آیین‌نامه‌ها

صفحه اصلی / آیین‌نامه‌ها / مبحث دهم مقررات ملی ساختمان (طرح و اجرای ساختمان‌های فولادی)
3-2-10 الزامات طراحی اعضا برای نیروی کششی

3-2-10 الزامات طراحی اعضا برای نیروی کششی

این بخش به الزامات طراحی اعضا تحت اثر نیروی محوری کششی می‌پردازد که در امتداد محور طولی عضو بارگذاری شده‌اند. علاوه بر الزامات این بخش، در طراحی اعضای کششی که تحت اثر پدیده خستگی یا تمرکز تنش به علت تغییر ناگهانی مقطع قرار می‌گیرند، باید آثار این پدیده‌ها نیز به نحو مؤثری لحاظ شود.

مقررات این بخش تحت عناوین زیر ارائه می‌شود:

  • 1-3-2-10 الزامات عمومی
  • 2-3-2-10 محدودیت لاغری در اعضا کششی
  • 3-3-2-10 تعیین سطح مقطع خالص و مؤثر اعضای کششی
  • 4-3-2-10 مقاومت کششی
  • 5-3-2-10 اعضای کششی ساخته شده (مرکب) از چند نیمرخ یا نیمرخ و ورق

تبصره 1: الزامات اعضای کششی با تسمه لولاشده با خار مغزی و نیز اعضای کششی با تسمه سر پهن در پیوست 4 این مبحث ارائه شده است.

تبصره 2: برای بررسی الزامات اعضای تحت اثر توأم نیروی کششی و لنگر خمشی به بخش 10-2-7 مراجعه شود.

تبصره 3: برای بررسی الزامات میل مهارها به بخش 10-2-9 مراجعه شود.

تبصره 4: برای بررسی الزامات وسایل اتصال و قطعات اتصال دهنده در برابر نیروی کششی به بخش 10-2-9 مراجعه شود.

تبصره 5: در انتهای اعضای کششی، برای بررسی مقاومت گسیختگی قالبی به بخش 10-2-9 مراجعه شود.

1-3-2-10 الزامات عمومی

در این مبحث برای طراحی اعضای کششی تنها معیار مقاومت به عنوان ضابطه اصلی طراحی در نظر گرفته شده است و کنترل معیار لاغری صرفاً به خاطر شرایط بهره‌برداری ارائه شده است.

در طراحی اعضای کششی بایستی تلاش کرد تا شکل عضو و اتصالات آن به گونه‌ای تنظیم شود که عضو تنها به کشش کار کند و خمش در آن‌ها ایجاد نشود. در غیراین صورت باید به برون محوری موجود در طرح و آثار آن در محاسبه توجه شود.

2-3-2-10 محدودیت لاغری در اعضای کششی

نسبت لاغری حداکثر اعضای کششی L/r)max) نباید از 300 بیشتر باشد. برای قلاب‌ها و میل مهارهای کششی که دارای پیش‌تنیدگی اولیه به میزان کافی باشند، به طوری که پس از ایجاد کشش اولیه، عضو به حالت مستقیم درآید، رعایت محدودیت لاغری الزامی نیست.

3-3-2-10 سطح مقطع خالص مؤثر در محل اتصالات و وصله‌های اعضای کششی

در محل اتصالات و وصله‌های اعضای کششی، سطح مقطع خالص مؤثر به شرح زیر تعریف می‌شود:

(1-3-2-10) Ae = UAn

در رابطه فوق:

An= سطح مقطع خالص عضو (سطح مقطع کل منهای سطح مقطع سوراخ‌ها یا شکاف‌ها). اگر سوراخ‌های متعددی به شکل زنجیره (به صورت قطری یا زیگزاگ) در مسیر مقطع بحرانی احتمالی قرار داشته باشند، برای محاسبه پهنای خالص باید از پهنای کل مورد بررسی، مجموع قطر سوراخ‌های مسیر زنجیره را کم و به آن برای هر ردیف گام مورب در زنجیره، یک مرتبه جملۀ s2/4g را اضافه کرد.

Ae= سطح مقطع خالص مؤثر عضو

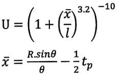
U= ضریب تأخیر برش مطابق جدول 10-2-3-1. در مقاطع باز (نظیر مقاطع T, U, L, I و …) در هر حال مقدار این ضریب لازم نیست از نسبت سطح مقطع قسمت‌های اتصال یافته به سطح مقطع کل کمتر در نظر گرفته شود. این الزام در مورد مقاطع بسته (نظیر مقاطع قوطی شکل نوردشده و مقاطع جعبه‌ای ساخته شده از ورق) کاربرد ندارد.

جدول 10-2-3-1: ضریب تأخیر برش (U) در محل اتصالات و وصله‌های اعضای کششی

حالت شرح ضریب تأخیر برش، U  مثال‌های نمونه
1 کلیه اعضای کششی که در آن‌ها بار به وسیله پیچ، یا جوش مستقیماً به کلیه اجزای مقطع منتقل گردد (به غیر از حالت‌های 4، 5 و 6).   U=1  
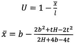
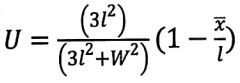
2 کلیه اعضای کششی (به غیر از تسمه‌ها و مقاطع قوطی و لوله‌ای) که در آن‌ها بار به وسیله پیچ یا ترکیبی از جوش طولی و عرضی توسط قسمتی از اجزای مقطع (و نه تمام آن) منتقل گردد. برای مقاطع I شکل نورد شده و سپری T بریده شده از آن‌ها و نیز نیمرخ‌های I شکل بال پهن، استفاده از مقادیر حالت 7 این جدول نیز مجاز است. هم‌چنین برای نبشی‌ها استفاده از حالت 8 این جدول نیز مجاز است.  [1]
U-1-x-l
مثال نمونه 2
3 کلیه اعضای کششی که در آن‌ها بار به وسیله فقط جوش عرضی و توسط قسمتی از اجزای مقطع (و نه تمام آن) منتقل گردد.  U=1
An= سطح مقطع قسمت (یا قسمت‌های) اتصال یافته
 
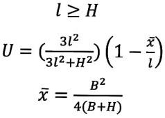
4 ورق‌ها (تسمه‌های کششی)، نبشی‌ها، ناودانی‌ها و مقاطع I شکل با قطعات متصل شونده که در آنها نیروی کششی فقط از طریق جوش‌های طولی در دو لبه موازی (در انتهای قطعه) منتقل می‌شود.  [1] و [2]
U-3l2-3l2-W2-1-x-l
مقدار براساس حالت 2 این جدول تعیین می‌شود.
مثال نمونه 4
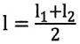
5 در مقاطع لوله‌ای با یک ورق اتصال هم محور که در آن طول جوش‌ها نباید از قطر لوله کمتر باشد.  U-x مثال نمونه 5
6 در مقاطع قوطی شکل چنانچه اتصال تنها به کمک یک ورق هم محور صورت گیرد که در آن طول جوشها نباید از H کمتر باشد. U-x مثال نمونه 6
چنانچه اتصال به کمک دو ورق اتصال و در دو وجه صورت گیرد که در آن طول جوش‌ها نباید از H کمتر باشد. l-U-x مثال نمونه 6
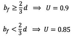
7 در نیمرخ‌های I نوردشده و سپری T بریده شده از آن‌ها و هم‌چنین نیمرخ‌های دیگری نظیر بال پهن، استفاده از مقادیر بزرگتر از حالت 2 این جدول مجاز است (بزرگ‌ترین مقدار به دست آمده از حالت 2 و این حالت به عنوان مقدار U در نظر گرفته می‌شود). در اتصالات پیچی در صورتی که اتصال از طریق بالها برقرار شده و حداقل به وسیله اتصال در هر ردیف در امتداد تأثیر نیرو موجود باشد. bf  
در اتصالات پیچی در صورتی که اتصال از طریق جان برقرار شده و حداقل چهار وسیله اتصال در هر ردیف در امتداد تأثیر نیرو موجود باشد. U=0.7
8 در نیمرخ‌های نبشی تک و دوبل در صورتی که توسط یک بال متصل شده باشند، استفاده از مقادیر بزرگتر از حالت 2 جدول مجاز است. (بزرگ‌ترین مقدار به دست آمده از حالت 2 و این حالت به عنوان مقدار U در نظر گرفته می‌شود).

 

 

چنانچه حداقل چهار وسیلة اتصال در هر ردیف در امتداد تأثیر نیرو موجود باشد. U=0.8  
چنانچه به وسیله اتصال در هر ردیف در امتداد تأثیر نیرو موجود باشد. اگر تعداد وسیلة اتصال در هر ردیف در امتداد تأثیر نیرو کمتر از 3 باشد، آنگاه مقدار U باید از طریق حالت 2 این جدول تعیین شود U=0.6  
در این جدول:
l= طول اتصال مساوی فاصله اولین و آخرین پیچ در اتصال پیچی و طول جوش در اتصال جوشی
[1] = x خروج از مرکزیت اتصال (فاصله عمودی مرکز اتصال تا مرکز هندسی بخشی از عضو که نیروی آن توسط این اتصال منتقل می‌گردد).
[2] l-l1-l2-2 که در آن، l1 و l2 نباید از 4 برابر بعد جوش کمتر باشد.
4-3-2-10 مقاومت کششی

در اعضای کششی، مقاومت کششی طراحی () و مقاومت کششی مجاز (Pnt) باید به شرح زیر برابر کوچکترین مقدار محاسبه شده بر اساس حالتهای حدی تسلیم کششی در مقطع کل (Ag) و گسیختگی کششی در مقطع خالص عضو (An) در خارج از ناحیه اتصال و نیز مقطع خالص مؤثر (Ae) در محل اتصال در نظر گرفته شود:

الف) براساس تسلیم کششی در مقطع کلی عضو:

(2-3-2-10) Pn

ب) بر اساس گسیختگی کششی در مقطع خالص عضو و در خارج از ناحیه اتصال عضو کششی:

(3-3-2-10) Pn

پ) براساس گسیختگی کششی در مقطع خالص مؤثر عضو در محل اتصال عضو کششی:

(4-3-2-10) Pn

در روابط فوق:

Ag= سطح مقطع کل

Ae= سطح مقطع خالص مؤثر

Fy= تنش تسلیم مشخصه فولاد

Fu= تنش کششی نهایی مشخصه فولاد

Pn= مقاومت کششی اسمی

5-3-2-10 اعضای کششی ساخته شده از چند نیمرخ یا نیمرخ و ورق (اعضای مرکب)

در طراحی اعضای کششی مرکب از چند نیمرخ یا نیمرخ و ورق الزامات زیر باید تأمین شوند:

الف) چنانچه در یک مقطع مرکب تحت کشش، ورق‌های متصل به یک نیمرخ فولادی یا به یک ورق دیگر توسط نوارهای جوش منقطع به یکدیگر متصل شوند، فاصله آزاد بین نوارهای جوش منقطع در امتداد طولی عضو نباید از مقادیر زیر بیشتر شود:

  • در قطعات رنگ شده و قطعاتی که رنگ نمی‌شوند ولی احتمال زنگ زدگی و خوردگی ندارند، 24 برابر ضخامت نازک‌ترین ورق یا 300 میلی‌متر
  • در قطعات رنگ نشدهای که تحت اثر خوردگی ناشی از عوامل جوی قرار داشته باشند، 14 برابر ضخامت نازک‌ترین ورق یا 180 میلی‌متر

ب) چنانچه در یک مقطع مرکب تحت کشش، ورق‌های متصل به یک نیمرخ فولادی یا به یک ورق دیگر توسط پیچ به یکدیگر متصل شوند، حداقل و حداکثر فاصله مرکز سوراخ‌ها تا لبه قطعات متصل شونده و نیز حداقل و حداکثر فاصله مرکز تا مرکز سوراخ‌ها باید الزامات بخش 10-2-9 را تأمین نمایند.

پ) در اعضای کششی که از دو یا تعداد بیشتری نیمرخ یا ورق تشکیل می‌شوند و بین آن‌ها به فواصلی قطعات لقمه قرار گرفته و در این نقاط به یکدیگر متصل می‌شوند، فاصله بین لقمه‌ها باید طوری انتخاب شود که نسبت لاغری هریک از اجزای تشکیل‌دهنده عضو در فاصله آزاد از 300 بیشتر نباشد.

ت) در اعضای کششی که از دو یا تعداد بیشتری نیمرخ در تماس با یکدیگر تشکیل می‌شوند، فاصله مرکز تا مرکز وسایل اتصال با فاصله آزاد بین نوارهای جوش منقطع باید طوری انتخاب شود که نسبت لاغری هر یک از اجزای تشکیل‌دهنده عضو در فاصله آزاد از 300 بیشتر نباشد. بعلاوه، فاصله مرکز تا مرکز وسایل اتصال یا فاصله آزاد بین نوارهای جوش منقطع نباید از 600 میلی‌متر بیشتر باشد.

ث) در اعضای کششی مرکب، به کار بردن ورق‌های پوششی مشبک در وجوه باز نیمرخ مرکب مجاز است. ضخامت ورق‌های پوششی مشبک نباید کمتر از 1-50 فاصله بین خطوط جوش یا و قیدهایی باشد که آن‌ها را به اجزای عضو متصل می‌کند. فاصله مرکز تا مرکز وسایل اتصال یا فاصله آزاد بین نوارهای جوش منقطع در امتداد طولی ورق مشبک نباید از 150 میلی‌متر بیشتر باشد.

ج) در اعضای کششی مرکب، به کار بردن بست‌های موازی در وجوه باز نیمرخ مرکب مجاز است. پهنای بست‌های موازی در امتداد طولی عضو باید حداقل به اندازه 2-3 فاصله بین خطوط جوش یا قیدهایی باشد که آن‌ها را به اجزای عضو متصل می‌کند. ضخامت بست‌های موازی نباید کمتر از 1-50 فاصله مذکور باشد. فاصله مرکز تا مرکز بست‌های موازی باید طوری انتخاب شود که نسبت لاغری هریک از اجزای تشکیل‌دهنده عضو در این فاصله از 300 بیشتر نباشد.

همه فصول

مشخصات آیین‌نامه

تعداد فصول: 39 فصل
سال انتشار: 1401
ویرایش: پنجم

جستجو در آیین‌نامه‌ها

ناشرین آیین‌نامه‌ها

مقررات ملی ساختمان

قوانین، آیین‌نامه‌ها، شیوه‌نامه‌ها، دستورالعمل‌ها و بخشنامه‌های ساختمان

نظام مهندسی ساختمان

ضوابط، بخشنامه‌ها، نشریه‌ها و معیار‌های فنی نظام مهندسی ساختمان

مرکز تحقیقات راه، مسکن و شهرسازی

قوانین، آیین‌نامه‌ها و بخشنامه‌های مرکز تحقیقات راه، مسکن و شهرسازی

سازمان برنامه و بودجه کشور

ضوابط، بخشنامه‌ها و قوانین سازمان برنامه و بودجه کشور

سازمان ملی استاندارد ایران

استانداردهای کمیته‌های مختلف سازمان ملی استاندارد ایران

سازمان تامین اجتماعی کشور

مقررات و آیین‌نامه‌های درمانی و بیمه‌ای سازمان تامین اجتماعی کشور

ضوابط فنی و اجرایی شهرداری‌ها

ضوابط، بخشنامه‌ها، نشریه‌ها و معیار‌های فنی شهرداری‌های کشور

ضوابط فنی و اجرایی وزارت بهداشت

ضوابط، بخشنامه‌ها، نشریه‌ها و معیار‌های فنی وزارت بهداشت

ضوابط فنی و اجرایی وزارت نیرو-آبفا

ضوابط، بخشنامه‌ها، نشریه‌ها و معیار‌های فنی وزارت نیرو-آبفا

ضوابط سازمان بنادر و دریانوردی

ضوابط، بخشنامه‌ها، نشریه‌ها و معیار‌های فنی سازمان بنادر و دریانوردی

ضوابط فنی و اجرایی وزارت نفت

ضوابط، بخشنامه‌ها، نشریه‌ها و معیار‌های فنی وزارت نفت

قوانین و مقررات مالیاتی کشور

قوانین، مقررات، ضوابط و دستورالعمل‌هاى مالیاتى سازمان مالیات كشور

تازه‌ترین فصل‌ها

واژه‌نامه

مبحث هفدهم مقررات ملی ساختمان (سامانه گاز طبیعی در ساختمان)

پیوست ۶ دسته‌بندی نوع دستگاه‌‌‌های گازسوز

مبحث هفدهم مقررات ملی ساختمان (سامانه گاز طبیعی در ساختمان)

پیوست 5 شکل‌ها

مبحث هفدهم مقررات ملی ساختمان (سامانه گاز طبیعی در ساختمان)

پیوست 4 جدول‌ها

مبحث هفدهم مقررات ملی ساختمان (سامانه گاز طبیعی در ساختمان)

پیوست 3 ایمنی و ضوابط بهره‌برداری و نگهداری از سیستم لوله‌‌کشی گاز

مبحث هفدهم مقررات ملی ساختمان (سامانه گاز طبیعی در ساختمان)

پیوست 2 نمونه محاسبات

مبحث هفدهم مقررات ملی ساختمان (سامانه گاز طبیعی در ساختمان)

پیوست 1 راهنمای ایمنی

مبحث هفدهم مقررات ملی ساختمان (سامانه گاز طبیعی در ساختمان)