آیین‌نامه‌ها

صفحه اصلی / آیین‌نامه‌ها / مبحث دهم مقررات ملی ساختمان (طرح و اجرای ساختمان‌های فولادی)
7-2-10 الزامات طراحی اعضا برای ترکیب نیروی محوری و لنگر خمشی و ترکیب لنگر پیچشی با سایر نیروها

7-2-10 الزامات طراحی اعضا برای ترکیب نیروی محوری و لنگر خمشی و ترکیب لنگر پیچشی با سایر نیروها

این بخش به الزامات طراحی اعضا تحت اثر همزمان نیروی محوری و لنگر خمشی حول یکی از محورها یا هر دو محور با یا بدون لنگر پیچشی و نیز اعضای تحت اثر پیچش خالص می‌پردازد.

الزامات این بخش تحت عناوین زیر ارائه می‌گردد:

  • 1-7-2-10 الزامات عمومی
  • 2-7-2-10 اعضای با مقطع دارای یک یا دو محور تقارن تحت اثر همزمان نیروی محوری و لنگر خمشی
  • 3-7-2-10 اعضای با مقطع نامتقارن و سایر اعضا تحت اثر همزمان نیروی محوری و لنگر خمشی
  • 4-7-2-10 اعضای تحت اثر لنگر پیچشی و ترکیب پیچش، خمش، برش با یا بدون نیروی محوری
  • 5-7-2-10 گسیختگی بال‌های دارای سوراخ تحت اثر همزمان نیروی محوری و لنگر خمشی
1-7-2-10 الزامات عمومی

طراحی این گونه اعضا بر اصولی استوار است که در بخش‌های قبلی این فصل ارائه شد. به عبارت دیگر، مباحث مطرح شده در بخش‌های قبلی برای طراحی اعضا در برابر نیروی کششی، نیروی فشاری، لنگر خمشی و نیروی برشی و نیز الزامات تحلیل و طراحی برای تأمین پایداری و الزامات کمانش موضعی، در طراحی این گونه اعضا مورد استفاده قرار خواهند گرفت.

2-7-2-10 اعضای با مقطع دارای یک یا دو محور تقارن تحت اثر همزمان نیروی محوری و لنگر خمشی
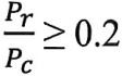
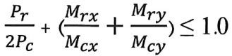
1-2-7-2-10 اعضای با مقطع دارای یک یا دو محور تقارن تحت اثر همزمان لنگر خمشی و نیروی محوری فشاری

اثر توأم لنگر خمشی و نیروی محوری فشاری در اعضای با مقطع دارای یک یا دو محور تقارن که تحت اثر خمش حول محور x یا y یا حول هر دو محور x و y قرار دارند، به شرح زیر تعیین می‌گردد:

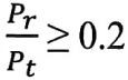
الف) برای Pr-Pc-0.2:

(1-7-2-10) 10-2-7-1

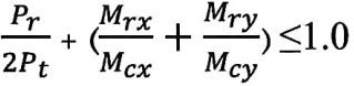
ب) برای Pr-Pc-0.2:

(2-7-2-10) 10-2-7-2

که در آن:

Pr = مقاومت فشاری موردنیاز (Pu در LRFD و Pa در ASD)

Pc = مقاومت فشاری موجود (ØcPn در LRFD و Pnc در ASD)

Øc = ضریب کاهش مقاومت فشاری مساوی 0.9 در LRFD

Ωc = ضریب اطمینان مقاومت فشاری مساوی 1.67 در ASD

Mrx = مقاومت خمشی موردنیاز نسبت به محور قوی x (Mux در LRFD و Max در ASD)

Mry = مقاومت خمشی موردنیاز نسبت به محور ضعیف y (Muy در LRFD و May در ASD)

Mcx = مقاومت خمشی موردنیاز نسبت به محور قوی x (ØbMux در LRFD و Mnx-Ωb در ASD)

Mcy = مقاومت خمشی موردنیاز نسبت به محور ضعیف y (ØbMuy در LRFD و Mny-Ωb در ASD)

Øb = ضریب کاهش مقاومت خمشی مساوی 0.9 در LRFD

Ωb = ضریب اطمینان مقاومت خمشی مساوی 1.67 در ASD

2-2-7-2-10 اعضای با مقطع دارای یک یا دو محور تقارن تحت اثر هم زمان لنگر خمشی و نیروی محوری کششی

اثر توأم لنگر خمشی و نیروی محوری کششی در اعضای با مقطع دارای یک یا دو محور تقارن که تحت اثر لنگر خمشی حول محور x یا y یا هر دو محور x و y قرار دارند، به شرح زیر تعیین می‌شود:

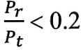
الف) برای Pr-Pt-0.2:

(3-7-2-10) 10-2-7-3

ب) برای Pr-Pt-0.2:

(4-7-2-10) 10-2-7-4

که در آن:

Pr = مقاومت فشاری موردنیاز (Pu در LRFD و Pa در ASD)

Pt = مقاومت فشاری موجود (ØtPn در LRFD و Pnt در ASD)

Øt = ضریب کاهش مقاومت کششی در LRFD (مطابق الزامات بخش 10-2-3)

Ωc = ضریب اطمینان مقاومت کششی در ASD (مطابق الزامات بخش 10-2-3)

Mrx = مقاومت خمشی موردنیاز نسبت به محور قوی x (Mux در LRFD و Max در ASD)

Mry = مقاومت خمشی موردنیاز نسبت به محور ضعیف y (ØbMuy در LRFD و Mny-Ωb در ASD)

Mcx = مقاومت خمشی موردنیاز نسبت به محور قوی x (ØbMnx در LRFD و Mnx-Ωy در ASD)

Mcy = مقاومت خمشی موردنیاز نسبت به محور ضعیف y (ØbMny در LRFD و Mny-Ωb در ASD)

Øb = ضریب کاهش مقاومت خمشی مساوی 0.9 در LRFD

Ωb = ضریب اطمینان مقاومت خمشی مساوی 1.67 در ASD

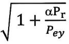
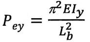
تبصره: برای اعضای دارای دو محور تقارن تحت اثر هم زمان لنگر خمشی و نیروی محوری کششی، در بخش 10-2-5 ضریب اصلاح کمانش جانبی – پیچشی (Cb) می‌تواند با ضریب 1+αPr-Pey افزایش یابد که در آن Pey از رابطه زیر تعیین می‌شود:

(5-7-2-10) 10-2-7-5

که در آن:

E = مدول الاستیسیته فولاد

Iy = ممان اینرسی حول محور ضعیف y

Lb = فاصله بین دو مقطع از طول عضو که در آن مقاطع از تغییرمکان جانبی بال فشاری یا از پیچش کل مقطع جلوگیری شده است (فاصله دو تکیه‌گاه جانبی متوالی).

α = برابر 1.0 در LRFD و برابر 1.6 در ASD

3-2-7-2-10 اعضای با مقطع نوردشده فشرده دارای دو محور تقارن تحت اثر همزمان نیروی محوری فشاری و لنگر خمشی زیاد حول محور قوی (Mry/Mcy<0.05)

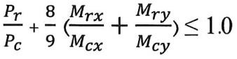
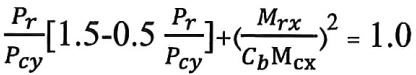
برای اعضای با مقطع نوردشده فشرده دارای دو محور تقارن با که در آن طول مؤثر برای کمانش خمشی حول محور ضعیف (y) و طول مؤثر برای کمانش پیچشی است، تحت اثر همزمان نیروی محوری فشاری و لنگر خمشی حول یک محور، به جای الزامات ارائه شده در بند 10-2-7-2-1، می‌توان حالت‌های حدی کمانش در صفحه خمش و کمانش خارج از صفحه (کمانش جانبی–پیچشی) را به شرح زیر به طور جداگانه مورد بررسی قرار داد:

الف) برای حالت‌های حدی کمانش در صفحه خمش، کنترل مناسب بودن مقطع، براساس روابط 10-2-7-1 و 10-2-7-2 با فرض محاسبه Pcx (مقاومت فشاری موجود براساس حالت حدی کمانش خمشی حول محور xا)، Mux و Mcx در صفحه خمش، صورت می‌گیرد.

ب) برای حالت‌های حدی کمانش در خارج صفحه خمش:

(6-7-2-10) 10-2-7-6

که در آن:

Pcy = مقاومت فشاری موجود براساس حالت حدی کمانش خمشی حول محور y یا کمانش پیچشی حول محور طولی عضو، هر کدام کوچکتر باشد.

Cb= ضریب اصلاح کمانش جانبی – پیچشی مطابق الزامات بخش 10-2-5

Mcx = مقاومت خمشی موجود نظیر حالت حدی کمانش جانبی – پیچشی برای خمش حول محور قوی (x) مطابق الزامات بخش 10-2-5 با فرض Cb=1

Mrx = مقاومت خمشی موردنیاز (Mux در LRFD و Max در ASD)

Pr= مقاومت فشاری موردنیاز (Pu در LRFD و Pa در ASD)

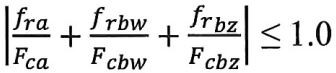
3-7-2-10 اعضای با مقطع نامتقارن و سایر اعضا تحت اثر همزمان نیروی محوری و لنگر خمشی

الزامات این بند مربوط به اثر توأم نیروی محوری و لنگر خمشی اعضایی است که مشمول الزامات بند 10-2-7-2 نمی‌شوند.

(7-7-2-10) 10-2-7-7

که در آن:

fra = تنش محوری موردنیاز در نقطه موردنظر (fua در LRFD و faa در ASD)

Fca = تنش محوری موجود (تنش محوری طراحی در LRFD و تنش محوری مجاز در ASD) مطابق الزامات بخش 10-2-3 برای اعضای کششی و بخش 10-2-4 برای اعضای فشاری

frbw= تنش‌های خمشی موردنیاز در نقطه موردنظر ناشی از Mrw ( fubw در LRFD و fabw در ASD)

frbz = تنش‌های خمشی موردنیاز در نقطه موردنظر ناشی از Mrz ( fubz در LRFD و fabz در ASD)

Fcbw = تنش‌های خمشی موجود حول محور اصلی قوی (محور W) که براساس تحلیل کمانشی یا تسلیم، هرکدام بحرانی‌تر باشد، به دست می‌آید (برابر ΦbMnz-Sw در LRFD و Mnw-ΩbSw در ASD).

Fcbz = تنش‌های خمشی موجود حول محور اصلی ضعیف (محور z) که براساس تحلیل کمانشی یا تسلیم، هرکدام بحرانی‌تر باشد، به دست می‌آید (برابر ΦbMnz-z در LRFD و Mnz-ΩbSz در ASD).

w = زیرنویس مربوط به خمش حول محور اصلی قوی

z= زیرنویس مربوط به خمش حول محور اصلی ضعیف

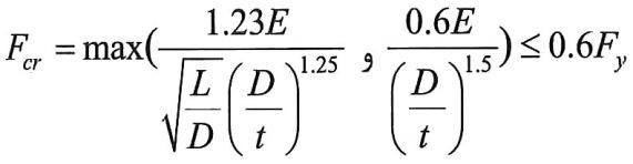
4-7-2-10 مقاومت پیچشی مقاطع دایره‌ای شکل توخالی، قوطی شکل (HSS) و جعبه‌ای

مقاومت پیچشی موجود اعضای با مقطع دایره‌ای شکل توخالی، قوطی شکل (HSS) و جعبه‌ای مساوی ØTTn در LRFD و TnT در ASD بوده که در آن ØT ضریب کاهش مقاومت پیچشی برابر 0.9، ΩT ضریب اطمینان مقاومت پیچشی برابر 1.67 و Tn مقاومت پیچشی اسمی است که براساس حالت‌های حدی تسلیم پیچشی و کمانش پیچشی با استفاده از رابطه زیر تعیین می‌شود:

(8-7-2-10) Tn=FcrC

که در آن، C ثابت پیچشی مقطع و Fcrتنش کمائشی مقطع هستند و به شرح زیر تعیین می‌شوند:

الف) مقاطع دایره‌ای شکل توخالی:

برای این نوع مقاطع، Fcr باید از طریق رابطه زیر تعیین شود:

(9-7-2-10) 10-2-7-9

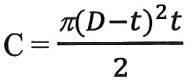
C= ثابت پیچشی مقطع است که برای مقاطع دایره‌ای شکل توخالی به طور محافظه کارانه از رابطه زیر محاسبه می‌شود:

(10-7-2-10) 10-2-7-10

در روابط فوق:

L= طول عضو

D= قطر خارجی مقطع

t= ضخامت جدار لوله

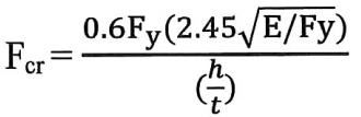
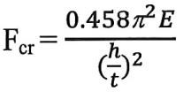
ب) مقاطع قوطی شکل (HSS) و جعبه‌ای:

برای مقاطع قوطی شکل (HSS) و جعبه‌ای، Fcr حسب مورد از روابط زیر به دست می‌آید:

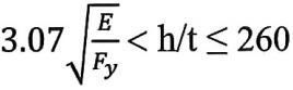
  • برای h-t-2.45-E-Fy:
(11-7-2-10) Fcr=0.6Fy
  • برای 2.45-E-Fy-h-t-3.07-E-Fy:
(12-7-2-10) 10-2-7-12
  • برای 3.07-E-Fy-h-t-260:
(13-7-2-10) 10-2-7-13

C = ثابت پیچشی مقطع است که برای مقاطع قوطی شکل (HSS) و جعبه‌ای به طور محافظه کارانه از رابطه زیر محاسبه می‌شود:

(14-7-2-10) C=2(B-t)(H-t)t-4.5(4-π)t3

پارامترهای به کار رفته در روابط فوق مطابق شکل زیر است:

مقطع قوطی شکل

شکل 10-2-7-1: مقطع قوطی شکل

5-7-2-10 اعضای تحت اثر ترکیب پیچش، خمش، برش و نیروی محوری با مقطع دایره‌ای شکل توخالی، قوطی شکل (HSS) و جعبه‌ای

هرگاه مقاومت پیچشی موردنیاز (Tr) کمتر یا مساوی 20 درصد مقاومت پیچشی موجود (Tc) باشد، در این صورت پیچش در ترکیب با خمش، برش و نیروی محوری قابل صرف نظر بوده و اثر توأم خمش و نیروی محوری بر اساس الزامات بند 10-2-7-2 تعیین می‌شود. اما اگر مقاومت پیچشی موردنیاز (Tr) بیش از 20 درصد مقاومت پیچشی موجود (Tc) باشد، در این صورت اثر توأم پیچش، خمش، برش و نیروی محوری از رابطه زیر تعیین می‌گردد:

(15-7-2-10) 10-2-7-15

که در آن:

Pr = مقاومت محوری موردنیاز مساوی Pu در LRFD و Pa در ASD

Pc = مقاومت محوری موجود مساوی ØPn در LRFD و Pn-Ω در ASD

Mr = مقاومت خمشی موردنیاز مساوی Mu در LRFD و Ma در ASD

Mc = مقاومت خمشی موجود مساوی ØbMn در LRFD و Mn-Ωb در ASD

Vr = مقاومت برشی موردنیاز مساوی Vu در LRFD و Va در ASD

Vc = مقاومت برشی موجود مساوی ØvVn در LRFD و Vn-Ωv در ASD

Tr= مقاومت پیچشی موردنیاز مساوی Tu در LRFD و Ta در ASD

Tc= مقاومت پیچشی موجود مساوی ØTTn در LRFD و Tn-Ωt در ASD

6-7-2-10 ترکیب تنش‌ها در سایر مقاطع (مقاطع باز)

تنش اسمی این نوع مقاطع که براساس تحلیل کمانشی یا تسلیم به دست می‌آید، باید برابر کوچکترین مقدار محاسبه شده بر اساس حالت‌های حدی تسلیم تحت اثر تنش نرمال، تسلیم تحت اثر تنش برشی و کمانش در نظر گرفته شود، که در آن:

الف) حالت حدی تسلیم تحت اثر تنش نرمال:

(16-7-2-10) Fn=Fy

ب) حالت حدی تسلیم تحت اثر تنش برشی:

(17-7-2-10) Fn=0.6Fy

پ) حالت حدی کمانش:

(18-7-2-10) Fn=Fcr

که در آن:

Fcr = تنش کمانشی که از طریق تحلیل کمانشی تعیین می‌گردد.

7-7-2-10 گسیختگی بال‌های دارای سوراخ تحت اثر همزمان نیروی محوری و لنگر خمشی

در محل سوراخ پیچ‌ها در بال‌های تحت اثر تنش کششی ناشی از اثر توأم نیروی محوری (کششی یا فشاری) و لنگر خمشی حول محور قوی، گسیختگی بال کششی باید از طریق رابطه زیر کنترل گردد:

(19-7-2-10) 10-2-7-19

که در آن:

Pr = مقاومت محوری موردنیاز (Pu در LRFD و Pa در ASD)

Pc = مقاومت محوری موجود با توجه به وجود سوراخ در بالهای مقطع (ØPn در LRFD و Pn-Ω در ASD)

Mrx = مقاومت خمشی موردنیاز (Mux در LRFD و Max در ASD)

Mcx = مقاومت خمشی موجود با رعایت الزامات بند 10-2-5-13 – الف برابر ØbMnx در LRFD و Mnx-Ωb در ASD

Øt= ضریب کاهش مقاومت گسیختگی کششی برابر 0.75 در LRFD

Ωt = ضریب اطمینان مقاومت گسیختگی کششی برابر 2.0 در ASD

Øb = ضریب کاهش مقاومت خمشی مساوی 0.9 در LRFD

Ωb = ضریب اطمینان مقاومت خمشی مساوی 1.67 در ASD

همه فصول

مشخصات آیین‌نامه

تعداد فصول: 39 فصل
سال انتشار: 1401
ویرایش: پنجم

جستجو در آیین‌نامه‌ها

ناشرین آیین‌نامه‌ها

مقررات ملی ساختمان

قوانین، آیین‌نامه‌ها، شیوه‌نامه‌ها، دستورالعمل‌ها و بخشنامه‌های ساختمان

نظام مهندسی ساختمان

ضوابط، بخشنامه‌ها، نشریه‌ها و معیار‌های فنی نظام مهندسی ساختمان

مرکز تحقیقات راه، مسکن و شهرسازی

قوانین، آیین‌نامه‌ها و بخشنامه‌های مرکز تحقیقات راه، مسکن و شهرسازی

سازمان برنامه و بودجه کشور

ضوابط، بخشنامه‌ها و قوانین سازمان برنامه و بودجه کشور

سازمان ملی استاندارد ایران

استانداردهای کمیته‌های مختلف سازمان ملی استاندارد ایران

سازمان تامین اجتماعی کشور

مقررات و آیین‌نامه‌های درمانی و بیمه‌ای سازمان تامین اجتماعی کشور

ضوابط فنی و اجرایی شهرداری‌ها

ضوابط، بخشنامه‌ها، نشریه‌ها و معیار‌های فنی شهرداری‌های کشور

ضوابط فنی و اجرایی وزارت بهداشت

ضوابط، بخشنامه‌ها، نشریه‌ها و معیار‌های فنی وزارت بهداشت

ضوابط فنی و اجرایی وزارت نیرو-آبفا

ضوابط، بخشنامه‌ها، نشریه‌ها و معیار‌های فنی وزارت نیرو-آبفا

ضوابط سازمان بنادر و دریانوردی

ضوابط، بخشنامه‌ها، نشریه‌ها و معیار‌های فنی سازمان بنادر و دریانوردی

ضوابط فنی و اجرایی وزارت نفت

ضوابط، بخشنامه‌ها، نشریه‌ها و معیار‌های فنی وزارت نفت

قوانین و مقررات مالیاتی کشور

قوانین، مقررات، ضوابط و دستورالعمل‌هاى مالیاتى سازمان مالیات كشور

تازه‌ترین فصل‌ها

واژه‌نامه

مبحث هفدهم مقررات ملی ساختمان (سامانه گاز طبیعی در ساختمان)

پیوست ۶ دسته‌بندی نوع دستگاه‌‌‌های گازسوز

مبحث هفدهم مقررات ملی ساختمان (سامانه گاز طبیعی در ساختمان)

پیوست 5 شکل‌ها

مبحث هفدهم مقررات ملی ساختمان (سامانه گاز طبیعی در ساختمان)

پیوست 4 جدول‌ها

مبحث هفدهم مقررات ملی ساختمان (سامانه گاز طبیعی در ساختمان)

پیوست 3 ایمنی و ضوابط بهره‌برداری و نگهداری از سیستم لوله‌‌کشی گاز

مبحث هفدهم مقررات ملی ساختمان (سامانه گاز طبیعی در ساختمان)

پیوست 2 نمونه محاسبات

مبحث هفدهم مقررات ملی ساختمان (سامانه گاز طبیعی در ساختمان)

پیوست 1 راهنمای ایمنی

مبحث هفدهم مقررات ملی ساختمان (سامانه گاز طبیعی در ساختمان)