آیین‌نامه‌ها

صفحه اصلی / آیین‌نامه‌ها / مبحث دهم مقررات ملی ساختمان (طرح و اجرای ساختمان‌های فولادی)
6-2-10 الزامات طراحی اعضا برای نیروی برشی

6-2-10 الزامات طراحی اعضا برای نیروی برشی

این بخش به الزامات طراحی اعضای با مقطع دارای یک یا دو محور تقارن تحت اثر برش در صفحه جان، اعضای با مقطع نبشی تک، اعضای با مقطع دایره‌ای شکل توخالی، قوطی شکل (HSS) و جعبه‌ای، اعضای با مقطع تحت اثر برش در امتداد عمود بر محور ضعیف می‌پردازد. مقررات این بخش تحت عناوین زیر ارائه می‌گردد:

  • 1-6-2-10 الزامات عمومی
  • 2-6-2-10 مقاومت برشی اسمی اعضای با مقطع I شکل و ناودانی تحت اثر برش در صفحه جان
  • 3-6-2-10 مقاومت برشی اسمی اعضای با مقطع سپری تحت اثر برش در صفحه تقارن و نبشی تک
  • 4-6-2-10 مقاومت برشی اسمی اعضای با مقطع قوطی شکل (HSS)، جعبه‌ای و سایر مقاطع دارای یک یا دو محور تقارن
  • 5-6-2-10 مقاومت برشی اسمی اعضای با مقطع دایره‌ای شکل توخالی
  • 6-6-2-10 مقاومت برشی اسمی اعضای دارای یک یا دو محور تقارن که تحت اثر برش در در راستای عمود بر محور ضعیف مقطع
  • 7-6-2-10 ملاحظات مربوط به بازشو در جان تیرها و شاه تیرها
1-6-2-10 الزامات عمومی

در روش LRFD مقاومت برشی طراحی مساوی ϕvVn و در روش ASD مقاومت برشی مجاز مساوی Vnv است که در آن:

ϕv = ضریب کاهش مقاومت برشی بوده و برای کلیة الزامات این بخش برابر 0.9 است، به جز در مورد بند 10-2-6-2-1- الف که مقدار آن باید برابر 1.0 در نظر گرفته شود.

Ωv = ضریب اطمینان مقاومت برشی بوده و برای کلیة الزامات این بخش برابر 1.67 است، به جز در مورد بند 10-2-6-2-1 – الف که مقدار آن باید برابر 1.5 در نظر گرفته شود.

Vn= مقاومت برشی اسمی اعضا بوده که مطابق الزامات بندهای 10-2-6-2 تا 10-2-6-7 باید برابر کوچکترین مقدار محاسبه شده براساس حالت‌های تسلیم برشی و کمانش برشی در نظر گرفته شود.

2-6-2-10 مقاومت برشی اسمی اعضای با مقطع I شکل و ناودانی تحت اثر برش در صفحه جان

الزامات این بند مربوط است به تعیین مقاومت برشی اسمی اعضای با مقطع I شکل نوردشده یا ساخته شده از ورق دارای یک یا دو محور تقارن و ناودانی که تحت اثر برش در صفحه جان قرار دارند. در این بند برای تعیین مقاومت برشی اسمی اعضایی با این نوع مقاطع دو روش ارائه گردیده است. در روش اول برای محاسبه مقاومت برشی اسمی اعضا مطابق الزامات بند 10-2-6-2-1 از عمل میدان کششی استفاده نمی‌شود، اما در روش دوم برای تعیین مقاومت برشی اسمی اعضا مطابق الزامات بند 10-2-6-2-2 از عمل میدان کششی استفاده می‌شود.

1-2-6-2-10 مقاومت برشی اسمی بدون در نظر گرفتن عمل میدان کششی

مقاومت برشی اسمی (Vn)، بر اساس حالت‌های حدی تسلیم برشی و کمانش برشی از رابطه زیر تعیین می‌شود:

(1-6-2-10) Vn=0.6FyAwCv1

که در آن:

Fy = تنش تسلیم مشخصه فولاد جان

Aw = dtw= مساحت جان که برابر است با حاصل ضرب عمق کلی مقطع در ضخامت جان

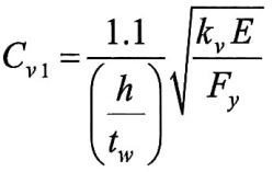
Cv1= ضریب مقاومت برشی جان به شرح زیر:

الف) برای جان مقاطع I شکل نورد شده که h-tw-2.24-E-Fy باشد:

(2-6-2-10) Cv1=1

ب) برای جان سایر مقاطع I شکل و ناودانی:

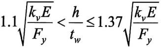
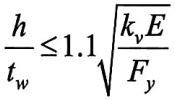
ب-1) برای h-tw-1.1-KvE-Fy:

(3-6-2-10) Cv1=1

ب-2) برای h-tw-1.1-KvE-Fy:

(4-6-2-10) 10-2-6-4

در روابط فوق، kv ضریب کمانش برشی ورق جان بوده و به شرح زیر تعیین می‌شود:

– برای جان مقاطع بدون سخت‌کننده:

(5-6-2-10) kv=5.34

– برای جان مقاطع دارای سخت‌کننده و a/h≤3:

(6-6-2-10) 10-2-6-6

– برای جان مقاطع دارای سخت‌کننده و a/h>3:

(7-6-2-10) kv=5.34

در روابط فوق:

tw = ضخامت جان مقطع

a = فاصله آزاد بین سخت‌کننده‌های عرضی جان

h = فاصله آزاد بین دو بال منهای گردی محل اتصال جان به بال، برای تیرهای نورد شده

= فاصله آزاد بین دو بال، برای مقاطع ساخته شده از ورق با اتصال جان به بال‌ها به وسیله جوش

= فاصله بین خطوط پیچ، برای مقاطع ساخته شده از ورق با اتصال جان به بال‌ها به وسیله پیچ

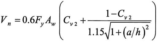
2-2-6-2-10 مقاومت برشی اسمی با توجه به عمل میدان کششی

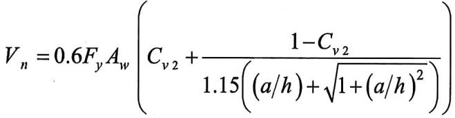
در مواردی که قطعات سخت‌کننده عرضی با a/h≤3 در جان تیر تعبیه شود، در چشمه‌های داخلی فاقد بازشو در جان می‌توان برای تعیین مقاومت برشی اسمی اعضا از عمل میدان کششی استفاده نمود. در این حالت مقاومت برشی اسمی (Vn)، براساس حالت‌های حدی تسلیم برشی و کمانش برشی از روابط زیر تعیین می‌شود:

الف) برای h-tw-1.1-KvE-Fy:

(8-6-2-10) Vn=0.6FyAw

ب) برای h-tw-1.1-KvE-Fy:

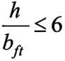
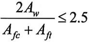
ب -1) در صورت برقراری هر سه شرط 2Aw-Afc+Aft-2.5 و h-bfc-6 و h-bft-6:

(9-6-2-10) 10-2-6-9

ب -2) در غیراین صورت:

(10-2-6-10) 10-2-6-10

در روابط فوق:

Afc = مساحت بال فشاری

Aft = مساحت بال کششی

bfc= پهنای بال فشاری

bft = پهنای بال کششی

تعریف سایر پارامترها در بند 10-2-6-2-1 آمده است.

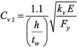
Cv2= ضریب کمانش برشی جان به شرح زیر:

– برای h-tw-1.1-KvE-Fy:

(11-6-2-10) Cv2=1

– برای 1.1-KvE-Fy-h-tw-1.37-KvE-Fy:

(12-6-2-10) 10-2-6-12

– برای h-tw-1.37-KvE-Fy:

(13-6-2-10) 10-2-6-13

تبصره: در صورتی که مقاومت برشی اسمی به دست آمده با توجه به عمل میدان کششی کوچکتر از مقاومت برشی حاصل از رابطه 10-2-6-2-1 باشد، مقاومت برشی اسمی را می‌توان بدون توجه به عمل میدان کششی محاسبه نمود.

3-2-6-2-10 سخت‌کننده‌های عرضی

در مواردی که h-tw-2.54-KvE-Fy باشد، تعبیه سخت‌کننده‌های عرضی ضروری نیست.

در صورتی که h-tw-2.54-KvE-Fy بوده و برای تأمین مقاومت برشی اسمی استفاده از سخت‌کننده‌های عرضی مدنظر باشد، محدودیت‌های زیر باید مورد توجه قرار گیرند:

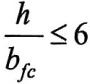
الف) در صورتی که به عمل تماسی مستقیم بین قطعه سخت‌کننده و بال تیر، برای انتقال بارهای متمرکز یا عکس‌العمل تکیه‌گاهی نیاز نباشد، می‌توان سخت‌کننده عرضی را به بال کششی جوش نداده یا حتی می‌توان قطعه سخت‌کننده را نرسیده به بال کششی قطع کرد. در صورت عدم جوش‌کاری سخت‌کننده به بال کششی، جوش‌هایی که قطعه سخت‌کننده را به جان تیر متصل می‌کنند باید در فاصله‌ای نه کمتر از 4 برابر و نه بیشتر از 6 برابر ضخامت جان از بر جوش اتصال سخت‌کننده به جان و بال کششی ختم شوند.

ب) سخت‌کننده‌های عرضی باید به بال فشاری متصل گردند تا از بلند شدن بال در اثر پیچش جلوگیری به عمل آید.

پ) فاصله مرکز تا مرکز پیچ‌هایی که سخت‌کننده‌ها را به جان تیر متصل می‌کنند، نباید از 300 میلی‌متر بیشتر باشد. چنانچه برای اتصال سخت‌کننده‌ها به جان تیر از جوش‌های گوشه منقطع استفاده شود، نباید فاصله آزاد بین جوش‌های منقطع از 16 برابر ضخامت جان و 250 میلی‌متر بیشتر شود.

ت) کمانش موضعی ورق‌های تشکیل‌دهنده قطعات سخت‌کننده باید کنترل شود:

(14-6-2-10) 10-2-6-14

که در آن:

(b/t)st = نسبت پهنا به ضخامت ورق‌های سخت‌کننده

E= مدول الاستیسیته فولاد

Fyst = تنش تسلیم مشخصه فولاد قطعات سخت‌کننده

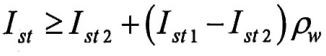
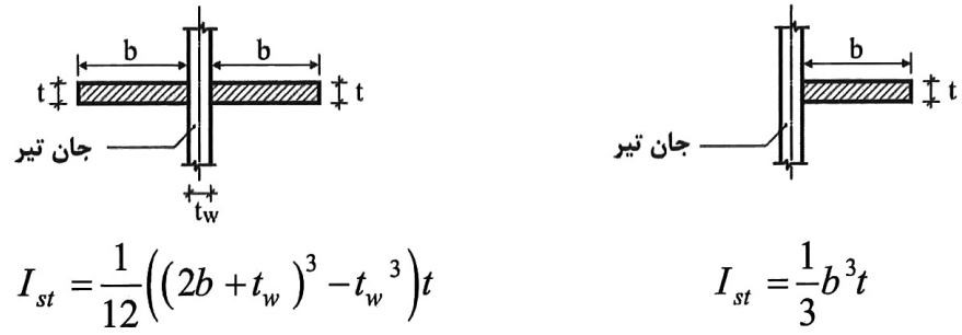
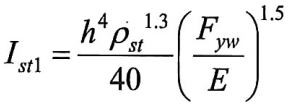
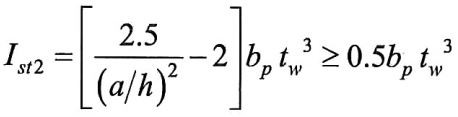
ث) ممان اینرسی (Ist) قطعات سخت‌کننده باید محدودیت زیر را براساس مشخصات هر دو چشمه مجاور آن به صورت جداگانه تأمین نماید:

(15-6-2-10) 10-2-6-15

در رابطه فوق:

Ist= ممان اینرسی قطعات سخت‌کننده حول محور مرکزی جان، برای قطعات سخت‌کننده جفت

" = ممان اینرسی قطعات سخت‌کننده حول محل تماس سخت‌کننده با ورق جان، برای قطعات سخت‌کننده تک

مقطع ورق‌های سخت‌کننده‌های عرضی

شکل 10-2-6-1: مقطع ورق‌های سخت‌کننده‌های عرضی

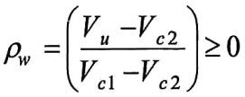
ρw = نسبت نیروهای برشی در چشمه مجاور براساس رابطه زیر که نباید کوچک‌تر از صفر در نظر گرفته شود:

(16-6-2-10) 10-2-6-16

Vu= مقاومت برشی موردنیاز در چشمه موردنظر

Vc1= برابر ϕvVn در LRFD و Vn/Ωv در ASD است که در آن مقدار Vn در چشمه موردنظر از روابط 10-2-6-1 یا 10-2-6-9 و یا 10-2-6-10 تعیین می‌گردد.

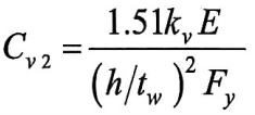
Vc2= برابر ϕvVn در LRFD و Vn/Ωv در ASD است که در آن مقدار Vn در چشمه موردنظر از رابطه زیر تعیین می‌گردد:

(17-6-2-10) Vn=0.6FyAwCv2

0.9=ϕv

Cv2= ضریب کمانش برشی جان مطابق روابط 10-2-6-11 تا 13

dtw=Aw= مساحت جان مقطع که برابر است با حاصل ضرب عمق کلی مقطع در ضخامت جان

(18-6-2-10) 10-2-6-18
(19-6-2-10) 10-2-6-19

tw = ضخامت جان مقطع

a = فاصله آزاد بین سخت‌کننده‌های عرضی جان در چشمه موردنظر

h= فاصله آزاد بین دو بال منهای گردی محل اتصال جان به بال، برای تیرهای نورد شده

= فاصله آزاد بین دو بال، برای مقاطع ساخته شده از ورق با اتصال جان به بال‌ها به وسیله جوش

= فاصله بین خطوط پیچ، برای مقاطع ساخته شده از ورق با اتصال جان به بال‌ها به وسیله پیچ

bp= کوچک‌ترین مقدار a و h

ρst = بزرگ‌ترین مقدار (Fyw/Fyst) و 1

Fyw = تنش تسلیم مشخصه فولاد جان

تبصره: به منظور تأمین حداقل ممان اینرسی لازم برای سخت‌کننده‌ها، به جای رابطه 10-2-6-15 به طور محافظه کارانه می‌توان از رابطه Ist≥Ist1 استفاده کرد.

3-6-2-10 مقاومت برشی اسمی اعضای با مقطع سپری تحت اثر برش در صفحه تقارن و نبشی تک تحت اثر برش در امتداد یکی از ساقها

مقاومت برشی اسمی (Vn)، براساس حالت‌های حدی تسلیم برشی و کمانش برشی از رابطه زیر تعیین می‌شود:

(20-6-2-10) Vn=0.6FybtCv2

که در آن:

Fy = تنش تسلیم مشخصه فولاد

b= عمق مقطع سپری یا پهنای ساق نبشی مقاوم در برابر نیروی برشی

t= ضخامت جان سپری یا نبشی مقاوم در برابر نیروی برشی

Cv2 = ضریب برشی جان مطابق روابط 10-2-6-11 تا 13 با فرض h/tw=b/t و kv=1.2

4-6-2-10 مقاومت برشی اعضای با مقطع قوطی شکل (HSS)، جعبه‌ای و سایر مقاطع‌ها دارای یک یا دو محور تقارن

مقاومت برشی اسمی (Vn)، براساس حالت‌های حدی تسلیم برشی و کمانش برشی از رابطه زیر تعیین می‌شود:

(21-6-2-10) Vn=0.6FyAwCv2

که در آن:

Fy = تنش تسلیم مشخصه فولاد جانالف) برای مقاطع قوطی شکل (HSS) و جعبه‌ای

2ht = Aw

t= ضخامت جداره مقطع قوطی شکل و ضخامت جانها در مقاطع جعبه‌ای

h = پهنای جان مقطع مقاوم در برابر نیروی برشی

= فاصله آزاد بین دو بال منهای گردی محل اتصال جان به بال، برای مقاطع نورد شده

= فاصله آزاد بین دو بال، برای مقاطع ساخته شده از ورق

= بعد بیرونی (کلی) منهای سه برابر ضخامت بال، در صورت مشخص نبودن شعاع گردی اتصال جان‌ها به بالها

Cv2= ضریب برشی جان مطابق روابط 10-2-6-11 تا 10-2-6-13 با فرض h/tw=h/t و kv=5

ب) برای سایر مقاطع دارای یک یا دو محور تقارن:

Aw = مساحت جان یا جانهای مقاوم مقطع در برابر نیروی برشی

t= ضخامت جان مقاوم در برابر نیروی برشی

h = پهنای جان مقطع مقاوم در برابر نیروی برشی

= فاصله آزاد بین دو بال، برای مقاطع ساخته شده از ورق با اتصال جان به بال‌ها به وسیله جوش

= فاصله بین خطوط پیچ، برای مقاطع ساخته شده از ورق با اتصال جان به بال‌ها به وسیله پیچ

Cv2 = ضریب برشی جان مطابق روابط 10-2-6-11 تا 13 با فرض h/tw=b/t و kv=5

تبصره: در مقاطع صلیبی متشکل از دو نیمرخ I شکل عمود بر هم، مقادیر t, Aw و h باید و براساس فقط جان موازی با امتداد نیروی برشی تعیین گردیده و از مقاومت برشی اسمی بالها صرفنظر شود.

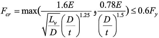
5-6-2-10 مقاومت برشی اعضای با مقطع دایره‌ای شکل توخالی

مقاومت برشی اسمی (Vn)، براساس حالت‌های حدی تسلیم برشی و کمانش برشی از رابطه زیر تعیین می‌شود:

(22-6-2-10) Vn=0.6FcrAg

که در آن:

(23-6-2-10) 10-2-6-23

در روابط فوق:

Fy= تنش تسلیم مشخصه فولاد

E= مدول الاستیسیته فولاد

Ag= سطح مقطع کلی مقطع

D= قطر خارجی مقطع

t= ضخامت طراحی مقطع لوله‌ای معادل 0.93 برابر ضخامت اسمی مقطع برای مقاطع ساخته شده با جوش قوس الکتریکی و معادل ضخامت اسمی مقطع برای مقاطع ساخته شده با جوش زیر پودری

Lv= فاصله بین محل نیروی برشی حداکثر تا محل نیروی برشی صفر در طول عضو

6-6-2-10 مقاومت برشی اسمی اعضای دارای یک یا دو محور تقارن تحت اثر برش در راستای عمود بر محور ضعیف مقطع

در صورتی که این نوع اعضا تحت اثر پیچش قرار نداشته باشند، مقاومت برشی اسمی (Vn) هر یک از اجزای مقاوم در برابر برش باید از رابطه زیر به دست آید:

(24-6-2-10) Vn=0.6FybftfCv2

که در آن:

Fy = تنش تسلیم مشخصه فولاد

tf = ضخامت جزء مقاوم در مقابل برش

bf = پهنای جزء مقاوم در مقابل برش

Cv2 = ضریب کمانش برشی جان مطابق روابط 10-2-6-11 تا 13 با فرض h/tw=bf/2tf برای مقاطع I شکل و سپری و h/tw=bf/tf برای مقطع ناودانی و kv=1.2

7-6-2-10 ملاحظات مربوط به بازشو در جان تیرها

تأثیر تمامی بازشوهای موجود در جان در تعیین مقاومت برشی اسمی اعضای با مقطع فولادی و اعضای با مقطع مختلط باید در نظر گرفته شود. در مواردی که مقاومت برشی موردنیاز در محل بازشو از مقاومت برشی موجود بیشتر باشد، تأمین مقاومت برشی موردنیاز از طریق تقویت کافی پیرامون بازشو مجاز است. الزامات مربوط به مقاومت برشی موجود تیرهای دارای بازشوهای متوالی در جان (تیرهای لانه زنبوری) در پیوست 5 این مبحث ارائه شده است.

همه فصول

مشخصات آیین‌نامه

تعداد فصول: 39 فصل
سال انتشار: 1401
ویرایش: پنجم

جستجو در آیین‌نامه‌ها

ناشرین آیین‌نامه‌ها

مقررات ملی ساختمان

قوانین، آیین‌نامه‌ها، شیوه‌نامه‌ها، دستورالعمل‌ها و بخشنامه‌های ساختمان

نظام مهندسی ساختمان

ضوابط، بخشنامه‌ها، نشریه‌ها و معیار‌های فنی نظام مهندسی ساختمان

مرکز تحقیقات راه، مسکن و شهرسازی

قوانین، آیین‌نامه‌ها و بخشنامه‌های مرکز تحقیقات راه، مسکن و شهرسازی

سازمان برنامه و بودجه کشور

ضوابط، بخشنامه‌ها و قوانین سازمان برنامه و بودجه کشور

سازمان ملی استاندارد ایران

استانداردهای کمیته‌های مختلف سازمان ملی استاندارد ایران

سازمان تامین اجتماعی کشور

مقررات و آیین‌نامه‌های درمانی و بیمه‌ای سازمان تامین اجتماعی کشور

ضوابط فنی و اجرایی شهرداری‌ها

ضوابط، بخشنامه‌ها، نشریه‌ها و معیار‌های فنی شهرداری‌های کشور

ضوابط فنی و اجرایی وزارت بهداشت

ضوابط، بخشنامه‌ها، نشریه‌ها و معیار‌های فنی وزارت بهداشت

ضوابط فنی و اجرایی وزارت نیرو-آبفا

ضوابط، بخشنامه‌ها، نشریه‌ها و معیار‌های فنی وزارت نیرو-آبفا

ضوابط سازمان بنادر و دریانوردی

ضوابط، بخشنامه‌ها، نشریه‌ها و معیار‌های فنی سازمان بنادر و دریانوردی

ضوابط فنی و اجرایی وزارت نفت

ضوابط، بخشنامه‌ها، نشریه‌ها و معیار‌های فنی وزارت نفت

قوانین و مقررات مالیاتی کشور

قوانین، مقررات، ضوابط و دستورالعمل‌هاى مالیاتى سازمان مالیات كشور

تازه‌ترین فصل‌ها

واژه‌نامه

مبحث هفدهم مقررات ملی ساختمان (سامانه گاز طبیعی در ساختمان)

پیوست ۶ دسته‌بندی نوع دستگاه‌‌‌های گازسوز

مبحث هفدهم مقررات ملی ساختمان (سامانه گاز طبیعی در ساختمان)

پیوست 5 شکل‌ها

مبحث هفدهم مقررات ملی ساختمان (سامانه گاز طبیعی در ساختمان)

پیوست 4 جدول‌ها

مبحث هفدهم مقررات ملی ساختمان (سامانه گاز طبیعی در ساختمان)

پیوست 3 ایمنی و ضوابط بهره‌برداری و نگهداری از سیستم لوله‌‌کشی گاز

مبحث هفدهم مقررات ملی ساختمان (سامانه گاز طبیعی در ساختمان)

پیوست 2 نمونه محاسبات

مبحث هفدهم مقررات ملی ساختمان (سامانه گاز طبیعی در ساختمان)

پیوست 1 راهنمای ایمنی

مبحث هفدهم مقررات ملی ساختمان (سامانه گاز طبیعی در ساختمان)