آیین‌نامه‌ها

صفحه اصلی / آیین‌نامه‌ها / مبحث دهم مقررات ملی ساختمان (طرح و اجرای ساختمان‌های فولادی)
5-2-10 الزامات طراحی اعضا برای لنگر خمشی

5-2-10 الزامات طراحی اعضا برای لنگر خمشی

این بخش به الزامات طراحی اعضایی می‌پردازد که تحت اثر خمش ساده حول هر یک از محورهای اصلی قرار دارند. در حالت خمش ساده عضو در صفحه‌ای به موازات محورهای اصلی و مار بر مرکز برش مقطع بارگذاری شده یا در محل اعمال بار و در تکیه‌گاهها در مقابل پیچش نگهداری شده باشد.

مقررات این بخش تحت عناوین زیر ارائه می‌گردد:

  • 1-5-2-10 الزامات عمومی کل
  • 2-5-2-10 مقاومت خمشی اسمی اعضای با مقطع I شکل فشرده با دو محور تقارن و اعضای با مقطع ناودانی فشرده تحت اثر خمش حول محور قوی
  • 3-5-2-10 مقاومت خمشی اسمی اعضای با مقطع I شکل با دو محور تقارن با بالهای و غیرفشرده یا لاغر و جان فشرده تحت اثر خمش حول محور قوی
  • 4-5-2-10 مقاومت خمشی اسمی اعضای با مقطع I شکل با یک یا دو محور تقارن با بالهای فشرده یا غیرفشرده یا لاغر و جان فشرده یا غیرفشرده تحت اثر خمش حول محور قوی
  • 5-5-2-10 مقاومت خمشی اسمی اعضای با مقطع I شکل با یک یا دو محور تقارن با بال‌های فشرده یا غیرفشرده یا لاغر و جان لاغر تحت اثر خمش حول محور قوی
  • 6-5-2-10 مقاومت خمشی اسمی اعضای با مقطع I شکل و ناودانی تحت اثر خمش حول محور ضعیف
  • 7-5-2-10 مقاومت خمشی اسمی اعضای با مقطع قوطی شکل تحت اثر خمش حول محورهای قوی و ضعیف
  • 8-5-2-10 مقاومت خمشی اسمی اعضای با مقطع دایره‌ای توخالی
  • 9-5-2-10 مقاومت خمشی اسمی اعضای با مقطع سپری و نبشی جفت با بارگذاری در صفحه تقارن
  • 10-5-2-10 مقاومت خمشی اسمی اعضای با مقطع نبشی تک
  • 11-5-2-10 مقاومت خمشی اسمی اعضای با مقطع دایره‌ای و چهار گوش توپر
  • 12-5-2-10 مقاومت خمشی اسمی اعضای با مقطع نامتقارن
  • 13-5-2-10 تناسبات ابعادی مقطع اعضای خمشی

جدول 10-2-5-1: انتخاب بند مربوط به تعیین مقاومت خمشی اسمی

بند مربوطه مقطع لاغری بال لاغری جان حالت حدی
2-5-2-10 بند 2-5-2-10 فشرده فشرده تسلیم کمانش
جانبی- پیچشی
3-5-2-10 بند 3-5-2-10 غیرفشرده لاغر فشرده

کمانش جانبی- پیچشی

کمانش موضعی بال

4-5-2-10 بند 4-5-2-10 فشرده

 

غیرفشرده

لاغر

فشرده

 

غیرفشرده

تسلیم

کمانش جانبی-پیچشی

کمانش موضعی بال

تسلیم کششی بال

5-5-2-10 بند 5-5-2-10 فشرده

 

غیرفشرده

لاغر

لاغر تسلیم،

 

کمانش جانبی-پیچشی

کمانش موضعی بال

تسلیم کششی بال

6-5-2-10 بند 6-5-2-10 فشرده

 

غیرفشرده

لاغر

کاربرد ندارد تسلیم

 

کمانش موضعی بال

7-5-2-10 بند 7-5-2-10 فشرده

 

غیرفشرده

لاغر

فشرده

 

غیرفشرده

لاغر

تسلیم

 

کمانش موضعی بال

کمانش موضعی جان

کمانش جانبی-پیچشی

8-5-2-10 بند 8-5-2-10 کاربرد ندارد کاربرد ندارد تسلیم

 

کمانش موضعی

9-5-2-10 بند 9-5-2-10 فشرده

 

غیرفشرده

کاربرد ندارد تسلیم

 

کمانش جانبی-پیچشی

کمانش موضعی بال

10-5-2-10 بند 10-5-2-10 کاربرد ندارد کاربرد ندارد تسلیم

 

کمانش جانبی-پیچشی

کمانش موضعی ساق

11-5-2-10 بند 11-5-2-10 کاربرد ندارد کاربرد ندارد تسلیم

 

کمانش جانبی-پیچشی

12-5-2-10 مقاطع نامتقارن به غیر از نبشی تک کاربرد ندارد کاربرد ندارد کلیه حالت‌های حدی
1-5-2-10 الزامات عمومی

1-1-5-2-10 در روش LRFD مقاومت خمشی طراحی مساوی و در روش ASD مقاومت خمشی مجاز مساوی Mnb است که در آن، ضریب کاهش مقاومت برابر 0.9، Ωb ضریب اطمینان برابر 1.67 و Mn مقاومت خمشی اسمی بوده که باید مطابق الزامات بندهای 10-2-5-2 تا 10-2-5-12 تعیین شود.

تبصره 1: دامنه کاربرد این بخش مربوط به تیرهای با جان پر بوده و برای طراحی تیرهای با جان باز (تیرهای لانه زنبوری) به پیوست شماره 5 رجوع شود.

تبصره 2: انتخاب بند مربوط به تعیین مقاومت خمشی اسمی اعضای خمشی برای مقاطع مختلف می‌تواند مطابق جدول 10-2-5-1 انتخاب شود.

2-1-5-2-10 تمامی الزامات این بخش بر این فرض استوار هستند که از پیچش مقطع حول محور طولی عضو در نقاط تکیه‌گاهی اعضای خمشی جلوگیری شده است.

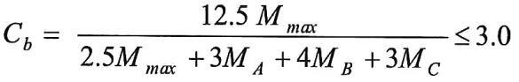
3-1-5-2-10 برای اعضا با مقطع دارای یک محور تقارن و با انحنای ساده و خمش حول محور قوی و برای کلیه اعضا با مقطع دارای دو محور تقارن، ضریب اصلاح کمانش جانبی – پیچشی (Cb) در نمودار لنگر خمشی غیریکنواخت در حدفاصل دو مقطع مهارشده از رابطه زیر تعیین می‌گردد و مقدار آن نباید بزرگتر از 3.0 در نظر گرفته شود:

(1-5-2-10) 10-2-5-1

که در آن:

Mmax = قدرمطلق لنگر خمشی حداکثر در حدفاصل دو مقطع مهارشده

MA = قدرمطلق لنگر خمشی در نقطه 1-2 طول مهارنشده

MB = قدر مطلق لنگر خمشی در نقطه 1-4 طول مهارنشده

MC = قدر مطلق لنگر خمشی در نقطه 3-4 طول مهارنشده

تبصره 1: برای تیرهای طره‌ای که در تکیه‌گاه آن‌ها از تابیدگی مقطع جلوگیری شده و انتهای آزاد آن‌ها فاقد مهار جانبی باشد، Cb مساوی 1.0 است.

تبصره 2: برای اعضا با مقطع دارای یک محور تقارن و با انحنای مضاعف ضریب اصلاح کمانش جانبی – پیچشی (Cb) باید براساس یک تحلیل مستدل محاسبه گردد. برای مقاطع I شکل دارای یک محور تقارن (محور y) به عنوان یک روش تقریبی حالت حدی کمانش جانبی ۔ پیچشی باید به طور مجزا برای لنگرهای خمشی مثبت و منفی کنترل شوند. در این محاسبات ضریب Cb به دست آمده از رابطه 10-2-5-1 را می‌توان در ضرایب اصلاحی R+m (برای لنگر خمشی مثبت) و R-m (برای لنگر خمشی منفی) ضرب کرد، مشروط بر آنکه مقدار به دست آمده بزرگتر از 3.0 در نظر گرفته نشود.

(2-5-2-10) 10-2-5-2

که در آن:

Iy = ممان اینرسی مقطع حول محور اصلی y

I+yc = ممان اینرسی بال تحت فشار مقطع حول محور اصلی y برای ناحیۀ لنگر خمشی مثبت

I-yc = ممان اینرسی بال تحت فشار مقطع حول محور اصلی y برای ناحیه لنگر خمشی منفی

تبصره 3: برای اعضای خمشی با مقطع نامتقارن، Cb را می‌توان به طور محافظه کارانه مساوی 1.0 در نظر گرفت.

2-5-2-10 مقاومت خمشی اسامی اعضای با مقطع I شکل فشرده با دو محور تقارن و اعضای با مقطع ناودانی فشرده تحت اثر خمش حول محور قوی

الزامات این پند مربوط است به تعیین مقاومت خمشی اسمی اعضای با مقطع I شکل فشرده با دو محور تقارن و اعضای با مقطع کاردانی فشرده که تحت اثر خمش حول محور قوی قرار دارند.

مقاومت خمشی اسمی

مقاومت خمشی اسمی (Mn) این نوع اعضا باید برابر کوچک‌ترین مقدار محاسبه شده براساس حالت‌های حدی تسلیم و کمائش جانبی- پیچشی در نظر گرفته شود.

الف) حالت حدی تسلیم

(3-5-2-10) Mn=Mp=FyZx

در رابطه فوق:

Mp = لنگر پلاستیک

Fy = تنش تسلیم مشخصه فولاد

Zx = اساس مقطع پلاستیک حول محور x (محور قوی)

ب) حالت حدی کمانش جانبی – پیچشی

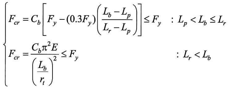
ب-1) اگر Lb≤Lp باشد، لزومی به در نظر گرفتن کمانش جانبی – پیچشی نیست.

ب-2) برای Lp<Lb≤Lr:

(4-5-2-10) 10-2-5-4

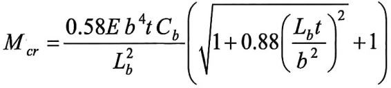
ب-3) برای Lb>Lr:

(5-5-2-10) Mn=FcrSx≤Mp

در روابط فوق:

Lb = فاصله بین دو مقطع از طول عضو که در آن مقاطع از تغییرمکان جانبی بال فشاری یا از پیچش کل مقطع جلوگیری شده است. در این بخش برای اختصار و سادگی، فاصله بین دو تکیه‌گاه جانبی متوالی به عنوان طول مهارنشده عضو نامیده می‌شود.

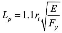
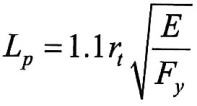
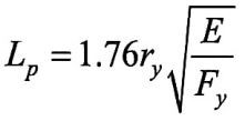
Lp = طول مهارنشده عضو مطابق رابطه زیر که مرز بین حالت حدی تسلیم و حالت حدی کمانش جانبی – پیچشی غیرالاستیک را مشخص می‌کند.

(6-5-2-10) 10-2-5-6

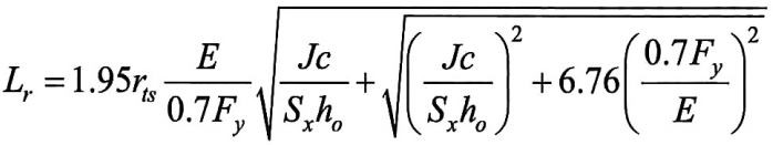
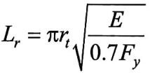
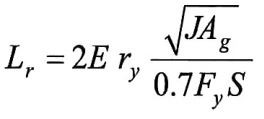
Lr = طول مهارنشده عضو مطابق رابطه زیر که مرز بین حالت حدی کمانش جانبی – پیچشی غیرالاستیک و الاستیک را مشخص می‌کند.

(7-5-2-10) 10-2-5-7

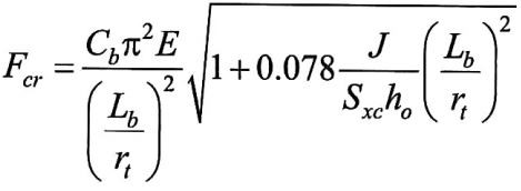
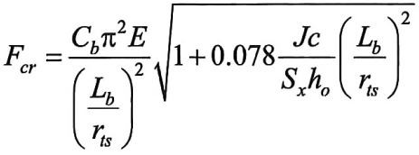
Fcr = تنش بحرانی کمانش الاستیک جانبی – پیچشی مطابق رابطه 10-2-5-8:

(8-5-2-10) 10-2-5-8

تبصره: در رابطه 10-2-5-8 عبارت زیر رادیکال را می‌توان به طور محافظه کارانه مساوی واحد در نظر گرفت.

E = مدول الاستیسیته فولاد

J = ثابت پیچشی که مقدار آن را به طور تقریبی می‌توان از طریق رابطة تعیین نمود.

Sx = اساس مقطع الاستیک حول محور x (محور قوی)

ho = فاصله مرکز تا مرکز بال‌ها

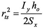
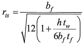
rts = شعاع ژیراسیون مؤثر طبق رابطه زیر:

(9-5-2-10) 10-2-5-9

c = ضریبی است طبق روابط زیر:

– برای مقاطع I شکل با دو محور تقارن c=1

– برای مقاطع ناودانی c-0.5h0-Iy-Cw

Cw = ثابت تابیدگی

Iy = ممان اینرسی مقطع حول محور y (محور ضعیف)

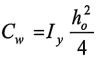
تبصره 1: برای مقاطع I شکل دارای دو محور تقارن با بال مستطیلی، Cw-Iy-h02-4 بوده و در نتیجه برای این نوع مقاطع، رابطه 10-2-5-9 به صورت زیر ساده می‌شود:

(10-5-2-10) 10-2-5-10

هم‌چنین را می‌توان مطابق با رابطه 10-2-5-11، به طور محافظه کارانه برابر شعاع ژیراسیون مقطعی شامل بال فشاری و یک ششم جان حول محور مار بر جان در نظر گرفت:

(11-5-2-10) 10-2-5-11

tf و bf = به ترتیب ضخامت و پهنای بال فشاری مقطع

tw و h = به ترتیپ ضخامت و پهنای جان مقطع

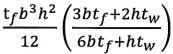
تبصره 2: برای مقاطع ناودانی Cw را می‌توان برابر tfb3h2-12-3bft-2htw-6btf-htw در نظر گرفت که در آن h، tf، b و tw به ترتیب عرض بال، ضخامت بال، ارتفاع و ضخامت جان ناودانی هستند.

3-5-2-10 مقاومت خمشی اسمی اعضای با مقطع I شکل با دو محور تقارن با بالهای غیرفشرده یا لاغر و جان فشرده حول محور قوی

الزامات این بند مربوط است به تعیین مقاومت خمشی اسامی اعضای با مقطع I شکل با دو محور تقارن با بال‌های غیرفشرده یا لاغر و جان فشرده که تحت اثر خمش حول محور قوی قرار دارند.

مقاومت خمشی اسمی

مقاومت خمشی اسمی (Mn) این نوع اعضا باید برادر کوچکترین مقدار محاسبه شده بر اساس حالت‌های حدی کمانش جانبی – پیچشی و کمانش موضعی بال فشاری در نظر گرفته شود.

الف) حالت حدی کمانش جانبی – پیچشی

الزامات این حالت حدی عیناً مشابه الزامات بند 10-2-5-2-ب است.

ب) حالت حدی کمانش موضعی بال فشاری

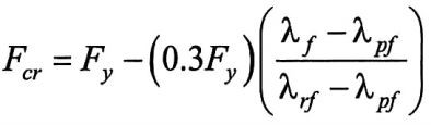
ب -1) برای مقطع با بال‌های غیرفشرده:

(12-5-2-10) 10-2-5-12

ب -2) برای مقطع با بال‌های لاغر:

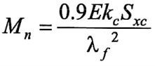
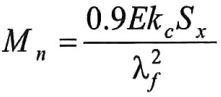
(13-5-2-10) 10-2-5-13

که در آن:

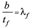
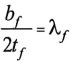
bf-2tf-λf

λp = λpf = حد لاغری برای بال فشرده مطابق جدول 10-2-2-3

λr = λrf = حد لاغری برای بال غیرفشرده مطابق جدول 10-2-2-3

tf و bf = به ترتیب ضخامت و پهنای بال فشاری مقطع

Sx = اساس مقطع الاستیک حول محور x

kc = برابر با 4-h-tw که نباید از 0.35 کمتر و از 0.76 بیشتر در نظر گرفته شود.

tw و h = به ترتیب ضخامت و پهنای ورق جان مقطع براساس تعاریف بند 10-2-2-4

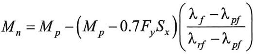
4-5-2-10 مقاومت خمشی اسمی سایر اعضای با مقطع I شکل با یک یا دو محور تقارن با بال‌های فشرده یا غیرفشرده یا لاغر و جان فشرده یا غیرفشرده تحت اثر خمش حول محور قوی

الزامات این بند مربوط است به تعیین مقاومت خمشی اسمی سایر اعضای با مقطع I شکل با یک یا دو محور تقارن که جان به وسط ورق بال متصل شده و دارای بال‌های فشرده یا غیرفشرده یا لاغر و جان فشرده یا غیرفشرده هستند که تحت اثر خمش حول محور قوی قرار دارند.

مقاومت خمشی اسمی

مقاومت خمشی اسمی (Mn) این نوع اعصا باید برابر کوچکترین مقدار محاسبه شده بر اساس حالت‌های حدی تسلیم بال فشاری، کمانش جانبی – پیچشی، کمانش موضعی بال فشاری و تسلیم بال کششی در نظر گرفته شود.

تبصره: مقاومت خمشی اسمی این نوع اعضا را بطور محافظه کارانه می‌توان بر اساس ضوابط بند 10-2-5-5 نیز تعیین نمود.

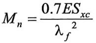
الف) تسلیم بال فشاری

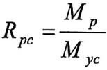
(14-5-2-10) Mn=RpcMyc=RpcFySxc

که در آن:

Fy = تنش تسلیم مشخصه فولاد

Sxc = اساس مقطع الاستیک نسبت به بال فشاری حول محور x

Myc = لنگر تسلیم نسبت به بال فشاری و برابر با FySxc

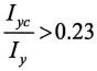
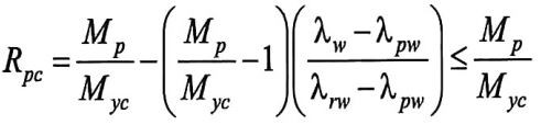
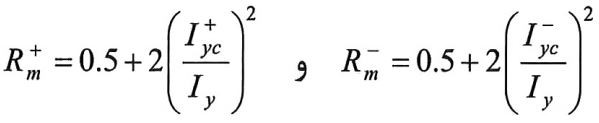
Rpc = ضریب پلاستیک جان مقطع بر اساس حالت حدی بال فشاری مطابق روابط زیر:

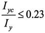
– اگر Iyc-Iy-0.23 و λw≤λpw باشد:

(15-5-2-10) 10-2-5-15

– اگر Iyc-Iy-0.23 و λwpw باشد:

(16-5-2-10) 10-2-5-16

– اگر Iyc-Iy-0.23 باشد:

(17-5-2-10) Rpc=1

که در آن:

Iy = ممان اینرسی مقطع حول محور y

Iyc= ممان اینرسی بال فشاری مقطع حول محور y

Fy Zx = Mp = لنگر پلاستیک مقطع حول محور x که نباید بیشتر از 1.6FySx در نظر گرفته شود.

Zx = اساس مقطع پلاستیک حول محور x

Sx = اساس مقطع الاستیک حول محور x

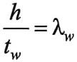
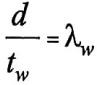
hc-tw-λw

λp = λpw = حد لاغری برای جان فشرده مطابق جدول 10-2-2-4

λr = λrw = حد لاغری برای جان غیرفشرده مطابق جدول 10-2-2-4

hc = دو برابر فاصله محور خنثى الاستیک تا آغاز گردی ریشه اتصال جان به بال، برای مقاطع نوردشده

= دو برابر فاصله محور خنثی در حالت الاستیک تا نزدیک‌ترین خط وسایل اتصال در ناحیۀ فشاری، برای مقاطع ساخته شده از ورق با وسایل اتصال غیراز جوش

= دو برابر فاصله محور خنثی در حالت الاستیک تا وجه داخلی بال فشاری، برای مقاطع ساخته شده از ورق با اتصال جوشی بال به جان

tw = ضخامت جان.

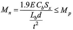
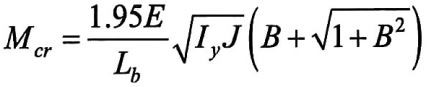
ب) کمانش جانبی – پیچشی

ب -1) اگر Lb≤Lp باشد لزومی به در نظر گرفتن کمانش جانبی – پیچشی نیست.

ب-2) برای Lp<Lb≤Lr:

(18-5-2-10) 10-2-5-18

ب -3) برای Lb>Lr:

(19-5-2-10) Mn=FcrSxc≤RpcMyc

در روابط فوق:

Cb = ضریب اصلاح کمانش جانبی – پیچشی مطابق الزامات بند 10-2-5-1-3

Myc, RPc و Sxc = مشابه تعاریف قسمت (الف) بند 10-2-5-4

Lb = طول مهارنشده عضو

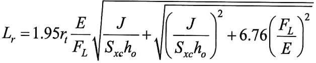
Lp = طول مهارنشده عضو مطابق رابطه زیر که مرز بین حالت حدی تسلیم و حالت حدی کمانش جانبی – پیچشی غیرالاستیک را مشخص می‌کند:

(20-5-2-10) 10-2-5-20

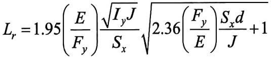
Lr = طول مهارنشده عضو مطابق رابطه زیر که مرز بین حالت حدی کمانش جانبی- پیچشی غیرالاستیک و الاستیک را مشخص می‌کند:

(21-5-2-10) 10-2-5-21

Fcr = تنش بحرانی کمانش الاستیک جانبی – پیچشی مطابق رابطه زیر:

(22-5-2-10) 10-2-5-22

E = مدول الاستیسیته فولاد

J = ثابت پیچشی مقطع که در حالت Iyc/Iy≤0.23 مقدار آن صفر منظور می‌شود.

ho = فاصله مرکز تا مرکز بال‌ها

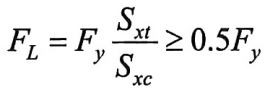
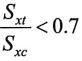
FL = تنش اسمی بال فشاری که مرز کمانش الاستیک و غیرالاستیک را نشان می‌دهد و از طریق روابط زیر تعیین می‌شود:

– اگر Sxt-Sxc-0.7 باشد:

(23-5-2-10) FL=0.7Fy

– اگر Sxt-Sxc-0.7 باشد:

(24-5-2-10) 10-2-5-24

Sxt = اساس مقطع الاستیک نسبت به بال کششی حول محور x

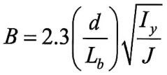
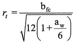
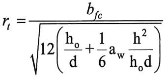
rt = شعاع ژیراسیون مؤثر برای کمانش جانبی پیچشی مطابق روابط زیر:

– برای مقاطع I شکل با بال فشاری مستطیلی به طور محافظه کارانه:

(25-5-2-10) 10-2-5-25

یا به طور محافظه کارانه تر:

(26-5-2-10) 10-2-5-26

– برای مقاطع I شکل با بال فشاری غیرمستطیلی نظیر بال‌های تقویت شده با ورق یا ناودانی، rt برابر با شعاع ژیراسیون قسمتی از مقطع شامل مجموع بال فشاری و اجزای تقویت کننده آن به همراه یک سوم ناحیه فشاری جان حول محور مار بر جان تیر (محور y) که در آن:

(27-5-2-10) 10-2-5-27

tfcو bfc = به ترتیب ضخامت و پهنای بال فشاری مقطع

tw و hc = مطابق تعاریف بند 10-2-5-4 – الف

ho = فاصله مراکز دو بال

d = ارتفاع کل مقطع

h = ارتفاع جان برابر با فاصله خالص بین دو بال

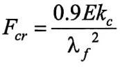
پ) کمانش موضعی بال فشاری

پ -1) برای مقاطع با بال فشاری فشرده لزومی به در نظر گرفتن کمانش موضعی بال فشاری نیست.

پ -2) برای مقاطع با بال فشاری غیرفشرده:

(28-5-2-10) 10-2-5-28

پ -3) برای مقاطع با بال فشاری لاغر:

(29-5-2-10) 10-2-5-29

که در آن:

FL = مطابق تعاریف بند 10-2-5-4-ب

Rpc و Myc = مطابق تعاریف بند 10-2-5-4- الف

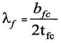
λf-bfc-2tfc

λp = λpf = حد لاغری برای بال فشرده مطابق جدول 10-2-2-3

λr = λrf = حد لاغری برای بال غیرفشرده مطابق جدول 10-2-2-3

tfc و bfc = به ترتیب ضخامت و پهنای بال فشاری مقطع

Sxc = اساس مقطع الاستیک حول محور x

kc = برابر با 4-h-tw که مقدار آن نباید از 0.35 کمتر و از 0.76 بیشتر در نظر گرفته شود.

tw و h = به ترتیب ضخامت و ارتفاع ورق جان مقطع براساس تعاریف بند 10-2-2-4

ت) تسلیم بال کششی

ت-1) چنانچه Sxt≥Sxc باشد، لزومی به در نظر گرفتن تسلیم بال کششی نیست.

ت-2) در صورتی که Sxt<Sxc باشد:

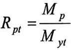
(30-5-2-10) Mn=RptMyt

که در آن:

Sxc = اساس مقطع الاستیک نسبت به بال فشاری حول محور x

Sxt = اساس مقطع الاستیک نسبت به بال کششی حول محور x

Myt = لنگر تسلیم نسبت به بال کششی و برابر با FySxt

Fy = تنش تسلیم مشخصه فولاد

Rpt = ضریب پلاستیک جان مقطع براساس حالت حدی بال کششی مطابق روابط زیر:

– اگر Iyc-Iy-0.23 و λw≤λpw باشد،

(31-5-2-10) 10-2-5-31

– اگر Iyc-Iy-0.23 و λwpw باشد،

(32-5-2-10) 10-2-5-32

– اگر Iyc-Iy-0.23 باشد،

(33-5-2-10) Rpt=1

که در آن:

Iy = ممان اینرسی مقطع حول محور y

Iyc = ممان اینرسی بال فشاری مقطع حول محور y

FyZx=MP = لنگر پلاستیک مقطع حول محور x که بیشتر از 1.6FySx منظور نمی‌شود.

Zx = اساس مقطع پلاستیک حول محور x

Sx = اساس مقطع الاستیک حول محور x

hc-tw-λw

حد لاغری برای جان فشرده مطابق جدول 10-2-2-4

حد لاغری برای جان غیرفشرده مطابق جدول 10-2-2-4

hc– دو برابر فاصله محور خنثی در حالت الاستیک تا آغاز گردی ریشة اتصال جان به بال، برای مقاطع نوردشده

– دو برابر فاصله محور خنثی در حالت الاستیک تا نزدیک‌ترین خط وسایل اتصال در ناحیۀ فشاری، برای مقاطع ساخته شده از ورق با وسایل اتصال غیراز جوش

– دو برابر فاصله محور خنثی در حالت الاستیک تا وجه داخلی بال فشاری، برای مقاطع ساخته شده از ورق با اتصال جوشی بال به جان

tw = ضخامت جان.

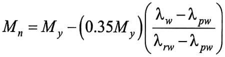
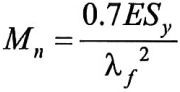
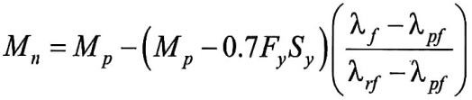
5-5-2-10 مقاومت خمشی اسمی اعضای با مقطع I شکل با یک یا دو محور تقارن با بالهای فشرده و غیرفشرده یا لاغر و جان لاغر تحت اثر خمش حول محور قوی

الزامات این بند مربوط است به تعیین مقاومت خمشی اسمی اعضای با مقطع I شکل با یک یا دو محور تقارن با بال‌های فشرده و غیرفشرده یا لاغر و جان لاغر که تحت اثر خمش حول محور قوی قرار دارند.

مقاومت خمشی اسمی

مقاومت خمشی اسمی (Mn) این نوع اعضا باید برابر کوچکترین مقدار محاسبه شده براساس حالت‌های حدی تسلیم بال فشاری، کمانش جانبی – پیچشی، کمانش موضعی بال فشاری و تسلیم بال کششی در نظر گرفته شود.

الف) تسلیم بال فشاری

(34-5-2-10) Mn=RpgFySxc

که در آن:

Fy = تنش تسلیم مشخصه فولاد

Sxc = اساس مقطع الاستیک نسبت به بال فشاری

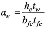
Rpg = ضریب تقلیل مقاومت خمشی برای جان لاغر مطابق رابطه زیر:

(35-5-2-10) 10-2-5-35

E = مدول الاستیسیته فولاد

hc = دو برابر فاصله محور خنثی در حالت الاستیک تا آغاز گردی ریشه اتصال جان به بال، برای مقاطع نوردشده

= دو برابر فاصله محور خنثی در حالت الاستیک تا نزدیک‌ترین خط وسایل اتصال در ناحیۀ فشاری، برای مقاطع ساخته شده از ورق با وسایل اتصال غیراز جوش

= دو برابر فاصله محور خنثی در حالت الاستیک تا وجه داخلی بال فشاری، برای مقاطع ساخته شده از ورق با اتصال جوشی بال به جان

tw = ضخامت جان

aw = نسبت دو برابر مساحت جان تحت فشار به مساحت بال فشاری مطابق رابطه 10-2-5-27 که نباید بزرگتر از 10 در نظر گرفته شود.

ب) کمانش جانبی – پیچشی

ب-1) اگر Lb≤Lp باشد لزومی به در نظر گرفتن کمانش جانبی – پیچشی نیست.

ب- 2) برای Lb>Lp:

(36-5-2-10) Mn=RpgFcrSxc

که در آن:

Rpg = ضریب تقلیل مقاومت خمشی مطابق رابطه 10-2-5-35

Sxc = اساس مقطع الاستیک نسبت به بال فشاری

Fcr = تنش کمانشی مطابق روابط زیر:

(37-5-2-10) 10-2-5-37

Lb = فاصله بین مهارهای جانبی متوالی

مقادیر Lp و Lr از طریق روابط زیر تعیین می‌شوند:

(38-5-2-10) 10-2-5-38
(39-5-2-10) 10-2-5-39

rt = شعاع ژیراسیون مؤثر مربوط به کمانش جانبی مطابق روابط به کار رفته در بند 10-2-5-4-ب

پ) کمانش موضعی بال فشاری

پ -1) برای مقاطع با بال فشاری فشرده لزومی به در نظر گرفتن کمانش موضعی بال فشاری نیست.

پ-2) برای مقاطع با بال فشاری غیرفشرده و لاغر:

(40-5-2-10) Mn=RpgFcrSxc

که در آن:

Rpg = ضریب تقلیل مقاومت خمشی مطابق رابطه 10-2-5-35

Sxc = اساس مقطع الاستیک نسبت به بال فشاری

Fcr = تنش کمانشی مطابق روابط زیر:

– برای مقاطع با بال فشاری غیرفشرده:

(41-5-2-10) 10-2-5-41

برای مقاطع با بال فشاری لاغر:

(42-5-2-10) 10-2-5-42

λf-bfc-2tfc

λp = λpf = حد لاغری برای بال فشرده مطابق جدول 10-2-2-3

λr = λrf = حد لاغری برای بال غیرفشرده مطابق جدول 10-2-2-3

tfc و bfc = به ترتیب ضخامت و پهنای بال فشاری مقطع

Sxc = اساس مقطع الاستیک حول محور x

kc = برابر با 4-h-tw که نباید از 0.35 کمتر و از 0.76 بیشتر در نظر گرفته شود.

tw و h = به ترتیب ضخامت و پهنای ورق جان مقطع براساس تعاریف بند 10-2-2-4

ت) تسلیم بال کششی

ت -1) چنانچه Sxt≥Sxc باشد، لزومی به در نظر گرفتن تسلیم بال کششی نیست.

ت – 2) در صورتی که Sxt<Sxc باشد:

(43-5-2-10) Mn=FySxt

که در آن:

Sxc = اساس مقطع الاستیک نسبت به بال فشاری حول محور x

Sxt = اساس مقطع الاستیک نسبت به بال کششی حول محور x

Fy = تنش تسلیم مشخص فولاد

6-5-2-10 مقاومت خمشی اسمی اعضای با مقطع I شکل و ناودانی تحت اثر خمش حول محور ضعیف

الزامات این بند مربوط است به تعیین مقاومت خمشی اسمی اعضای با مقطع I شکل و ناودانی که تحت اثر خمش حول محور ضعیف قرار دارند.

مقاومت خمشی اسمی

مقاومت خمشی اسمی (Mn) این نوع اعضا باید برادر کوچکترین مقدار محاسبه شده بر اساس حالت حدی تسلیم و کمانش موضعی بال در نظر گرفته شود

الف) تسلیم

(44-5-2-10) Mn=Mp=FtZy≤1.6FySy

که در آن:

Fy = تنش تسلیم مشخصه فولاد

Sy = اساس مقطع الاستیک حول محور ضعیف (محور y) نسبت به دورترین تار

Zy = اساس مقطع پلاستیک حول محور ضعیف (محور y)

ب) کمانش موضعی بال

ب-1) برای مقاطع با بال‌های فشرده لزومی به در نظر گرفتن کمانش موضعی بال نیست.

ب -2) برای مقاطع با بال‌های غیرفشرده:

(45-5-2-10) 10-2-5-45

ب-3) برای مقاطع با بال‌های لاغر:

(46-5-2-10) 10-2-5-46

که در آن:

Sy = اساس مقطع الاستیک حول محور ضعیف (محور y) نسبت به دورترین تار

b-ft-yf

λp = λpf = حد لاغری بال فشرده مطابق جدول 10-2-2-3

λr = λrf = حد لاغری برای بال غیرفشرده مطابق جدول 10-2-2-3

tf = ضخامت بال مقطع

b = برای مقطع I شکل برابر با نصف پهنای بال، برای مقطع ناودانی برابر با پهنای بال

7-5-2-10 مقاومت خمشی اسمی اعضای با مقطع قوطی شکل (HSS) و جعبه‌ای تحت اثر خمش حول محورهای قوی و ضعیف

الزامات این بند مربوط است به تعیین مقاومت خمشی اسمی اعضای با مقطع قوطی شکل (HSS) و جعبه‌ای با بال‌ها و جان‌های فشرده، غیرفشرده یا لاغر که تحت اثر خمش حول محورهای قوی یا ضعیف قرار دارند.

مقاومت خمشی اسمی

مقاومت خمشی اسمی (Mn) این نوع اعضا باید برابر کوچکترین مقدار محاسبه شده براساس حالت‌های حدی تسلیم، کمانش موضعی بال، کمانش موضعی جان و کمانش جانبی – پیچشی در نظر گرفته شود.

الف) تسلیم

(47-5-2-10) Mn=Mp=FyZ

که در آن:

Fy = تنش تسلیم مشخصه فولاد

Z = اساس مقطع پلاستیک حول محور خمش

ب) کمانش موضعی بال

ب-1) برای مقاطع با بال‌های فشرده لزومی به در نظر گرفتن کمانش موضعی بال نیست.

ب -2) برای مقاطع با بال‌های غیرفشرده:

(48-5-2-10) 10-2-5-48

ب-3) برای مقاطع با بال‌های لاغر:

(49-5-2-10) Mn=FySe

که در آن:

S = اساس مقطع الاستیک حول محور خمش (محور قوی)

b-ft-yf

λp = λpf = حد لاغری برای بال فشرده مطابق جدول 10-2-2-3

λr = λrf = حد لاغری برای بال غیرفشرده مطابق جدول 10-2-2-3

b = پهنال بال مقطع مطابق تعریف به کار رفته در بخش 10-2-2

tf = ضخامت بال مقطع

Se = اساس مقطع الاستیک مؤثر که بر مبنای پهنای مؤثر بال فشاری be، محاسبه می‌شود.

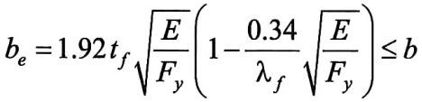
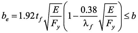
be = پهنای مؤثر بال فشاری مقاطع قوطی شکل و جعبه‌ای براساس روابط زیر:

– در مقاطع قوطی شکل (HSS):

(50-5-2-10) 10-2-5-50

– در مقاطع جعبه‌ای:

(51-5-2-10) 10-2-5-51

پ) کمانش موضعی جان

پ -1) برای مقاطع با جان‌های فشرده لزومی به در نظر گرفتن کمانش موضعی جان نیست.

پ -2) برای مقاطع با جان‌های غیرفشرده:

(52-5-2-10) 10-2-5-52

پ -3) برای مقاطع با جان‌های لاغر:

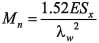
(53-5-2-10) Mn=RpgFcrS

که در آن:

(54-5-2-10) 10-2-5-54

S = اساس مقطع الاستیک حول محور خمش

h-tw-λw

λp = λpw = حد لاغری برای جان فشرده مطابق جدول 10-2-2-3

λr = λrw = حد لاغری برای جان غیرفشرده مطابق جدول 10-2-2-3

h = ارتفاع جان براساس بند 10-2-2-4

tw = ضخامت جان مقطع

Rpg = ضریب تقلیل مقاومت خمشی مطابق رابطه 10-2-5-35 براساس aw=2htw/btf

λf = نسبت پهنا به ضخامت بال براساس تعاریف بخش 10-2-5-7-ب

ت) کمانش جانبی – پیچشی

ت -1) اگر Lb≤Lp باشد، لزومی به در نظر گرفتن کمانش جانبی پیچشی نیست.

ب -2) برای Lp<Lb≤Lr:

(55-5-2-10) 10-2-5-55

ب-3) برای Lb>Lr:

(56-5-2-10) 10-2-5-56

در روابط فوق:

Cb = ضریب اصلاح کمانش جانبی – پیچشی مطابق رابطه 10-2-5-1

S = اساس مقطع الاستیک حول محور خمش (محور قوی)

Lb = طول مهارنشده عضو

LP = طول مهارنشده عضو مطابق رابطه زیر که مرز بین حالت حدی تسلیم و حالت حدی کمانش جانبی – پیچشی غیرالاستیک را مشخص می‌کند.

(57-5-2-10) 10-2-5-57

Lr = طول مهارنشده عضو مطابق رابطه زیر که مرز بین حالت حدی کمانش جانبی – پیچشی غیرالاستیک و الاستیک را مشخص می‌کند.

(58-5-2-10) 10-2-5-58

E = مدول الاستیسیته فولادJ = ثابت پیچشی مقطع

Ag = مساحت ناخالص مقطع

ry = شعاع ژیراسیون مقطع حول محور عمود بر محور خمش (محور ضعیف)

یادداشت: حالت حدی کمانش جانبی – پیچشی در مقاطع قوطی مربعی و مقاطع تحت خمش حول محور ضعیف حاکم نیست. روابط فوق عمدتاً برای مقاطع با نسبت عمق به پهنا و طول مهارنشده زیاد مورد استفاده قرار می‌گیرند.

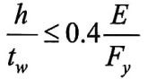
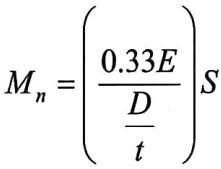
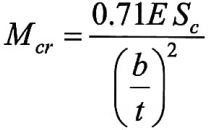
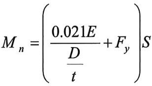
8-5-2-10 مقاومت خمشی اسمی اعضای با مقطع دایره‌ای توخالی

الزامات این بند مربوط است به تعیین مقاومت خمشی اسمی اعضای با مقطع دایره‌ای توخالی که در آن‌ها D/t <0.45 E/Fy است.

مقاومت خمشی اسمی

مقاومت خمشی اسمى (Mn) این نوع اعضا باید برابر کوچکترین مقدار محاسبه شده بر اساس حالت‌های حدی تسلیم و کمانش موضعی در نظر گرفته شود.

الف) تسلیم

(59-5-2-10) Mn=Mp=FyZ

که در آن:

Fy = تنش تسلیم مشخصه فولاد

Z = اساس مقطع پلاستیک

ب) کمانش موضعی

ب -1) برای مقاطع فشرده لزومی به در نظر گرفتن کمانش موضعی نیست.

ب -2) برای مقاطع غیرفشرده:

(60-5-2-10) 10-2-5-60

ب-3) برای مقاطع لاغر:

(61-5-2-10) 10-2-5-61

که در آن:

S = اساس مقطع الاستیک

E = مدول الاستیسیته فولاد

D = قطر خارجی مقطع

t = ضخامت جداره مقطع

9-5-2-10 مقاومت خمشی اسمی اعضای با مقطع سپری و نبشی جفت با بارگذاری در صفحه تقارن

الزامات این بند مربوط است به تعیین مقاومت خمشی اسمی اعضای با مقطع سپری و نبشی جفت که در صفحه تقارن بارگذاری شده‌اند (خمش حول محور x).

مقاومت خمشی اسمی

مقاومت خمشی اسمی (Mn) این نوع اعضا باید برابر کوچک‌ترین مقدار محاسبه شده بر اساس حالتهای حدی تسلیم، کمانش جانبی –پیچشی ، کمکش موضعی بال و کمانش موضعی جان در نظر گرفته شود.

الف) تسلیم

الف -1) در صورتی که بال مقطع سپری یا نبشی جفت فشاری باشد:

(62-5-2-10) Mn=Mp=FyZx≤1.6My

الف-2) درصورتی که بال مقطع سپری، کششی باشد:

(63-5-2-10) Mn=My

الف-3) درصورتی که بال مقطع نبشی جفت، کششی باشد:

(64-5-2-10) Mn=1.5My≤Mp

در روابط فوق:

Fy = تنش تسلیم فولاد

Zx = اساس مقطع پلاستیک حول محور x (محور خمش)

FySx = My = لنگر تسلیم متناظر با تسلیم دورترین تار مقطع

ب) کمانش جانبی پیچشی

ب-1) در صورتی که بال مقطع سپری یا نبشی جفت فشاری باشد:

ب-1-1) اگر Lb≤Lp باشد، لزومی به در نظر گرفتن کمانش جانبی – پیچشی نیست.

ب-1-2) برای Lp<Lb≤Lr:

(65-5-2-10) 10-2-5-65

ب -1-3) برای Lb>Lr:

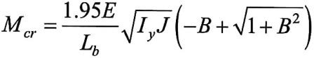
(66-5-2-10) Mn=Mcr

در روابط فوق:

Lb = طول مهارنشده عضو

(67-5-2-10) 10-2-5-67
(68-5-2-10) 10-2-5-68
(69-5-2-10) 10-2-5-69

FyZx=MP= لنگر پلاستیک مقطع

FySx=My= لنگر تسلیم مقطع متناظر با تسلیم دورترین تار مقطع

E = مدول الاستیسیته فولاد

Fy = تنش تسلیم مشخصه فولاد

ry = شعاع ژیراسیون مقطع حول محور عمود بر محور خمش

Iy = ممان اینرسی مقطع حول محور عمود بر محور خمش

J = ثابت پیچشی مقطع

Sx = اساس مقطع الاستیک حول محور خمش (محور x) نسبت به دورترین تار مقطع

d = عمق جان مقطع سپری یا پهنای بال نبشی جفت در کشش

(70-5-2-10) 10-2-5-70

ب- 2) درصورتی که بال مقطع سپری یانیشی جفت کششی باشد:

برای تمام مقادیر طول مهارنشده Lb:

ب-2-1) در مقاطع سپری:

(71-5-2-10) Mn=Mcr≤My

ب -2-2) در مقاطع نبشی جفت:

(72-5-2-10) 10-2-5-72

که در آن تمام کمیت‌ها به جزء Mcrمطابق تعاریف بخش 10-2-5-9-ب-1 است.

(73-5-2-10) 10-2-5-73

پ) کمانش موضعی بال

حالت حدی کمانش موضعی بال برای مقاطعی که بال آن‌ها تحت فشار است، مورد استفاده قرار می‌گیرد.

پ-1) برای مقاطع سپری:

پ -1-1) برای مقاطع با بال فشاری فشرده لزومی به در نظر گرفتن حالت حدی کمانش موضعی بال نیست.

پ-1-2) برای مقاطع با بال فشاری غیرفشرده:

(74-5-2-10) 10-2-5-74

پ -1-3) برای مقاطع با بال فشاری لاغر:

(75-5-2-10) 10-2-5-75

که در آن:

FyZx=Mp= لنگر پلاستیک مقطع

FySxc=My= لنگر تسلیم مقطع نسبت به بال فشاری

E = مدول الاستیسیته فولاد

F = تنش تسلیم مشخصه فولاد

Sxc = اساس مقطع الاستیک نسبت به بال فشاری

bf-2tf-λf

λp = λpf = حد لاغری برای بال فشرده مطابق جدول 10-2-2-3

λr = λrf = حد لاغری برای بال غیرفشرده مطابق جدول 10-2-2-3

bf = پهنای بال مقطع مطابق تعریف به کار رفته در بخش 10-2-2

tf = ضخامت بال مقطع

پ -2) برای مقاطع نبشی جفت:

مقاومت خمشی اسمی (Mn)، براساس روابط بخش 10-2-5-10پ (کمانش موضعی ساق مقاطع نبشی تک) محاسبه می‌شود که در آن‌ها Sc نسبت به بال فشاری محاسبه می‌شود.

ت) کمانش موضعی جان

حالت حدی کمانش موضعی جان برای سپری‌هایی که بال آن‌ها تحت کشش است، مورد استفاده قرار می‌گیرد.

ت-1) برای مقاطع سپری

ت-1-1) برای مقاطع با جان فشرده لزومی به در نظر گرفتن حالت حدی کمانش موضعی بال نیست.

ت-1-2) برای مقاطع با جان غیرفشرده:

(76-5-2-10) 10-2-5-76

ت-1-3) برای مقاطع با جان لاغر:

(77-5-2-10) 10-2-5-77

که در آن:

FySx=My= لنگر تسلیم مقطع متناظر با تسلیم دورترین تار مقطع

E = مدول الاستیسیته فولاد

Fy = تنش تسلیم مشخصه فولاد

Sx = اساس مقطع الاستیک حول محور خمش (محور x) نسب به دورترین تار مقطع

d-tw-λw

λp = λpw = حد لاغری برای جان فشرده مطابق جدول 10-2-2-3

λr = λrw = حد لاغری برای جان غیرفشرده مطابق جدول 10-2-2-3

d = عمق کلی مقطع مطابق تعریف به کار رفته در بخش 10-2-2

tw = ضخامت جان مقطع

ت -2) برای مقاطع نبشی جفت:

مقاومت خمشی اسمی (Mn)، براساس روابط بخش 10-2-5-10پ (کمائش موضعی ساق مقاطع نبشی تک) محاسبه می‌شود که در آن‌ها Sc اساس مقطع الاستیک حول محور خمش نسبت به دورترین تار فشاری است.

10-2-5-10 مقاومت خمشی اسمی اعضای با مقطع نبشی تک

الزامات این بند مربوط است به تعیین مقاومت خمشی اسمی اعضای با مقطع نبشی تک که تحت اثر لنگر خمشی قرار دارد.

مقاومت خمشی اسمی

در نبشی‌های تک که در تمام طول خود به طور پیوسته در مقابل کمانش جانبی – پیچشی مهارشده باشند، طراحی براساس مشخصات هندسی محورهای x و y مجاز است. اما در نبشی‌هایی که در تمام طول خود فاقد مهار کافی در مقابل کمانش جانبی پیچشی هستند باید براساس مشخصات هندسی محورهای اصلی نبشی w و z طراحی شوند.

مقاومت خمشی اسمی (Mn) این نوع اعضا باید برابر کوچک‌ترین مقدار محاسبه شده براساس حالت‌های حدی تسلیم، کمانش جانبی پیچشی و کمانش موضعی ساق نبشی در نظر گرفته شود.

الف) تسلیم

(78-5-2-10) Mn=1.5My

که در آن:

FyS=My= لنگر تسلیم مقطع حول محور خمش

S = اساس مقطع الاستیک حول محور خمش

ب) کمانش جانبی پیچشی

برای نبشی‌هایی که تحت اثر خمش حول محور اصلی ضعیف مقطع (محور z) باشند یا سایر حالاتی که در آن مقطع دارای مهار جانبی کافی در مقابل کمانش جانبی – پیچشی در تمام طول خود هستند لزومی به در نظر گرفتن حالت حدی کمانش جانبی – پیچشی نیست.

مقاومت خمشی اسمی نبشی‌های فاقد مهار جانبی کافی باید به شرح زیر تعیین شود:

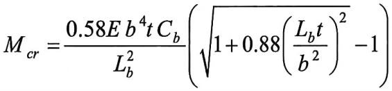
– برای حالتی که My≤Mcr باشد:

(79-5-2-10) 10-2-5-79

– برای حالتی که My>Mcr باشد:

(80-5-2-10) 10-2-5-80

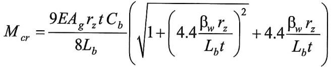
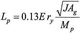
در روابط فوق، Mcr لنگر خمشی کمانش جانبی – پیچشی بوده و از روابط زیر تعیین می‌شود:

ب-1) هرگاه خمش حول محور اصلی قوی نبشی (محور w) باشد:

(81-5-2-10) 10-2-5-81

که در آن:

Cb = ضریب اصلاح کمائش جانبی – پیچشی مطابق رابطه 10-2-5-1 که مقدار آن نباید بیشتر از 1.5 در نظر گرفته شود.

E = مدول الاستیسیته فولاد

Ag = مساحت مقطع نبشی

rz = شعاع ژیراسیون حول محور اصلی ضعیف

t = ضخامت ساق نبشی

Lb = طول مهارنشده عضو

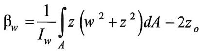
βw = مشخصه هندسی مقطع نبشی برای در نظر گرفتن اثرات ساق‌های نامساوی. برای حالتی که هر دو ساق نبشی برابر باشند مقدار βw برابر صفر منظور می‌شود. برای حالتی که ساق کوتاه در فشار است βw مثبت و برای حالتی که ساق بلند در فشار است βw منفی است (شکل 10-2-5-1).

βw را می‌توان براساس رابطه زیر محاسبه نمود:

(82-5-2-10) 10-2-5-82

که در آن:

Iw = ممان اینرسی مقطع حول محور اصلی قوی

zo = فاصله مرکز برش تا مرکز سطح نبشی در راستای محور اصلی ضعیف مقطع

z و w = مختصات نقاط مقطع براساس محورهای قوی و ضعیف براساس شکل 10-2-5-1

مشخصات مقطع نبشی تک و علامت βw

شکل 10-2-5-1: مشخصات مقطع نبشی تک و علامت βw

ب-2) هرگاه خمش حول محور یکی از محورهای هندسی مقطع (محور x یا y) نبشی با دو ساق مساوی باشد و نیروی محوری به آن اعمال نشود:

ب-2-1) اگر نبشی فاقد مهار جانبی در مقابل کمانش جانبی – پیچشی در تمام طول خود باشد:

– برای حالت فشار حداکثر در لبه آزاد ساق نبشی (پنجه نبشی):

(83-5-2-10) 10-2-5-83

– برای حالت کشش حداکثر در لبه آزاد ساق نبشی (پنجه نبشی):

(84-5-2-10) 10-2-5-84

در این حالت My باید برابر با 0.8 مقدار لنگر تسلیم مقطع منظور شود.

در روابط فوق، b پهنای کلی ساق نبشی است.

ب -2-2) اگر نبشی فقط در محل لنگر خمشی حداکثر دارای مهار جانبی در مقابل کمانش جانبی – پیچشی باشد، در این حالت Mcr باید 1.25 برابر مقدار به دست آمده از روابط 10-2-5-81 یا 82 و My باید برابر با مقدار لنگر تسلیم مقطع منظور شود.

پ) کمانش موضعی ساق نبشی

حالت حدی کمانش موضعی ساق نبشی در حالتی کاربرد دارد که لبه آزاد ساق نبشی (پنج نبشی) در فشار باشد.

پ-1) برای مقاطع فشرده لزومی به در نظر گرفتن حالت حدی کمانش موضعی ساق نیست.

پ- 2) برای مقاطعی با ساق غیرفشرده:

(85-5-2-10) 10-2-5-85

پ-3) برای مقاطعی با ساق لاغر:

(86-5-2-10) 10-2-5-86

که در آن:

b = پهنای کلی ساق فشاری نبشی

t = ضخامت ساق فشاری نبشی

Fy = تنش تسلیم مشخصه فولاد

E = مدول الاستیسیته فولاد

Sc = اساس مقطع الاستیک حول محور خمش نسبت به پنجه تحت فشار نبشی است و برای نبشی‌های دو ساق مساوی که تحت اثر خمش حول یکی از محورهای x و y قرار دارند و در تمام طول خود فاقد مهار جانبی هستند، Sc برابر 0.8 اساس مقطع الاستیک حول محورهای x و y نسبت به دورترین تار فشاری مقطع در نظر گرفته می‌شود.

11-5-2-10 مقاومت خمشی اسمی اعضای با مقطع دایره‌ای و چهارگوش توپر

الزامات این بند مربوط به تعیین مقاومت خمشی اسمی اعضای با مقطع چهارگوش توپر که تحت اثر خمش حول یکی از محورهای اصلی قرار دارند و نیز اعضای با مقطع دایره‌ای توپر است.

مقاومت خمشی اسمى (Mn) این نوع اعضا باید برابر کوچکترین مقدار محاسبه شده براساس حالات حدی تسلیم و کمانش جانبی – پیچشی در نظر گرفته شود.

مقاومت خمشی اسمی

الف) تسلیم

(87-5-2-10) برای مقاطع چهارگوش Mn=Mp=FyZx
(88-5-2-10) برای مقاطع دایره‌ای Mn=1.6FySx

که در آن:

MP = لنگر پلاستیک مقطع

Fy = تنش تسلیم مشخصه فولاد

Zx = اساس مقطع پلاستیک حول محور خمش

Sx = اساس مقطع الاستیک حول محور خمش

ب) کمانش جانبی – پیچشی

ب-1) برای مقاطع چهار گوش توپر تحت اثر خمش حول محور ضعیف و مقاطع دایره‌ای توپر لزومی به در نظر گرفتن حالت حدی کمانش جانبی – پیچشی نیست.

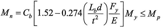
ب-2) برای مقاطع چهار گوش توپر تحت اثر خمش حول محور قوی:

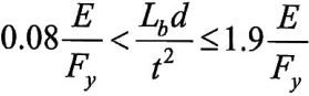
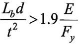
ب-2-1) برای حالتی که Lbd-t2-0.08-E-Fy باشد، لزومی به در نظر گرفتن حالت حدی کمانش جانبی – پیچشی نیست.

ب-2-2) برای حالتی که 0.08-E-Fy-Lbd-t2-1.9-E-Fy باشد:

(89-5-2-10) 10-2-5-89

ب-2-3) برای حالتی که Lbd-t2-1.9-E-Fy باشد:

(90-5-2-10) 10-2-5-90

که در آن:

Sx = اساس مقطع الاستیک حول محور خمش

FySx=My = لنگر تسلیم مقطع

Lb = طول مهارنشده عضو

d = عمق مقطع عمود بر محور خمش

t = پهنای مقطع موازی با محور خمش

Cb = ضریب اصلاح کمانش جانبی – پیچشی مطابق رابطه 10-2-5-1 که نباید از 1.5 بزرگ‌تر در نظر گرفته شود.

12-5-2-10 مقاومت خمشی اسمی اعضای با مقطع نامتقارن

الزامات این بند مربوط است به تعیین مقاومت خمشی اسمی اعضای با مقطع نامتقارن به جز مقاطع نبشی که تحت اثر خمش قرار دارد.

مقاومت خمشی اسمی (Mn) این نوع اعضا باید برابر کوچکترین مقدار محاسبه شده براساس حالت‌های حدی تسلیم، کمانش جانبی – پیچشی و کمانش موضعی در نظر گرفته شود.

(91-5-2-10) Mn=FnSmin

که در آن،

Smin = کوچک‌ترین اساس مقطع الاستیک حول محور خمش

Fn = تنش اسمی مقطع نامتقارن که چنین تعیین می‌شود:

الف) تسلیم

(92-5-2-10) Fn=Fy

ب) کمانش جانبی – پیچشی

(93-5-2-10) Fn=Fcr≤Fy

که در آن:

Fcr = تنش نظیر کمانش جانبی – پیچشی مقطع که از طریق تحلیل به دست می‌آید.

تبصره: برای اعضای با مقطع Z شکل، Fcr نظیر کمانش جانبی – پیچشی را می‌توان معادل نصف Fcr مقاطع ناودانی با مشخصات بال و جان مشابه در نظر گرفت.

پ) کمانش موضعی

(94-5-2-10) Fn=Fcr≤Fy

Fcr = تنش نظیر کمانش موضعی مقطع که از طریق تحلیل به دست می‌آید.

13-5-2-10 تناسبات ابعادی مقطع اعضای خمشی

الف) اعضای با مقاطع دارای بال کششی سوراخ‌دار

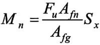
این بند مربوط است به اعضای با مقاطع نورد شده و ساخته شده از ورق که مقطع آن‌ها دارای سوراخ بوده و مقاومت خمشی اسمی آن‌ها بر مبنای سطح مقطع کلی محاسبه شده است. در این گونه اعضا در صورت وجود سوراخ در بال یا بال‌ها، در محاسبه مقاومت خمشی اسمی (Mn)، در محدوده سوراخ باید محدودیت‌های گسیختگی بال کششی در نظر گرفته شود.

الف -1) در صورتی که FuAfn≥ 1.2 Yt FyAfg باشد، هیچ‌گونه محدودیتی در محاسبه مقاومت خمشی اسمی به خاطر وجود سوراخ در بال کششی در نظر گرفته نمی‌شود.

الف – 2) در صورتی که FuAfn< 1.2 Yt FyAfg باشد، در محدوده سوراخ بال کششی، مقاومت خمشی اسمی نباید بزرگتر از مقدار زیر در نظر گرفته شود:

(95-5-2-10) 10-2-5-95

که در آن:

Afg = سطح مقطع کلی بال کششی

Afn = سطح مقطع خالص بال کششی که براساس الزامات بخش 10-2-3 محاسبه می‌شود.

Fu= تنش کششی نهایی مشخصه فولاد

Fy = تنش تسلیم مشخصه فولاد

Yt = ضریب تأثیر سوراخ که برای حالت Fy/Fu≤0.8 برابر 1.0 و برای سایر حالتها باید برابر 1.1 در نظر گرفته شود.

Sx = اساس مقطع الاستیک حول محور خمش نسبت به دورترین تار مقطع

ب) اعضای با مقطع I شکل

ب-1) اعضای با مقطع I شکل دارای یک محور تقارن باید محدودیت زیر را برآورده سازند.

(96-5-2-10) 10-2-5-96

که در آن:

Iy = ممان اینرسی کل مقطع حول محور y

Iyc = ممان اینرسی بال فشاری در حالت انحنای ساده و ممان اینرسی بال کوچکتر در حالت انحنای مضاعف حول محور y

ب-2) در اعضای با مقطع I شکل با جان لاغر باید محدودیت‌های زیر نیز رعایت شوند.

– برای a-h-1.5:

(97-5-2-10) 10-2-5-97

– برای a-h-1.5:

(98-5-2-10) 10-2-5-98

که در آن:

a = فاصله آزاد بین سخت‌کننده‌های عرضی

h = فاصله بین شروع کردی ریشه جان به بال، برای نیمرخ‌های نورد شده

= فاصله آزاد بین دو بال، برای مقاطع ساخته شده از ورق

tw = ضخامت جان

E = مدول الاستیسیته فولاد

Fy = تنش تسلیم مشخصه فولاد

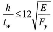
ب-3) در اعضای بدون سخت‌کننده‌های عرضی نسبت h/tw نباید از 260 و نسبت دو برابر مساحت ناحیه تحت فشار جان به مساحت بال فشاری نباید از 10 بیشتر شود.

پ) ملاحظات ورق‌های پوششی در بال مقاطع اعضای خمشی

پ 1) تقویت بالها

بال مقاطع تیرهای نوردشده و تیرهای ساخته شده از ورق را می‌توان به کمک ورق‌های پوششی بال، تقویت نمود. در مواردی که اتصال ورق پوششی بال به بال مقاطع تیرها از نوع پیچی یا جوشی باشد، در هر بال مجموع سطح مقطع‌های ورق‌های پوششی نباید از 70 درصد سطح مقطع کل بال (شامل ورق‌های تقویتی) تجاوز نماید.

پ-2) اتصال ورق‌های پوششی به بال

اتصال ورق‌های پوششی به بال تیر باید از نوع جوشی یا پیچی با پیچ‌های پرمقاومت و با عملکرد لغزش بحرانی باشد و بر مبنای برش افقی ناشی از تغییرات لنگر خمشی تیر طراحی شوند. توزیع طولی پیچ‌ها و جوش‌های منقطع باید متناسب با شدت برش باشد، لیکن فاصله آن‌ها نباید از مقادیر ارائه شده در بند 10-2-3-5 برای بال کششی و مقادیر ارائه شده در بند 10-2-4-6-2 برای بال فشاری بیشتر شود. در صورت استفاده از جوش گوشه، درهرحال بعد جوش نباید از بعد حداقل آن کمتر شود. در ضمن این پیچ‌ها یا جوشها باید برای انتقال هر نیرویی که مستقیماً از طریق بال به جان منتقل می‌شود، طراحی گردند؛ مگر اینکه این نیرو به طریقی دیگر به جان انتقال یابد.

پ – 3) قطع ورق‌های پوششی بال‌ها

ورق‌های پوششی که در تمام طول دهانه ادامه ندارند، باید بعد از نقطه قطع محاسباتی به طول مشخصی ادامه یافته و در این طول به وسیله پیچ‌های پرمقاومت با عملکرد لغزش بحرانی یا جوش گوشه به بال متصل شوند. این طول، طول گیرایی نامیده می‌شود.

طول گیرایی باید به اندازه‌ای باشد که اتصال ورق پوششی در این طول قادر به انتقال برش افقى ناشی از مقاومت خمشی سهم ورق پوششی از مقاومت خمشی موردنیاز تیر در نقطه قطع محاسباتی ورق یا به طور محافظه کارانه قادر به انتقال برش افقی برابر حاصل ضرب مساحت ورق پوششی در تنش تسلیم مشخصه فولاد باشد.

حداقل طول گیرایی (a) که از انتهای ورق پوششی اندازه‌گیری می‌شود، باید به شرح زیر در نظر گرفته شود:

(1) برابر پهنای ورق پوششی، در حالتی که جوش اتصال ورق پوششی به تیر در طول a، پیوسته و بعد ساق آن حداقل سه چهارم ضخامت ورق پوششی بوده و در دو لبه کناری و لبه انتهایی ورق پوششی اجرا شود.

(2) یک و نیم برابر پهنای ورق پوششی، در حالتی که بعد جوش پیوسته به طول a در دو لبه کناری ورق پوششی و در انتهای آن کمتر از سه چهارم ضخامت ورق تقویتی باشد.

(3) دو برابر پهنای ورق پوششی، در حالتی که جوش پیوسته به طول a فقط در دو لبه کناری ورق وجود دارد و در لبه انتهایی جوش اجرا نمی‌شود.

ت) اعضای ساخته شده از چند نیمرخ

هنگامی که از دو یا چند نیمرخ برای ساخت مقطع یک عضو خمشی با عملکرد مشترک استفاده شود، اتصال آن‌ها باید براساس ضوابط بخش 10-2-9 انجام گیرد. برای انتقال بار از یک نیمرخ به نیمرخ یا نیمرخهای دیگر با توزیع آن بین نیمرخ‌ها، باید دیافراگم‌هایی در امتداد عمود بر محور طولی عضو با سختی کافی از طریق پیچ یا جوش به نیمرخها متصل شود.

ث) اتصال جان به بال اعضای ساخته شده از ورق

اتصال جان به بال مقاطع ساخته شده از ورق باید از نوع جوشی بوده و بر مبنای برش افقی ناشی از تغییرات لنگر خمشی تیر و متناسب با شدت برش طراحی شوند. در صورت استفاده از جوشهای منقطع، توزیع طولی آن‌ها باید متناسب با شدت برش باشد، لیکن فاصله آن‌ها نباید از حداقل مقادیر ارائه شده در بند 10-2-3-5 برای بال کششی و مقادیر ارائه شده در بند 10-2-4-6-2 برای بال فشاری بیشتر شود. درهرحال بعد جوش گوشه نباید از بعد حداقل کمتر در نظر گرفته شود. در ضمن این جوش‌ها باید برای انتقال هر نیرویی که مستقیماً از طریق بال به جان منتقل می‌شود، طراحی گردند؛ مگر اینکه این نیرو به طریقی دیگر به جان انتقال یابد.

14-5-2-10 ملاحظات مربوط به بازشو در جان تیرها و شاه تیرها

در تعیین مقاومت خمشی اسمی اعضای با مقطع فولادی، تأثیر بازشوهای موجود در جان باید به نحو مناسبی در نظر گرفته شود. الزامات مربوط به تیرهای دارای بازشوهای متوالی در جان (تیرهای لانه زنبوری) در پیوست 5 ارائه شده است.

همه فصول

مشخصات آیین‌نامه

تعداد فصول: 39 فصل
سال انتشار: 1401
ویرایش: پنجم

جستجو در آیین‌نامه‌ها

ناشرین آیین‌نامه‌ها

مقررات ملی ساختمان

قوانین، آیین‌نامه‌ها، شیوه‌نامه‌ها، دستورالعمل‌ها و بخشنامه‌های ساختمان

نظام مهندسی ساختمان

ضوابط، بخشنامه‌ها، نشریه‌ها و معیار‌های فنی نظام مهندسی ساختمان

مرکز تحقیقات راه، مسکن و شهرسازی

قوانین، آیین‌نامه‌ها و بخشنامه‌های مرکز تحقیقات راه، مسکن و شهرسازی

سازمان برنامه و بودجه کشور

ضوابط، بخشنامه‌ها و قوانین سازمان برنامه و بودجه کشور

سازمان ملی استاندارد ایران

استانداردهای کمیته‌های مختلف سازمان ملی استاندارد ایران

سازمان تامین اجتماعی کشور

مقررات و آیین‌نامه‌های درمانی و بیمه‌ای سازمان تامین اجتماعی کشور

ضوابط فنی و اجرایی شهرداری‌ها

ضوابط، بخشنامه‌ها، نشریه‌ها و معیار‌های فنی شهرداری‌های کشور

ضوابط فنی و اجرایی وزارت بهداشت

ضوابط، بخشنامه‌ها، نشریه‌ها و معیار‌های فنی وزارت بهداشت

ضوابط فنی و اجرایی وزارت نیرو-آبفا

ضوابط، بخشنامه‌ها، نشریه‌ها و معیار‌های فنی وزارت نیرو-آبفا

ضوابط سازمان بنادر و دریانوردی

ضوابط، بخشنامه‌ها، نشریه‌ها و معیار‌های فنی سازمان بنادر و دریانوردی

ضوابط فنی و اجرایی وزارت نفت

ضوابط، بخشنامه‌ها، نشریه‌ها و معیار‌های فنی وزارت نفت

قوانین و مقررات مالیاتی کشور

قوانین، مقررات، ضوابط و دستورالعمل‌هاى مالیاتى سازمان مالیات كشور

تازه‌ترین فصل‌ها

واژه‌نامه

مبحث هفدهم مقررات ملی ساختمان (سامانه گاز طبیعی در ساختمان)

پیوست ۶ دسته‌بندی نوع دستگاه‌‌‌های گازسوز

مبحث هفدهم مقررات ملی ساختمان (سامانه گاز طبیعی در ساختمان)

پیوست 5 شکل‌ها

مبحث هفدهم مقررات ملی ساختمان (سامانه گاز طبیعی در ساختمان)

پیوست 4 جدول‌ها

مبحث هفدهم مقررات ملی ساختمان (سامانه گاز طبیعی در ساختمان)

پیوست 3 ایمنی و ضوابط بهره‌برداری و نگهداری از سیستم لوله‌‌کشی گاز

مبحث هفدهم مقررات ملی ساختمان (سامانه گاز طبیعی در ساختمان)

پیوست 2 نمونه محاسبات

مبحث هفدهم مقررات ملی ساختمان (سامانه گاز طبیعی در ساختمان)

پیوست 1 راهنمای ایمنی

مبحث هفدهم مقررات ملی ساختمان (سامانه گاز طبیعی در ساختمان)