آیین‌نامه‌ها

صفحه اصلی / آیین‌نامه‌ها / مبحث هشتم مقررات ملی ساختمان (طرح و اجرایی ساختمان‌های با مصالح بنایی)
پیوست 8-پ-2 طراحی به روش تنش مجاز

پیوست 8-پ-2 طراحی به روش تنش مجاز

8-پ-2-1 کلیات

این پیوست شامل حداقل ضوابط برای طراحی و اجرای ساختمان‌های بنایی مسلح بر مبنای روش تنش مجاز می‌باشد. در طراحی و اجرای ساختمان‌های بنایی مسلح به روش تنش مجاز، علاوه بر رعایت الزامات عمومی ذکر شده در فصل سوم و فصل چهارم، رعایت ضوابط این پیوست ضروری می‌باشد.

8-پ-2-1-1 محدوده کاربرد

حداکثر ارتفاع ساختمان‌های بنایی مسلح 16 متر از تراز پایه یا حداکثر 5 طبقه با احتساب زیر زمین می‌باشد.

8-پ-2-1-2 مصالح

مصالح مصرفی باید با کلیه مقررات و ضوابط ارائه شده در مبحث پنجم مقررات ملی ساختمان و فصل دوم و چهارم این مبحث مطابقت داشته باشند.

8-پ-2-2 بارگذاری
8-پ-2-2-1 ضوابط بار

1- بارهای طراحی باید منطبق بر الزامات مندرج در مبحث ششم مقررات ملی ساختمان و ضوابط مندرج در این پیوست محاسبه گردند.

2- برای انتقال بارهای وارده به زمین باید مسیرهای بار پیوسته و دارای مقاومت و سختی کافی باشند.

8-پ-2-2-2 مقاومت در برابر بارهای جانبی

طراحی ساختمان بنایی مسلح باید به نحوی انجام شود که ساختمان علاوه بر تحمل بارهای ثقلی، در برابر بارهای جانبی، نظیر بار ناشی از باد و زلزله، مقاومت لازم را دارا باشد و قادر به تحمل تغییرشکل‌های ناشی از آن‌ها نیز باشد.

8-پ-2-2-3 انتقال بار در اتصالات افقی

انتقال بار در اتصالات افقی بین اعضا باید بر اساس الزامات زیر باشد.

1- دیوارها، ستون‌ها و جرزها باید برای مقاومت در برابر بارها، لنگرها و برش‌ها در محل اتصال به اعضای افقی طراحی شوند.

2- تأثیر تغییرشکل جانبی و انتقالی اعضای تأمین کننده تکیه‌گاه جانبی باید لحاظ شود.

3- ابزارهایی که برای اتصال اعضا استفاده می‌شوند باید برای نیروهای ایجاد شده در آن‌ها طراحی شوند.

8-پ-2-2-4 توزیع بارهای جانبی

نیروهای جانبی باید بین عناصر باربر جانبی به نسبت سختی آن‌ها توزیع شده و الزامات زیر را برآورده سازند.

1- بال‌های دیوارهای متقاطع باید در محاسبه سختی در نظر گرفته شوند.

2- توزیع بار باید تأثیر پیچش افقی سازه ناشی از خروج از مرکزیت بارهای باد یا زلزله، به دلیل توزیع غیریکنواخت جرم، را در بر گیرد.

8-پ-2-2-5 تأثیر عوامل دیگر

تأثیر نیروها و یا تغییرشکل‌های ناشی از پیش‌تنیدگی، ارتعاشات، ضربه، جمع‌شدگی، انبساط، تغییر درجه حرارت، خزش، نشست‌های غیریکنواخت و تغییرمکان‌های غیرهم سان نیز باید در طراحی مد نظر قرار گیرند.

8-پ-2-2-6 ترکیب بارها

در طراحی اعضای سازه‌ای به روش تنش مجاز، حداکثر تلاش‌های مقاطع ناشی از ترکیب‌های مختلف بار باید بر مبنای ضوابط مبحث ششم مقررات ملی ساختمان مورد استفاده قرار گیرند.

8-پ-2-2-7 ضریب رفتار

ضریب رفتار برای ساختمان بنایی مسلح جهت طراحی به روش تنش مجاز برابر با پنج و نیم (5/5 = R) می‌باشد.

8-پ-2-3 اصول تحلیل

تحلیل ساختمان بنایی مسلح باید بر اساس اصول زیر انجام‌پذیرد.

8-پ-2-3-1 مدل‌های سازه‌ای ساده شده

برای تحلیل ساختمان بنایی مسلح می‌توان از مدل‌های سازه‌ای ساده شده استفاده نمود و تحلیل توسط روش‌های دستی و یا با استفاده از نرم‌افزارهای معتبر قابل انجام می‌باشد. مدل سازه‌ای ساختمان از مجموعه‌ای از اعضا به شرح بند 8-4-3-1 می‌باشد.

8-پ-2-3-2 روش تحلیل

در تحلیل ساختمان بنایی جهت طراحی به روش تنش مجاز، لازم است از روش تحلیل خطی استفاده نمود. در این روش، تمام تلاش‌ها در مقاطع مختلف اعضا با فرض خطی بودن رفتار مصالح و کوچک بودن تغییرشکل‌های ایجاد شده و بر اساس تئوری ارتجاعی تعیین می‌شوند. این روش تحلیل را می‌توان در انواع ساختمان‌های بنایی و در طراحی به هر دو روش تنش مجاز و مقاومت نهایی مورد استفاده قرار داد. ولی در ساختمان‌های متشکل از اعضای میله‌ای که در آن‌ها تغییرمکان جانبی آزاد است، استفاده از این روش به شرطی مجاز است که ضریب لاغری ستون‌ها (kl/r)، از 20 تجاوز نکند.

8-پ-2-4 الزامات میلگردگذاری

در میلگردگذاری اعضای ساختمان بنایی مسلح که بر اساس روش تنش مجاز طراحی می‌شوند، باید الزامات بند 8-4-4 و بند 8-4-6-2 رعایت گردند.

8-پ-2-5 الزامات اجرای بنایی

در اجرای اعضای بنایی ساختمان بنایی مسلح که بر اساس روش تنش مجاز طراحی می‌شوند، باید الزامات بند 8-4-5 رعایت گردند.

8-پ-2-6 طراحی بر مبنای روش تنش مجاز

طراحی اعضای بنایی مسلح بر مبنای روش تنش مجاز بر اساس ضوابط مندرج در این بخش انجام می‌شود. کلیه اجزای سازه‌ای باید بر اساس تنش مجاز طراحی شوند، به طوری که کلیه تنش‌ها در اعضا در محدوده ارتجاعی بوده و از محدوده مجاز تنش‌ها فراتر نروند.

8-پ-2-6-1 فرضیات طراحی

فرضیات روش طراحی تنش مجاز بر اساس تنش‌های مجاز و فرضیات توزیع خطی تنش-کرنش به قرار زیر است:

1- مقاطع صفحه‌ای پیش از خمش، پس از خمش نیز مستوی باقی می‌مانند.

2- تنش، متناسب با کرنش است.

3- ترکیب اعضای بنایی، یک عضو همگن را تشکیل می‌دهد.

4- واحد بنایی هیچ‌گونه تنش کششی را تحمل نمی‌کند.

5- میلگرد کاملاً توسط ملات یا دوغاب محصور و با واحد بنایی پیوند دارد، به طوری که مجموعاً دارای رفتار همگن بوده و در محدوده تنش‌های مجاز، عمل می‌کنند.

8-پ-2-6-2 مقاومت طراحی

1- نقشه‌های اجرایی باید حاوی مقاومت فشاری مشخصه بنایی (f’m) برای هر عضو از سازه باشند.

2- هر عضو سازه‌ای باید بر اساس مقاومت فشاری مشخصه بنایی (f’m) مربوط به آن عضو طراحی شود.

3- تنش‌های محاسباتی نباید از مقادیر مجاز این پیوست فراتر رود.

8-پ-2-6-3 تنش‌ها و نیروهای مجاز
8-پ-2-6-3-1 تنش‌های مجاز میلگرد فولادی

1- تنش کششی در میلگرد نباید از نصف تنش تسلیم مشخصه فولاد (0/5fy) بیشتر شود.

2- چنان چه میلگردهای عرضی مطابق الزامات بند 8-4-4-5 تأمین شده باشند، تنش فشاری در میلگرد نباید از نصف تنش تسلیم مشخصه فولاد (0/5fy) بیشتر شود. در غیراین صورت، از ظرفیت فشاری میلگرد باید صرف نظر شود.

8-پ-2-6-3-2 بارهای مجاز پیچ مهار

1- بار مجاز کششی پیچ مهار با مهره، مدفون در ملات یا دوغاب، چنان چه شکست بنایی کنترل کننده باشد (Bab)، از رابطه 8-پ-2-1 و چنان چه تسلیم کششی پیچ کنترل کننده باشد (Bas)، از رابطه 8-پ -2-2 محاسبه می‌شود.

(8-پ-2-1) 8-پ-2-1
(8-پ-2-2) 8-پ-2-2

2- بار مجاز کششی پیچ مهار خمیده، مدفون در ملات یا دوغاب، چنان چه شکست بنایی کنترل کننده باشد (Bab)، از رابطه 8-پ-2-3، چنان چه بیرون کشیده شدن پیچ کنترل کننده باشد (Bap)، از رابطه 8-پ-2-4 و چنانچه تسلیم کششی پیچ کنترل کننده باشد (Bas)، از رابطه 8-پ-2-5 محاسبه می‌شود.

(8-پ-2-3) 8-پ-2-3
(8-پ-2-4) 8-پ-2-4
(8-پ-2-5) 8-پ-2-5

3- بار مجاز برشی پیچ‌های مهار با مهره و خمیده مدفون در ملات یا دوغاب، چنان چه شکست بنایی کنترل کننده باشد (Bvb)، از رابطه 8-پ-2-6، چنان چه خردشدگی بنایی کنترل کننده باشد (Bvc)، از رابطه 8-پ-2-7، چنان چه بیرون کشیده شدن پیچ کنترل کننده باشد (Bvpry)، از رابطه 8-پ-2-8 و چنانچه تسلیم کششی پیچ کنترل کننده باشد (Bvs)، از رابطه 8-پ-2-9 محاسبه می‌شود.

(8-پ-2-6) 8-پ-2-6
(8-پ-2-7) 8-پ-2-7
(8-پ-2-8) 8-پ-2-8
(8-پ-2-9) 8-پ-2-9

4- پیچ مهاری که تحت ترکیب کشش محوری و برش قرار دارد باید رابطه 8-پ-2-10 را برآورده نماید.

(8-پ-2-10) 8-پ-2-10

5- بار مجاز پیچ مهار مورد استفاده در طراحی، نباید از 20 درصد میانگین نیروی متناظر با زوال نمونه‌ها (حاصل از آزمون) بیشتر باشد.

8-پ-2-6-3-3 نیروی فشاری مجاز بنایی

1- نیروی فشاری بنایی مسلح تحت نیروی فشاری خالص نباید از مقادیر داده شده در روابط 8-پ-2-11 و 8-پ-2-12 فراتر رود.

الف – برای اعضایی که در آن‌ها 99 > h/r:

(8-پ-2-11) 8-پ-2-11

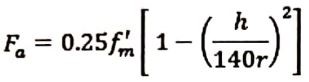
ب- برای اعضایی که در آن‌ها 99 < h/r:

(8-پ-2-12) 8-پ-2-12

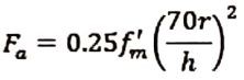
2- تنش فشاری در بنایی، ناشی از خمش یا ترکیب خمش و نیروی محوری، نباید از 0/45 برابر مقاومت فشاری مشخصه بنایی بیشتر شود، هم‌چنین تنش فشاری ناشی از نیروی محوری (fa) نباید از تنش مجاز فشاری برای تحمل بار محوری تنها (Fa) که بر اساس روابط 8-پ-2-13 و 8-پ-2-14 محاسبه می‌گردد، بیشتر شود.

(8-پ-2-13) 8-پ-2-13
(8-پ-2-14) 8-پ-2-14
8-پ-2-6-3-4 تنش برشی مجاز بنایی

1- تنش برشی مجاز در بنایی مسلح (Fv) از رابطه 8-پ-2-15 به دست می‌آید.

(8-پ-2-15) 8-پ-2-15

در رابطه فوق، Fv نباید از مقادیر زیر فراتر رود:

الف- چنان چه 0/25 ≥ M/Vd باشد:

(8-پ-2-16) 8-پ-2-16

ب- چنان چه 1/0 ≤ M/Vd باشد:

(8-پ-2-17) 8-پ-2-17

پ- حداکثر مقدار Fv برای مقادیر M/Vd بین 0/25 و 1/0 را می‌توان از درون یابی خطی به دست آورد.

2- تنش برشی مجاز بنایی (Fvm) باید با استفاده از رابطه 8-پ-2-18 محاسبه شود.

(8-پ-2-18) 8-پ-2-18

در رابطه فوق، M/Vd باید همیشه مثبت در نظر گرفته شده و نیازی نیست از 1 بیشتر در نظر گرفته شود.

3- در دیوارهای برشی بنایی مسلح، تنش برشی مجاز بنایی (Fvm)، باید با استفاده از رابطه 8-پ-2-19 محاسبه شود.

(8-پ-2-19) 8-پ-2-19

در رابطه فوق، M/Vd باید همیشه مثبت در نظر گرفته شده و نیازی نیست از 1 بیشتر در نظر گرفته شود.

4- تنش برشی مجاز تحمل شده توسط میلگردها (Fvs) باید با استفاده از رابطه 8-پ-2-20 محاسبه شود:

(8-پ-2-20) 8-پ-2-20
8-پ-2-6-3-5 تنش مجاز لهیدگی بنایی

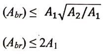
تنش لهیدگی در بنایی نباید از 33 درصد مقاومت فشاری مشخصه بنایی بیشتر شود. تنش لهیدگی باید بر روی سطح لهیدگی (Abr)، که نباید از مقادیر زیر بیشتر باشد، محاسبه گردد.

  سطح لهیدگی

در روابط فوق، مساحت A2، سطح قائده تحتانی بزرگتر هرم قائم یا مخروطی است که دارای سطح باربر A1 است. برای دیوارهایی که با پوشش مناسب چیده نشده‌اند، Aدر محل درزهای قائم خاتمه می‌یابد.

8-پ-2-6-4 طراحی برای فشار محوری و خمش

اعضایی که تحت فشار محوری، خمش و یا ترکیبی از آن‌ها قرار دارند باید مطابق الزامات این بند طراحی شوند.

8-پ -2-6-4-1 ستون

1- نیروی فشاری بنایی مسلح تحت نیروی فشاری خالص در ستون نباید از مقادیر تعریف شده در بند 8-پ-2-6-3-3 و روابط 8-پ-2-11 و 8-پ -2-12 فراتر رود.

2- نیروهای طراحی باید با فرض خروج از مرکزیت حداقل 0/1 هر بعد مقطع ستون، به عضو اعمال شود. هر محور باید به طور مستقل در نظر گرفته شود.

8-پ-2-6-4-2 دیوار

1- نیروی فشاری بنایی مسلح تحت نیروی فشاری خالص در دیوار نباید از مقادیر تعریف شده در بند 8-پ-2-6-3-3 و روابط 8-پ-2-11 و 8-پ-2-12 فراتر رود.

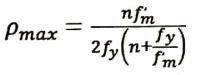
2- دیوارهای برشی بنایی مسلح با نسبت دهانه برشی M/Vd برابر یا بیش از 1 و با نیروی محوری P بیش از 0/05fmAn که تحت نیروی درون صفحه قرار دارند باید دارای حداکثر نسبت میلگرد کششی خمشی مطابق رابطه 8-پ-2-21 باشند؛

(8-پ-2-21) 8-پ-2-21

حداکثر نسبت میلگرد نباید در راستای خارج از صفحه اعمال شود.

8-پ-2-6-5 طراحی برای کشش محوری و کشش خمشی

کشش محوری و کشش خمشی تماماً باید توسط میلگردها تحمل شوند.

8-پ-2-6-6 طراحی برای برش

اعضایی که تحت نیروی برشی قرار دارند باید مطابق الزامات این بند طراحی شوند.

1- تنش برشی محاسباتی با استفاده از رابطه زیر به دست می‌آید:

(8-پ-2-22) 8-پ-2-22

2- تنش برشی محاسباتی (fv) نباید از تنش برشی مجاز (F­) تعریف شده در بند 8-پ-2-6-3-4 بیشتر شود.

3- چنانچه تنش برشی محاسباتی (fv) از تنش برشی مجاز بنایی (Fvm) بیشتر شود، لازم است از میلگرد برشی استفاده نمود. چنانچه میلگرد برشی لازم است، الزامات زیر باید اعمال شوند.

الف- میلگردهای برشی باید موازی با راستای اعمال نیروی برشی تأمین شوند. فاصله میلگردهای برشی نباید از کمترین در مقدار 2/d یا 1200 میلی‌متر بیشتر شود.

ب- میلگردهایی برابر حداقل یک سوم میلگردهای برشی باید عمود بر میلگردهای برشی تأمین شوند. این میلگردها باید به طور یکنواخت توزیع شده و نباید فاصله بین آن‌ها از 1200 میلی‌متر بیشتر شود.

4- در دیوارهای بنایی مسلح مرکب (چند لایه)، تنش‌های برشی در صفحات تماس بین لایه‌ها و درزهای میانی یا بین لایه‌ها و کله‌ها نباید از مقادیر زیر فراتر روند.

الف – 48 کیلوپاسکال برای هسته میانی اجرا شده با ملات

ب- 90 کیلوپاسکال برای هسته میانی اجرا شده با دوغاب

پ- 0/1 برابر ریشه دوم مقاومت فشاری مشخصه آجر کله

5- در طراحی تیرها، لازم است از تنش برشی حداکثر در بر تکیه‌گاه استفاده شود.

8-پ-2-7 طراحی پی

پی ساختمان بنایی مسلح با در نظر گرفتن تلاش‌های محوری، خمشی، برشی و لهیدگی ناشی از اعمال بارهای ثقلی و جانبی وارد از عناصر قائم ساختمان، به صورت پی بتن‌آرمه نواری و یا مرکب و بر اساس ضوابط مندرج در مبحث نهم مقررات ملی ساختمان طراحی می‌گردد. در اجرای پی، تعبیه میلگرد ریشه برای کلیه میلگردهای قائم عناصر قائم دیوار، جرز و ستون، با سطح مقطعی حداقل برابر سطح مقطع میلگرد قائم و با در نظر گرفتن ضوابط مندرج در مبحث نهم مقررات ملی ساختمان، الزامی است.

8-پ-2-8 طراحی دال

دال کف‌ها و سقف ساختمان بنایی مسلح می‌تواند از انواع تیرچه بلوک، بتن‌آرمه، دال مرکبا، چوبی و یا هر دال مهندسی دیگری که توان و یکپارچگی لازم جهت انتقال نیروهای ثقلی و جانبی به عناصر مقاوم ساختمان را داشته باشد انتخاب گردد. تحلیل و طراحی دال، بسته به نوع، بر اساس ضوابط مندرج در بند 8-4-6-13-1 (دال تیرچه بلوک)، بند 8-5-5-8-1 (سقف تاق ضربی)، مبحث نهم مقررات ملی ساختمان (دال بتن‌آرمه) و یا مقررات و دستورالعمل‌های مورد تأیید برای انواع سقف‌های دیگر انجام می‌پذیرد.

8-پ-2-9 الزامات غیرسازه ای

در طراحی و اجرای اعضای غیرسازه‌ای ساختمان‌های بنایی مسلح که به روش تنش مجاز طراحی شده‌اند رعایت ضوابط مندرج در بند 8-3-5 الزامی است.

مشخصات آیین‌نامه

تعداد فصول: 8 فصل
سال انتشار: 1398
ویرایش: سوم

جستجو در آیین‌نامه‌ها

ناشرین آیین‌نامه‌ها

مقررات ملی ساختمان

قوانین، آیین‌نامه‌ها، شیوه‌نامه‌ها، دستورالعمل‌ها و بخشنامه‌های ساختمان

نظام مهندسی ساختمان

ضوابط، بخشنامه‌ها، نشریه‌ها و معیار‌های فنی نظام مهندسی ساختمان

مرکز تحقیقات راه، مسکن و شهرسازی

قوانین، آیین‌نامه‌ها و بخشنامه‌های مرکز تحقیقات راه، مسکن و شهرسازی

سازمان برنامه و بودجه کشور

ضوابط، بخشنامه‌ها و قوانین سازمان برنامه و بودجه کشور

سازمان ملی استاندارد ایران

استانداردهای کمیته‌های مختلف سازمان ملی استاندارد ایران

سازمان تامین اجتماعی کشور

مقررات و آیین‌نامه‌های درمانی و بیمه‌ای سازمان تامین اجتماعی کشور

ضوابط فنی و اجرایی شهرداری‌ها

ضوابط، بخشنامه‌ها، نشریه‌ها و معیار‌های فنی شهرداری‌های کشور

ضوابط فنی و اجرایی وزارت بهداشت

ضوابط، بخشنامه‌ها، نشریه‌ها و معیار‌های فنی وزارت بهداشت

ضوابط فنی و اجرایی وزارت نیرو-آبفا

ضوابط، بخشنامه‌ها، نشریه‌ها و معیار‌های فنی وزارت نیرو-آبفا

ضوابط سازمان بنادر و دریانوردی

ضوابط، بخشنامه‌ها، نشریه‌ها و معیار‌های فنی سازمان بنادر و دریانوردی

ضوابط فنی و اجرایی وزارت نفت

ضوابط، بخشنامه‌ها، نشریه‌ها و معیار‌های فنی وزارت نفت

قوانین و مقررات مالیاتی کشور

قوانین، مقررات، ضوابط و دستورالعمل‌هاى مالیاتى سازمان مالیات كشور

تازه‌ترین فصل‌ها

واژه‌نامه

مبحث هفدهم مقررات ملی ساختمان (سامانه گاز طبیعی در ساختمان)

پیوست ۶ دسته‌بندی نوع دستگاه‌‌‌های گازسوز

مبحث هفدهم مقررات ملی ساختمان (سامانه گاز طبیعی در ساختمان)

پیوست 5 شکل‌ها

مبحث هفدهم مقررات ملی ساختمان (سامانه گاز طبیعی در ساختمان)

پیوست 4 جدول‌ها

مبحث هفدهم مقررات ملی ساختمان (سامانه گاز طبیعی در ساختمان)

پیوست 3 ایمنی و ضوابط بهره‌برداری و نگهداری از سیستم لوله‌‌کشی گاز

مبحث هفدهم مقررات ملی ساختمان (سامانه گاز طبیعی در ساختمان)

پیوست 2 نمونه محاسبات

مبحث هفدهم مقررات ملی ساختمان (سامانه گاز طبیعی در ساختمان)

پیوست 1 راهنمای ایمنی

مبحث هفدهم مقررات ملی ساختمان (سامانه گاز طبیعی در ساختمان)