnt = مقاومت کششی اسمی گل میخ

Qnv = مقاومت برشی اسمی گل میخ

ϕt = ضریب کاهش مقاومت کششی گل‌میخ مساوی 0.75

ϕv = ضریب کاهش مقاومت برشی گل‌میخ مساوی 0.65

Ωt = ضریب اطمینان مقاومت کششی گل‌میخ مساوى 2.00

Ωv = ضریب کاهش مقاومت برشی گل‌میخ مساوی 2.31

ث) مقاومت برشی موجود برشگیرهای از نوع ناودانی

مقاومت برشی موجود برشگیرهای از نوع ناودانی در روش LRFD مساوی ϕvQnv و در روش ASD مساوی Qnvv است، که در آن:

  ϕv=0.75 (LRFD)   و   Ωv=2.00 (ASD)

و Qnv مقاومت برشی اسمی برشگیرهای از نوع ناودانی بوده که باید براساس رابطۀ 10-2-8-36 تعیین شود.

ج) جزئیات‌بندی

1- برشگیرها باید حداقل 25 میلی‌متر پوشش جانبی از بتن داشته باشند.

2- حداقل فاصله مرکز تا مرکز گل میخ‌ها در هر امتداد 4 برابر قطر گل‌میخ است.

3- حداکثر فاصله مرکز تا مرکز گل میخ‌ها 32 برابر قطر گل‌میخ است.

4- حداکثر فاصله مرکز تا مرکز برشگیرهای از نوع ناودانی 600 میلی‌متر است.

چ) حالت‌های خاص

هنگامی که عضو با مقطع مختلط منطبق بر مقررات این بند نباشد، مقاومت اسمی برشگیرها و جزئیات اجرایی آن‌ها، باید براساس یک برنامه آزمایشی مناسب تعیین شود.

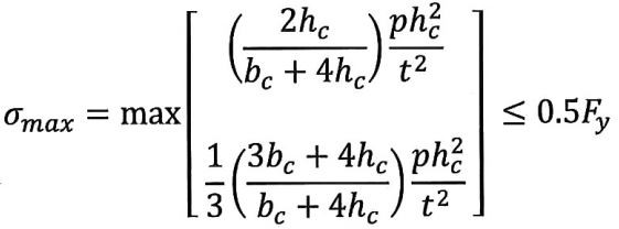
10-8-2-10 کنترل فشار هیدرواستاتیک در مقاطع مستطیلی پر شده با بتن

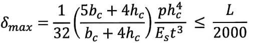
در صورتی که در هنگام ریختن بتن به داخل مقاطع مستطیلی شکل فشار هیدرواستاتیکی بزرگی به دیواره مقطع فولادی (به جدارهای مقطع مستطیلی شکل) وارد شود، ممکن است دیواره مقطع دچار تغییرشکل بزرگی شود. این مسئله علاوه بر ایجاد ظاهر نامناسب در مقطع، ممکن است موجب فراهم شدن شرایطی برای شروع کمانش موضعی جدارهای مقطع مستطیلی شکل شود. برای کنترل این گونه تغییرشکل‌ها می‌توان از روابط زیر استفاده کرد:

(42-8-2-10) 20-2-8-42
(43-8-2-10) 20-2-8-43

در روابط فوق:

σmax = تنش عمودی حداکثر در جدار مقطع مستطیلی شکل ناشی از فشار هیدرواستاتیک

δmax = تغییرشکل حداکثر در جدار مقطع مستطیلی شکل ناشی از فشار هیدرواستاتیک

h = بعد بزرگ مقطع مستطیلی شکل و hc=h-2t

b = بعد کوچک مقطع مستطیلی شکل و bc=b-2t

t= ضخامت دیوارۀ مقطع مستطیلی شکل

p = فشار هیدرواستاتیک

L = طول فشار هیدرواستاتیک

Es = مدول الاستیسیتۀ فولاد

همه فصول

مشخصات آیین‌نامه

تعداد فصول: 39 فصل
سال انتشار: 1401
ویرایش: پنجم

جستجو در آیین‌نامه‌ها

ناشرین آیین‌نامه‌ها

مقررات ملی ساختمان

قوانین، آیین‌نامه‌ها، شیوه‌نامه‌ها، دستورالعمل‌ها و بخشنامه‌های ساختمان

نظام مهندسی ساختمان

ضوابط، بخشنامه‌ها، نشریه‌ها و معیار‌های فنی نظام مهندسی ساختمان

مرکز تحقیقات راه، مسکن و شهرسازی

قوانین، آیین‌نامه‌ها و بخشنامه‌های مرکز تحقیقات راه، مسکن و شهرسازی

سازمان برنامه و بودجه کشور

ضوابط، بخشنامه‌ها و قوانین سازمان برنامه و بودجه کشور

سازمان ملی استاندارد ایران

استانداردهای کمیته‌های مختلف سازمان ملی استاندارد ایران

سازمان تامین اجتماعی کشور

مقررات و آیین‌نامه‌های درمانی و بیمه‌ای سازمان تامین اجتماعی کشور

ضوابط فنی و اجرایی شهرداری‌ها

ضوابط، بخشنامه‌ها، نشریه‌ها و معیار‌های فنی شهرداری‌های کشور

ضوابط فنی و اجرایی وزارت بهداشت

ضوابط، بخشنامه‌ها، نشریه‌ها و معیار‌های فنی وزارت بهداشت

ضوابط فنی و اجرایی وزارت نیرو-آبفا

ضوابط، بخشنامه‌ها، نشریه‌ها و معیار‌های فنی وزارت نیرو-آبفا

ضوابط سازمان بنادر و دریانوردی

ضوابط، بخشنامه‌ها، نشریه‌ها و معیار‌های فنی سازمان بنادر و دریانوردی

ضوابط فنی و اجرایی وزارت نفت

ضوابط، بخشنامه‌ها، نشریه‌ها و معیار‌های فنی وزارت نفت

قوانین و مقررات مالیاتی کشور

قوانین، مقررات، ضوابط و دستورالعمل‌هاى مالیاتى سازمان مالیات كشور

تازه‌ترین فصل‌ها

واژه‌نامه

مبحث هفدهم مقررات ملی ساختمان (سامانه گاز طبیعی در ساختمان)

پیوست ۶ دسته‌بندی نوع دستگاه‌‌‌های گازسوز

مبحث هفدهم مقررات ملی ساختمان (سامانه گاز طبیعی در ساختمان)

پیوست 5 شکل‌ها

مبحث هفدهم مقررات ملی ساختمان (سامانه گاز طبیعی در ساختمان)

پیوست 4 جدول‌ها

مبحث هفدهم مقررات ملی ساختمان (سامانه گاز طبیعی در ساختمان)

پیوست 3 ایمنی و ضوابط بهره‌برداری و نگهداری از سیستم لوله‌‌کشی گاز

مبحث هفدهم مقررات ملی ساختمان (سامانه گاز طبیعی در ساختمان)

پیوست 2 نمونه محاسبات

مبحث هفدهم مقررات ملی ساختمان (سامانه گاز طبیعی در ساختمان)

پیوست 1 راهنمای ایمنی

مبحث هفدهم مقررات ملی ساختمان (سامانه گاز طبیعی در ساختمان)