آیین‌نامه‌ها

صفحه اصلی / آیین‌نامه‌ها / مبحث دهم مقررات ملی ساختمان (طرح و اجرای ساختمان‌های فولادی)
4-2-10 الزامات طراحی اعضا برای نیروی فشاری

4-2-10 الزامات طراحی اعضا برای نیروی فشاری

این بخش به الزامات طراحی اعضای منشوری می‌پردازد که تحت اثر نیروی محوری فشاری در امتداد محور طولی عضو قرار دارند. مقررات این بخش تحت عناوین زیر ارائه می‌گردد:

  • 1-4-2-10 الزامات عمومی
  • 2-4-2-10 نسبت لاغری
  • 3-4-2-10 مقاومت فشاری اسمی براساس کمانش خمشی در مقاطع بدون اجزای لاغر
  • 4-4-2-10 مقاومت فشاری اسمی براساس کمانش پیچشی و کمانش خمشی – پیچشی در مقاطع بدون اجزای لاغر
  • 5-4-2-10 اعضای با مقطع نبشی تک
  • 6-4-2-10 اعضای فشاری ساخته شده (مرکب)
  • 7-4-2-10 اعضای فشاری دارای اجزای لاغر
1-4-2-10 الزامات عمومی

اعضای فشاری می‌توانند از نیمرخ تک، نیمرخ‌های مرکب و نیمرخ‌های ساخته شده از ورق یا ترکیبی از ورق و نیمرخ باشند. برای اعضایی که تحت اثر مشترک فشار محوری و لنگر خمشی قرار دارند، به الزامات بخش 10-2-7 مراجعه شود.

در روش LRFD مقاومت فشاری طراحی اعضا برابر ϕcPn و در روش ASD مقاومت فشاری مجاز اعضا برابر Pnc است. Pn مقاومت فشاری اسمی است که باید برابر کوچکترین مقدار محاسبه شده بر اساس حالتهای حدی کمانش خمشی، کمانش پیچشی و کمانش خمشی – پیچشی (حسب مورد) در نظر گرفته شود. در طراحی اعضای فشاری مقدار ϕc برابر 0.9 و مقدار Ωc برابر 1.67 است.

حالت‌های حدی حاکم بر طراحی اعضای فشاری براساس شکل مقطع، مطابق جدول 10-2-4-1 انتخاب می‌شود.

جدول 10-2-4-1: حالت یا حالت‌های حدی حاکم بر طراحی اعضای فشاری برای مقاطع مختلف

حالت نوع مقطع شکل مقطع حالت یا حالت‌های حدی حاکم بر طراحی برای مقاطع بدون اجزای لاغر بند مربوطه حالت یا حالت‌های حدی حاکم بر طراحی برای مقاطع دارای اجزای لاغر بند مربوطه
1 مقاطع I شکل دارای دو محور تقارن شکل مقطع 1 – کمانش خمشی حول هر یک از محورهای مقطع
– کمانش پیچشی حول محور طولی عضو
3-4-2-10
4-4-2-10
– کمانش موضعی
– کمانش خمشی حول هر یک از محورهای اصلی مقطع
– کمانش پیچشی حول محور طولی عضو
7-4-2-10
2 مقاطع I شکل با یک محور تقارن و مقاطع ناودانی شکل مقطع 2 – کمانش خمشی حول محور عمود بر محور تقارن مقطع
– کمانش خمشی-پیچشی حول محور تقارن مقطع و محور طولی عضو
3-4-2-10
4-4-2-10
– کمانش موضعی
– کمانش خمشی حول محور عمود بر محور تقارن مقطع
– کمانش خمشی- پیچشی حول محور تقارن مقطع و محور طولی عضو
7-4-2-10
3 مقاطع صلیبی یا ساخته شده (مرکب) دارای دو محور تقارن شکل مقطع 3 – کمانش خمشی حول هر یک از محورهای اصلی مقطع
– کمانش پیچشی حول محور طولی عضو
3-4-2-10
4-4-2-10
6-4-2-10
– کمانش موضعی
– کمانش خمشی حول هر یک از محورهای اصلی مقطع
– کمانش پیچشی حول محور طولی عضو
7-4-2-10
6-4-2-10
4 مقاطع توخالی مستطیلی شکل شکل مقطع 4 – کمانش خمشی حول محورهای اصلی مقطع 3-4-2-10 – کمانش موضعی
– کمانش خمشی حول محورهای اصلی مقطع
7-4-2-10
5 مقاطع توخالی دایره‌ای شکل شکل مقطع 5 – کمانش خمشی حول هر محور دلخواه مقطع 3-4-2-10 – کمانش موضعی
– کمانش خمشی حول هر محور دلخواه مقطع
7-4-2-10
6 مقطع سپری شکل مقطع 6 – کمانش خمشی حول محور عمود بر محور تقارن مقطع
– کمانش خمشی-پیچشی حول محور تقارن مقطع و محور طولی عضو
3-4-2-10
4-4-2-10
– کمانش موضعی
– کمانش خمشی حول محور عمود بر محور تقارن مقطع
– کمانش خمشی-پیچشی حول محور تقارن مقطع و محور طولی عضو
7-4-2-10
7 مقاطع مرکب از دو نیمرخ نبشی پشت به پشت شکل مقطع 7 – کمانش خمشی حول محور عمود بر محور تقارن مقطع
– کمانش خمشی-پیچشی حول محور تقارن مقطع و محور طولی عضو
3-4-2-10
4-4-2-10
6-4-2-10
کمانش موضعی
– کمانش خمشی حول محور عمود بر محور تقارن مقطع
– کمانش خمشی-پیچشی حول محور تقارن مقطع و محور طولی عضو
7-4-2-10
6-4-2-10
8 مقاطع نبشی تک شکل مقطع 8 -کمانش خمشی
– کمانش خمشی-پیچشی
5-4-2-10 کمانش موضعی
– کمانش خمشی
– کمانش خمشی-پیچشی
7-4-2-10
9 مقاطع توپر شکل مقطع 9 – کمانش خمشی حول محورهای اصلی 3-4-2-10 موضوعیت ندارد
10 مقاطع بدون محور تقارن غیراز نبشی‌های تک شکل مقطع 10 – کمانش خمشی-پیچشی حول محور اصلی مقطع و حول محور طولی عضو 4-4-2-10 کمانش موضعی
– کمانش خمشی -پیچشی حول محورهای اصلی مقطع و حول محور طولی عضو
7-4-2-10
2-4-2-10 نسبت لاغری

ضریب طول مؤثر (K)، برای محاسبه نسبت لاغری (KL-r) و محاسبۀ مقاومت اسمی آن‌ها، باید مطابق با ضوابط بخش 10-2-1 این مبحث تعیین شود که در آن:

L = طول مقید نشدۀ عضو حول محور کمانش مورد نظر

r= شعاع ژیراسیون مقطع عضو حول محور کمانش موردنظر

نسبت لاغری (KL-r)، اعضایی که برای تحمل نیروی محوری فشاری طراحی می‌شوند، نباید از 200 بیشتر شود.

3-4-2-10 مقاومت فشاری اسمی براساس کمانش خمشی در اعضای با مقطع بدون اجزای لاغر

مقاومت فشاری اسمی (Pn)، اعضای فشاری با مقطع دارای یک یا دو محور تقارن بدون اجزای لاغر براساس کمانش خمشی حول محور موردنظر با استفاده از رابطه زیر تعیین می‌شود:

(1-4-2-10) Pn=FcrAg

که در آن:

Ag =سطح مقطع کلی عضو

Fcr= تنش فشاری ناشی از کمانش خمشی که از روابط زیر به دست می‌آید:

الف) اگر KL-r-4.71-E-Fy (یا Fy-Fe-2.25) باشد:

(2-4-2-10) Fcr-0.658-Fy-Fe-Fy

ب) اگر KL-r-4.71-E-Fy-2 (یا Fy-Fe-2.25-2) باشد:

(3-4-2-10) Fcr=0.877Fe

در روابط فوق:

KL-r = به نسبت لاغری عضو حول محور کمانش موردنظر

Fy = تنش تسلیم مشخصه فولاد

E = مدول الاستیسیته فولاد

K = ضریب طول مؤثر حول محور کمانش موردنظر مطابق ضوابط بخش 10-2-1

L = طول مهارنشده عضو حول محور کمانش موردنظر

r= شعاع ژیراسیون مقطع عضو حول محور کمانش موردنظر

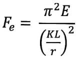
Fe = تنش کمانش الاستیک که مقدار آن عبارت است از:

(4-4-2-10) Fe-π2E-KL-r-2

تبصره: در صورت وجود سوراخی در طول عضو فشاری که برای عبور تأسیسات پیش‌بینی شده باشد، در محاسبه مقاومت فشاری اسمی عضو (Pn)، سطح مقطع خالص عضو نیز باید در نظر گرفته شود.

4-4-2-10 مقاومت فشاری اسمی براساس کمانش پیچشی و کمانش خمشی – پیچشی در اعضای با مقطع بدون اجزای لاغر

همان طور که در جدول 10-2-4-1 نیز عنوان شده است، الزامات این بند برای تعیین مقاومت فشاری اسمی اعضای فشاری با مقاطع دارای دو محور تقارن، یک محور تقارن و نامتقارن مورد استفاده قرار می‌گیرد.

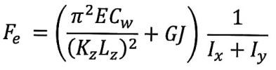
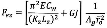
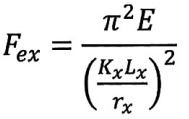
مقاومت فشاری اسمی (Pn) در اعضای فشاری با مقاطع بدون اجزای لاغر براساس کمانش پیچشی و کمانش خمشی – پیچشی (حسب مورد) برابر FcrAg است که در آن در سطح مقطع کلی عضو و Fcr تنش فشاری بوده که مقدار آن با استفاده از روابط 10-2-4-2 و 10-2-4-3 ولی براساس تنش‌های کمانش پیچشی الاستیک و خمشی – پیچشی الاستیک (Fe) که برای حالت‌های مختلف به شرح زیر تعیین می‌شود، به دست می‌آید:

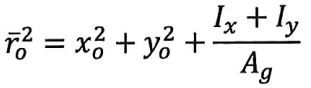
الف) برای مقاطع دارای دو محور تقارن براساس حالت حدی کمانش پیچشی حول محور طولی مار بر مرکز برش:

(5-4-2-10) Fe

ب) برای مقاطع با یک محور تقارن که محور تقارن آن‌ها y نام‌گذاری شده است، براساس حالت حدی کمانش خمشی – پیچشی حول محور y و محور طولی مار بر مرکز برش:

(6-4-2-10) Fe

پ) برای مقاطع نامتقارن، بر اساس حالت حدی کمانشی خمشی – پیچشی حول محورهای اصلی مقطع و محور طولی مار بر مرکز برش، Fe عبارت است از کوچکترین ریشه معادله درجه سوم زیر:

(7-4-2-10) Fe-Fex

در روابط فوق:

Cw = ثابت تابیدگی

Kz = ضریب طول مؤثر برای کمانش پیچشی، مقدار این ضریب به طور محافظه کارانه می‌تواند برابر یک انتخاب گردد. ولی در مواردی که فقط یک انتها یا هر دو انتهای ستون در برابر تابیدگی مقید شده باشند، این ضریب می‌تواند برابر 0.7 برای حالت فقط در یک انتها مقید یا برابر 0.5 برای حالت در هر دو انتها مقید، در نظر گرفته شود. مقید شدن در برابر تابیدگی می‌تواند از طریق جعبه‌ای کردن مقطع در انتها در طولی حداقل برابر بزرگترین بعد مقطع ستون انجام شود.

J = ثابت پیچشی

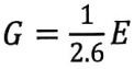
G = مدول الاستیسیته برشی G-1-2.6E (با فرض v=0.3)

x0 و y0 = مختصات مرکز برش نسبت به مرکز سطح در راستای محورهای اصلی x و y

rx و ry = شعاع ژیراسیون حول محورهای اصلی x و y

r0 = شعاع ژیراسیون قطبی نسبت به مرکز برش که از رابطه زیر محاسبه می‌شود:

(8-4-2-10) 10-2-4-8

Ag= سطح مقطع کلی عضو

H = ضریبی است که از رابطه زیر محاسبه می‌شود:

(9-4-2-10) 10-2-4-9

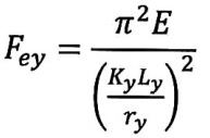
Fey, Fex و Fez از روابط زیر محاسبه می‌شوند:

(10-4-2-10) 10-2-4-10
(11-4-2-10) 10-2-4-11
(12-4-2-10) 10-2-4-12

Iy و Ix = ممان اینرسی حول محورهای اصلی

Ly , Lx و Lz = طول مهارنشده عضو به ترتیب حول محورهای کمانش y , x و z

Ky و Kx= ضریب طول مؤثر برای کمانش خمشی حول محورهای اصلی x و y

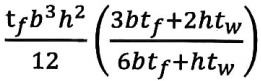
تبصره: برای مقاطع اشکل با دو محور تقارن، Cw را می‌توان مساوی Iyh02/4 در نظر گرفت که در آن h0 فاصله مرکز تا مرکز بالها است. برای مقاطع ناودانی، Cw را می‌توان برابر tfb3h2-12-3btf-2htw-6btf-htw در نظر گرفت که در آن h , tf, b و tw به ترتیب عرض بال، ضخامت بال، ارتفاع و ضخامت جان ناودانی هستند. برای مقاطع سپری و نبشی جفت پشت به پشت، در محاسبة Fez می‌توان از جملات حاوی Cw صرف نظر کرد و x0 را مساوی صفر در نظر گرفت.

5-4-2-10 اعضای با مقطع نبشی تک

مقاومت فشاری اسمی (Pn)، اعضای فشاری با مقطع نبشی تک باید براساس کوچک‌ترین مقدار به دست آمده از حالتهای حدی کمانش خمشی مطابق الزامات بند 10-2-4-3 (چنانچه دارای اجزای لاغر نباشند) یا مطابق الزامات بند 10-2-4-7 (چنانچه دارای اجزای لاغر باشند) و حالت حدی کمانش خمشی – پیچشی مطابق الزامات بند 10-2-4-7 فقط برای حالتی که b-t-0.71-E-Fy باشد، در نظر گرفته شود (b پهنا و t ضخامت ساق نبشی است).

نبشی‌هایی که به صورت برون محور بارگذاری می‌شوند، در صورتی که شرایط زیر برقرار باشند، در طراحی می‌توان از برون محوری آن‌ها صرف نظر کرد:

(1) نیروی محوری نبشی از دو انتهای آن و فقط از طریق یک ساق اعمال گردد.

(2) اتصال دو انتهای عضو به کمک جوش یا حداقل دو پیچ انجام شود.

(3) هیچ‌گونه بار عرضی میانی بر عضو اعمال نگردد.

نبشی‌های تکی که شرایط فوق را دارند و نیز شرایط انتهایی آن‌ها با یکی از حالت‌های مشخص شده در بندهای (الف) و (ب) زیر مطابقت دارد، می‌توانند براساس نسبت‌های لاغری اصلاح شده که در این بخش ارائه می‌شود، به عنوان عضوی که تنها تحت اثر نیروی فشاری قرار دارد، طراحی شوند. نبشی‌های تکی که این شرایط را ندارند یا شرایط انتهایی آن‌ها با حالت‌های مشخص شده در بندهای (الف) و (ب) زیر متفاوت است، باید برای ترکیب نیروی محوری و لنگر خمشی مطابق بخش 10-2-7 مورد محاسبه و طراحی قرار گیرند.

الف) برای نبشی با ساق‌های مساوی یا نامساوی که از طریق ساق بلندتر متصل شده‌اند و به صورت اعضای تک یا اعضای جان خرپاهای صفحه‌ای که با اعضای مجاور خود به یک سمت ورق اتصال یا بال خرپا متصل شده‌اند، لاغری اصلاح شده با استفاده از روابط زیر به دست می‌آید:

برای L-ra-80:

(13-4-2-10) 10-2-4-13

برای L-ra-80:

(14-4-2-10) 10-2-4-14

برای نبشی با ساق نامساوی با نسبت ساق کوچکتر از 1.7 که از طریق ساق کوچکتر متصل شده‌اند، باید KL-r به دست آمده از روابط 10-2-4-13 و 10-2-4-14 جملۀ 4[(bl/bs)2-1] اضافه شود، لیکن KL-r به دست آمده نباید کمتر از 0.95L/rz در نظر گرفته شود.

ب) برای نبشی با ساق‌های مساوی یا نامساوی که از طریق ساق‌های بلندتر متصل شده‌اند و عضوی از جان خرپای جعبه‌ای یا فضایی هستند که با اعضای مجاورشان به یک طرف ورق اتصال یا بال‌ها متصل شده‌اند، لاغری اصلاح شده از روابط زیر به دست می‌آید:

برای L-ra-75:

(15-4-2-10) 10-2-4-15

برای L-ra-75:

(16-4-2-10) 10-2-4-16

برای نبشی با ساق‌های نامساوی با نسبت بعد دو ساق کمتر از 1.7 که از طریق ساق کوچکتر متصل شده‌اند، باید KL-r به دست آمده از روابط 10-2-4-15 و 10-2-4-16 جملۀ 6[(bl/bs)2-1] اضافه شود، لیکن KL-r به دست آمده نباید کمتر از 0.82L/rz در نظر گرفته شود.

در روابط فوق:

L= طول عضو بین محل تقاطع محور اعضا

bl = پهنای ساق بزرگتر نبشی

bs = پهنای ساق کوچکتر نبشی

ra = شعاع ژیراسیون حول محور موازی با ساق متصل شده

rz = شعاع ژیراسیون حول محور اصلی ضعیف نبشی

6-4-2-10 اعضای فشاری ساخته شده (مرکب)

مقاطع ساخته شده مورد بحث در این بخش مقاطعی هستند که از دو یا چند نیمرخ با قطعات لقمه بین آن‌ها یا از دو یا چند نیمرخ به همراه ورق سراسری یا بست‌های موازی یا مورب و یا از دو نیمرخ که با پیچ یا جوش به هم متصل شده‌اند، ساخته می‌شوند. مقاومت فشاری اسمی و محدودیت‌های ابعادی این گونه مقاطع مطابق با الزامات بندهای 10-2-4-6-1 و 10-2-4-6-2 است.

1-6-4-2-10 مقاومت فشاری اسمی

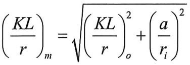
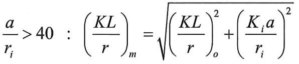
مقاومت فشاری اسمی مقاطع ساخته شده باید براساس الزامات بندهای 10-2-4-3 و 10-2-4-4 یا 10-2-4-7 و با اصلاحات لاغری ارائه شده در حالتهای (الف) و (ب) این بند تعیین شود:

الف) در اعضای فشاری ساخته شده که در آن‌ها اتصال قطعات متصل کننده میانی به اجزای مختلف مقطع به صورت پیچی و با عملکرد اتکائی است، نسبت لاغری نسبت به محور عمود بر صفحه بست (محور بدون مصالح مقطع ساخته شده) باید از رابطه زیر تعیین شود:

(17-4-2-10) 10-2-4-17

ب) در اعضای فشاری ساخته شده که در آن‌ها اتصال قطعات میانی متصل کننده نیمرخهای مختلف مقطع به صورت جوشی یا پیچی پیش‌تنیده است، نسبت لاغری نسبت به محور عمود بر صفحه بست (محور بدون مصالح مقطع ساخته شده ) باید از رابطه زیر تعیین شود:

(18-4-2-10) 10-2-4-18
(19-4-2-10) 10-2-4-19

در روابط فوق:

KL-r-m = نسبت لاغری اصلاح شده عضو فشاری نسبت به محور بدون مصالح مقطع ساخته شده

KL-r-o = نسبت لاغری عضو فشاری نسبت به محور بدون مصالح مقطع ساخته شده

Ki = 0.5 برای مقطع نبشی پشت به پشت، 0.75 برای مقطع ناودانی پشت به پشت و 0.86 برای سایر مقاطع

a= فاصله بین متصل کننده‌ها

ri = شعاع ژیراسیون حداقل هر یک از نیمرخ‌ها

2-6-4-2-10 محدودیت‌های ابعادی

از محدودیت‌های ابعادی نیمرخ‌های اعضای فشاری ساخته شده به شرح زیر هستند:

الف) هر یک از نیمرخ‌های اعضای فشاری ساخته شده (مرکب) باید در فاصله a به یکدیگر متصل باشند، به نحوی که ضریب لاغری مؤثر هر یک از نیمرخ‌ها (a/ri) در این فاصله از 3-4 نسبت لاغری تعیین کننده کل عضو ساخته شده بیشتر نشود. در این محاسبه، ri شعاع ژیراسیون حداقل هر نیمرخ است.

ب) اتصالات متصل کننده‌های میانی می‌توانند از نوع جوشی یا پیچی با عملکرد اتکائی یا پیش‌تنیده باشند، لیکن اتصالات متصل کننده‌های انتهایی باید از نوع جوشی یا پیچی پیش‌تنیده با وضعیت سطحی سطوح تماس کلاس A یا B باشند.

پ) در انتهای اعضای فشاری ساخته شده، در محل فشار مستقیم بر کف ستون‌ها یا در محل سطوح صاف و تنظیم شده در درز وصله‌ها و نیز ناحیه اتصالات تیر به ستون‌های ساخته شده، تمامی نیمرخ‌های اعضای ساخته شده باید در فاصله 1.5 برابر بعد حداکثر مقطع ساخته شده با پیچ‌هایی که فاصله محور به محور آن‌ها از یکدیگر حداکثر 4 برابر قطرشان باشد، به یکدیگر متصل شوند. اگر وسیلة اتصال جوش باشد، تمامی نیمرخهای متصل به یکدیگر باید در طولی بزرگتر یا مساوی بعد حداکثر مقطع ساخته شده، با جوش پیوسته به یکدیگر متصل شوند.

ت) چنانچه عضو فشاری ساخته شده، از نیمرخ‌ها و ورق‌های سراسری تشکیل شده باشد، در ناحیه میانی فواصل طولی محور به محور بین پیچ‌ها یا فاصله آزاد بین نوارهای جوش منقطع باید به نحوی انتخاب شود که مقاومت لازم تأمین گردد. حداقل و حداکثر فاصله مرکز سوراخ‌ها تا لبه قطعات متصل شونده و نیز حداقل و حداکثر فاصله مرکز تا مرکز سوراخ‌ها باید الزامات بخش 10-2-9 را تأمین نماید. هم‌چنین حداکثر فاصله خالص بین جوش‌های منقطع و فاصله مرکز تا مرکز سوراخ‌ها نباید از مقادیر زیر بیشتر شود:

(1) 0.75-E-Fy برابر ضخامت ورق خارجی و حداکثر 300 میلی‌متر برای حالتی که اتصالات در خطوط اتصال مجاور در حالت پس و پیش نباشند (روبروی هم باشند).

(2) 1.12-E-Fy برابر ضخامت ورق خارجی و حداکثر 450 میلی‌متر برای حالتی که اتصالات در خطوط اتصال مجاور به حالت پس و پیش قرار گیرند.

ت) چنانچه عضو فشاری از نیمرخ‌ها و ورق‌های سوراخ‌دار تشکیل شده باشند، درصورتی که ضوابط زیر رعایت شده باشند، بخشی از پهنای این ورق‌ها (پهنای کلی ورق سوراخ‌دار منهای عرض سوراخ) به همراه سطح مقطع نیمرخ‌ها می‌تواند به عنوان سطح مقطع خالص جهت کمک به تأمین مقاومت موجود در نظر گرفته شود:

(1) نسبت پهنای کلی ورق سوراخ‌دار به ضخامت آن از 1.40-E-Fy کمتر باشد.

(2) نسبت طول سوراخ (در راستای تنش) به عرض سوراخ از 2 بیشتر نباشد.

(3) فاصله خالص بین سوراخ‌ها در راستای تنش از فاصله عرضی متصل کننده‌ها کمتر نباشد.

(4) شعاع پیرامون سوراخ‌ها در تمامی نقاط حداقل 40 میلی‌متر باشد.

ج) چنانچه عضو فشاری از نیمرخها و بست‌های مورب تشکیل شده باشد، ضوابط زیر باید رعایت شوند:

(1) بست‌های مورب در انتهای عضو فشاری باید به ورق بست انتهایی ختم شوند. در قسمت‌های میانی عضو در صورتی که نظم بست‌های مورب به هم خورده باشد، باید ورق‌های اتصال به تیر تعبیه گردد. طول ورق‌های بست انتهایی (در امتداد طولی عضو) باید حداقل برابر فاصله مراکز هندسی نیمرخ‌های تشکیل‌دهنده عضو فشاری باشد و طول ورق‌های اتصال به تیر باید فضای کافی برای برقراری اتصال را داشته باشد.

ضخامت ورق‌های انتهایی و ورق‌های اتصال به تیر باید طوری انتخاب شوند که مقاومت کافی در برابر نیروهای منتقل شده از طرف عضو فشاری به کف ستون و از طرف تیر و مهاربندی به ستون را دارا باشند. درهرحال ضخامت ورق‌های انتهایی و ورق‌های اتصال به تیر نباید از b/50 کمتر باشد، که در آن b برابر پهنای ورق انتهایی و ورق اتصال در اتصالات جوشی و برابر فاصله عرضی وسایل اتصال در اتصالات پیچی است.

پهنای ورق‌های انتهایی و ورق‌های اتصال باید حداقل برابر فاصله بین مراکز هندسی نیمرخ‌های تشکیل‌دهنده عضو فشاری باشد. چنانچه اتصال این ورق‌ها به نیمرخهای عضو فشاری از نوع پیچی باشد، فاصله عرضی (عمود بر محور طولی عضو فشاری) وسایل اتصال باید حداقل برابر فاصله بین مراکز هندسی نیمرخ‌های تشکیل‌دهنده عضو فشاری باشد. اگر وسایل اتصال ورق‌های انتهایی و ورق‌های اتصال به تیر از نوع پیچی باشد، فاصله این وسایل از یکدیگر در امتداد طولی عضو فشاری (امتداد تنش) نباید از 6 برابر قطر آن‌ها بیشتر شود. در هر ورق انتهایی و ورق اتصال به تیر باید حداقل 3 عدد پیچ تعبیه شود. در هر حال، تعداد و قطر پیچ‌ها باید طوری انتخاب شوند که مقاومت کافی در برابر نیروی منتقل شده از طرف عضو فشاری به کف ستون و از طرف تیر و مهاربندی به ستون را دارا باشند.

اگر وسیلة اتصال ورق‌های انتهایی و ورق‌های اتصال به تیر از نوع جوشی باشد، دورتادور این ورق‌ها باید به عضو فشاری جوش شود. ضخامت جوش اتصال به عضو فشاری باید طوری انتخاب شود که مقاومت کافی در برابر نیروی منتقل شده به عضو فشاری را دارا باشد.

(2) بست‌های مورب را می‌توان از تسمه، نبشی، ناودانی یا مقطع مناسب دیگر انتخاب کرد. همانند نیمرخهای کلیه اعضای فشاری ساخته شده، بست‌های مورب را باید طوری قرار داد که نسبت لاغری مؤثر هر یک از نیمرخهای عضو فشاری در فاصله بین اتصال بست‌های مورب به عضو فشاری، الزامات بند (الف) از محدودیت‌های ابعادی اعضای فشاری ساخته شده (مرکب) را تأمین نماید.

(3) مشخصات هندسی بست‌های مورب شامل طول، مقطع و وسایل اتصال دو انتهای آن‌ها به عضو فشاری، باید به گونه‌ای انتخاب شوند که منجر به تأمین مقاومت برشی لازم گردد. مقاومت برشی لازم برابر نیروی برشی عضو فشاری در اثر نیروهای خارجی بعلاوه معادل 2 درصد مقاومت فشاری موجود عضو در نظر گرفته می‌شود.

(4) طول کمانش برای محاسبه نسبت لاغری بست‌های مورب، در بست‌های تکی برابر فاصله بین مرکز هندسی اتصالات (پیچ یا جوش) دو انتهای آن‌ها به عضو فشاری و در بست‌های مورب ضربدری 70 درصد این فاصله به حساب می‌آید.

(5) نسبت لاغری بست‌های مورب تک نباید از 140 و نسبت لاغری بست‌های مورب ضربدری نباید از 200 بیشتر شود.

(6) زاویه محور طولی بست‌های مورب نسبت به محور طولی عضو فشاری مرکب (α)، نباید کمتر از 45 درجه برای بست‌های مورب ضربدری و کمتر از 60 درجه برای بست‌های مورب تکی باشد.

(7) اگر فاصله بین مرکز هندسی اتصالات دو انتهای بست بیش از 400 میلی‌متر باشد، ارجح است که بست‌ها به صورت ضربدری در نظر گرفته شوند یا از نیمرخ مناسب (مانند نبشی) طراحی شوند.

عضو فشاری ساخته شده (مرکب) با بست‌های مورب

شکل 10-2-4-3: عضو فشاری ساخته شده (مرکب) با بست‌های مورب

چ) چنانچه عضو فشاری ساخته شده، از نیمرخها و بست‌های موازی تشکیل شده باشد، ضوابط زیر باید رعایت شوند:

(1) همانند اجزای کلیه اعضای فشاری، فاصله بست‌ها از یکدیگر باید به اندازه‌ای باشد که نسبت لاغری مؤثر هر یک از نیمرخ‌های عضو فشاری ساخته شده در فاصله بین مرکز تا مرکز دو بست متوالی، الزامات بند (الف) از محدودیت‌های ابعادی اعضای فشاری ساخته شده را تأمین نماید.

(2) استفاده از تسمه، نبشی یا هر مقطع مناسب دیگر به عنوان بست مجاز است، مشروط بر آن که کلیه محدودیت‌های عنوان شده در موردهای (1 تا 5) از بند (ج) همین قسمت در آن‌ها رعایت شده باشد.

(3) مشخصات هندسی بست‌های موازی شامل طول، مقطع و وسایل اتصال دو انتهای آن‌ها به عضو فشاری، باید به گونه‌ای انتخاب شود که منجر به تأمین مقاومت برشی لازم گردد. مقاومت برشی لازم باید برابر نیروی برشی عضو فشاری در اثر نیروهای خارجی بعلاوه 2 درصد مقاومت فشاری موجود عضو در نظر گرفته شود.

(4) بست‌های موازی در انتهای عضو فشاری مورب و نیز در محل اتصال تیر به ستون باید محدودیت‌های عنوان شده در مورد (1) از بند (ج) در خصوص ورق‌های انتهایی و ورق‌های اتصال را تأمین نماید.

(5) طول بست‌های میانی نباید از کمتر b-2 باشد.

عضو فشاری ساخته شده (مرکب) با بست‌های موازی

شکل 10-2-4-4: عضو فشاری ساخته شده (مرکب) با بست‌های موازی

7-4-2-10 اعضای فشاری دارای اجزای لاغر

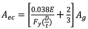
این بخش به طراحی اعضای منشوری با مقطع دارای اجزای لاغر می‌پردازد که تحت اثر نیروی محوری فشاری قرار دارند. مقاومت فشاری اسمی (Pn)، این نوع اعضا براساس حالت‌های حدی کمانش خمشی، کمانش پیچشی و کمانش خمشی – پیچشی در اندرکنش با کمانش موضعی باید با استفاده از رابطه زیر تعیین شود:

(20-4-2-10) Pn=FcrAec

Aec = مجموع سطح مقطع مؤثر اجزای عضو در فشار که با توجه بعد مؤثر کاهش یافته be، یا de و یا he جزء با استفاده از روابط 10-2-4-21 و 10-2-4-22 محاسبه می‌شود یا مستقیماً براساس روابط 10-2-4-24 و 10-2-4-25 به دست می‌آید.
Fcr= تنش بحرانی که براساس حالت‌های کمانش از روابط بخش‌های 10-2-4-3 و 10-2-4-4 به دست می‌آید. در مورد مقاطع نبشی تک فقط باید از ضوابط بخش 10-2-4-3 برای محاسبه این تنش استفاده شود.

1-7-4-2-10 اعضای دارای اجزای لاغر به استثنای مقاطع توخالی دایره‌ای

پهنای مؤثر کاهش یافته (be) در اجزای این مقاطع از روابط زیر محاسبه می‌شود. این روابط برای محاسبة ارتفاع مؤثر جان اجزای لاغر (he)، یا عمق مؤثر تیغه مقاطع سپری (de) نیز قابل استفاده هستند.

الف) اگر λ-λr-Fy-Fcr باشد:

(21-4-2-10) be=b

ب) اگر λ-λr-Fy-Fcr باشد:

(22-4-2-10) 10-2-4-22

در روابط فوق:

b = پهنای جزء (در محاسبه he یا de از پارامترهای h یا d که به ترتیب ارتفاع جان یا عمق تیغه هستند، استفاده شود)

c1 = ضرایب تأثیر نقص اولیه که از جدول 10-2-4-2 به دست می‌آید.

λ= نسبت پهنا به ضخامت جزء

λr = حداکثر نسبت پهنا به ضخامت جزء که از جدول 10-2-2-1 به دست می‌آید.

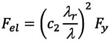
Fel = تنش کماتش الاستیک موضعی که از رابطه زیر محاسبه می‌شود:

(23-4-2-10) 10-2-4-23

c2 = ضرایب تأثیر نقص اولیه که از جدول 10-2-4-2 به دست می‌آید.

جدول 10-2-4-2: ضرایب تأثیر نقص اولیه در محاسبه بعد مؤثر کاهش یافته

حالت جزء لاغر c1 c2
1 • اجزای با دو لبه متکی مقطع به استثنای بال‌های مقاطع کم توخالی مربعی یا مستطیل شکل 0.18 1.31
2 • بال‌های مقاطع توخالی مربعی یا مستطیل شکل 0.20 1.38
3 • سایر اجزا 0.22 1.49
2-7-4-2-10 مقاطع توخالی دایره‌ای لاغر

در این مقاطع، سطح مقطع مؤثر (Aec) از روابط زیر محاسبه می‌شود:

الف) اگر D-t-0.11-E-Fy باشد:

(24-4-2-10) Aec=Ag

ب) اگر 0.11-E-Fy-D-t-0.45-E-Fy باشد:

(25-4-2-10) 10-2-4-25

در روابط فوق:

D= قطر خارجی مقطع توخالی دایره‌ای

t= ضخامت دیواره مقطع توخالی دایره‌ای

Ag = سطح مقطع کلی عضو

همه فصول

مشخصات آیین‌نامه

تعداد فصول: 39 فصل
سال انتشار: 1401
ویرایش: پنجم

جستجو در آیین‌نامه‌ها

ناشرین آیین‌نامه‌ها

مقررات ملی ساختمان

قوانین، آیین‌نامه‌ها، شیوه‌نامه‌ها، دستورالعمل‌ها و بخشنامه‌های ساختمان

نظام مهندسی ساختمان

ضوابط، بخشنامه‌ها، نشریه‌ها و معیار‌های فنی نظام مهندسی ساختمان

مرکز تحقیقات راه، مسکن و شهرسازی

قوانین، آیین‌نامه‌ها و بخشنامه‌های مرکز تحقیقات راه، مسکن و شهرسازی

سازمان برنامه و بودجه کشور

ضوابط، بخشنامه‌ها و قوانین سازمان برنامه و بودجه کشور

سازمان ملی استاندارد ایران

استانداردهای کمیته‌های مختلف سازمان ملی استاندارد ایران

سازمان تامین اجتماعی کشور

مقررات و آیین‌نامه‌های درمانی و بیمه‌ای سازمان تامین اجتماعی کشور

ضوابط فنی و اجرایی شهرداری‌ها

ضوابط، بخشنامه‌ها، نشریه‌ها و معیار‌های فنی شهرداری‌های کشور

ضوابط فنی و اجرایی وزارت بهداشت

ضوابط، بخشنامه‌ها، نشریه‌ها و معیار‌های فنی وزارت بهداشت

ضوابط فنی و اجرایی وزارت نیرو-آبفا

ضوابط، بخشنامه‌ها، نشریه‌ها و معیار‌های فنی وزارت نیرو-آبفا

ضوابط سازمان بنادر و دریانوردی

ضوابط، بخشنامه‌ها، نشریه‌ها و معیار‌های فنی سازمان بنادر و دریانوردی

ضوابط فنی و اجرایی وزارت نفت

ضوابط، بخشنامه‌ها، نشریه‌ها و معیار‌های فنی وزارت نفت

قوانین و مقررات مالیاتی کشور

قوانین، مقررات، ضوابط و دستورالعمل‌هاى مالیاتى سازمان مالیات كشور

تازه‌ترین فصل‌ها

واژه‌نامه

مبحث هفدهم مقررات ملی ساختمان (سامانه گاز طبیعی در ساختمان)

پیوست ۶ دسته‌بندی نوع دستگاه‌‌‌های گازسوز

مبحث هفدهم مقررات ملی ساختمان (سامانه گاز طبیعی در ساختمان)

پیوست 5 شکل‌ها

مبحث هفدهم مقررات ملی ساختمان (سامانه گاز طبیعی در ساختمان)

پیوست 4 جدول‌ها

مبحث هفدهم مقررات ملی ساختمان (سامانه گاز طبیعی در ساختمان)

پیوست 3 ایمنی و ضوابط بهره‌برداری و نگهداری از سیستم لوله‌‌کشی گاز

مبحث هفدهم مقررات ملی ساختمان (سامانه گاز طبیعی در ساختمان)

پیوست 2 نمونه محاسبات

مبحث هفدهم مقررات ملی ساختمان (سامانه گاز طبیعی در ساختمان)

پیوست 1 راهنمای ایمنی

مبحث هفدهم مقررات ملی ساختمان (سامانه گاز طبیعی در ساختمان)