آیین‌نامه‌ها

صفحه اصلی / آیین‌نامه‌ها / مبحث هفتم مقررات ملی ساختمان (پی و پی‌سازی)
3-7 گودبرداری و پایش

3-7 گودبرداری و پایش

1-3-7 هدف

هدف این فصل ارائه حداقل الزامات موردنیاز در طراحی، اجرا، نظارت و پایش گودبرداری برای احداث پروژه‌های شهری می‌باشد.

2-3-7 تعاریف

1-2-3-7 گودبرداری‌ها به شرح زیر به دو گروه کلی: حفاظت نشده و حفاظت شده تقسیم می‌شوند:

گروه اول گودهایی هستند که در کلیه شرایط دوران عملکرد، پایداری و تغییرشکل مجاز در آن بدون هیچ‌گونه حفاظتی تأمین شده باشد.

گروه دوم گودهایی هستند که در کلیه شرایط دوران عملکرد، پایداری و تغییرشکل مجاز در آن با دو مکانیزم مختلف زیر تأمین شده باشد:

– با استفاده از بسیج نیروهای داخلی خاک و عناصر مسلح کننده خاک

– با استفاده از سازه نگهبان

2-2-3-7 گودها یا دائمی‌اند یا موقت. گود موقت گودی است که برای زمانی کوتاه تعریف شده طبق بند 7-3-2-2-2 به منظور اجرای عملیات ساختمانی احداث می‌شود.

در طراحی گودهای موقت یا دائم، بارگذاری‌ها و جزئیات روش‌ها و مشخصات مصالح باید منطبق با شرایط پایدارسازی موقت یا دائم در نظر گرفته شود.

1-2-2-3-7 پایدارسازی موقت: نوعی پایدارسازی است که پایداری گود را در دوران احداث بنا تأمین می‌کند و برای آن نقشی در کاهش نیروهای رانش خاک بر سازه اصلی در شرایط بهره‌برداری در نظر گرفته نمی‌شود.

2-2-2-3-7 پایدارسازی موقت می‌تواند در هنگام طراحی به صورت کوتاه مدت (کمتر از یکسال پس از اتمام یا توقف عملیات گودبرداری) یا بلندمدت در نظر گرفته شود. در پایدارسازی موقت بلندمدت باید ملاحظات بارگذاری متناسب با زمان، شرایط دوام مصالح و جزئیات روش‌های مناسب منطبق با شرایط بلندمدت در نظر گرفته شود.

3-2-2-3-7 در پایدارسازی دائم باید الزامات بارگذاری لرزه ای، تأمین دوام مصالح و جزئیات روش‌های مناسب در نظر گرفته شود.

3-3-7 ملاحظات کلی

1-3-3-7 الزامات و مبانی در طراحی و اجرای گودها در این مبحث برای گود برداری‌های کمتر از 20 متر است و اکیداً توصیه می‌شود از احداث گود با عمق بیشتر از 20 متر احتراز شود. در صورت ضرورت احداث گودهای عمیق‌تر موارد زیر باید انجام‌پذیرد:

  • ضرورت احداث توسط شورای عالی شهرسازی به تصویب برسد.
  • مقادیر مجاز تغییرشکل‌ها 20٪ کاهش و ضرایب اطمینان پایداری و مقاومتی 20٪ افزایش پیدا کند.
  • تعداد گمانه‌ها نسبت به جدول 7-2-1 پنجاه درصد افزایش پیدا کند.
  • مطالعه جامع جریان‌های آب زیرزمینی در محدوده‌ای که شامل ساختگاه می‌شود، در طول دوران گودبرداری، ساخت و بهره‌برداری از ساختمان انجام‌پذیرد و گزارش آن ارائه گردد.
  • مطالعه اثرات زیست محیطی احداث این گودها انجام‌پذیرد.
  • مطالعه کامل بررسی اثر اندرکنش خاک و سازه در شرایط استاتیکی و دینامیکی انجام شود.
  • پایش گود با روش‌های پیشرفته و تجهیزات کامل در دوران ساخت انجام‌پذیرد و گزارش آن هر دو هفته یکبار ارائه شود.

2-3-3-7 بر اثر گودبرداری در خاک وضعیت تنش در آن تغییر می‌کند و ممکن است تغییرشکل‌ها و ناپایداری‌های زیر در آن به وجود آید:

  • برآمدگی و تورم کف گود، که می‌تواند در شرایطی به جوشش و ناپایداری کف بینجامد.
  • تغییرمکان جانبی دیواره‌های گود یا ناپایداری دیواره‌ها
  • نشست زمین در نواحی مجاور گود

تراز سطح آب زیرزمینی و تغییرات آن در هر سه مورد بالا می‌تواند تأثیر گذار باشد و باید کنترل شود.

3-3-3-7 در بررسی ناپایداری گودبرداری‌ها، انتخاب و طراحی سیستم‌های نگهدار آن‌ها، موارد زیر باید مدنظر قرار گیرند:

  • نوع ساختار و بافت لایه‌های خاک
  • پارامترهای مقاومت برشی خاک
  • پارامترهای تغییرشکلی خاک
  • عمق و عرض گودبرداری
  • شرایط آب زیرزمینی و آب‌های سطحی
  • وجود یا عدم وجود سازه در نواحی مجاور گود و نحوه ساخت و ساز آن‌ها
  • وضعیت سربارهای موجود در کناره گود از قبیل ترافیک خیابان‌ها و غیره
  • کوتاه مدت با بلندمدت بودن دوران استفاده از گود

4-3-3-7 به منظور پایدارسازی دیواره گودها باید از روش‌های مناسب مانند موارد زیر استفاده کرد:

الف – ایجاد شیب پایدار

ب- میخ‌گذاری با اجرای میل مهار

پ- دیوارهای مهار شده با تیرک از جلو

ت- دیوارهای مهار شده با میل مهار از پشت

ث – استفاده از سیستم‌های نگهبان خرپایی

ج- استفاده از سیستم شمع‌ها و دیوارک‌های طره‌ای

چ- استفاده از سیستم شمع‌های به هم پیوسته با یا بدون مهار

ح- سایر روش‌ها

5-3-3-7 در گودبرداری‌ها باید گسیختگی‌ها و تغییرشکل‌های متداول به شرح زیر کنترل شود:

الف – ناپایداری دیواره گود

ب – نشست و تغییرمکان محیط اطراف و ساختمان‌های مجاور گود

پ- ریزش

ت – بالازدگی کف گود بر حسب مورد

ث- جوشش ماسه از کف گود (در صورت بالا بودن سطح آب زیرزمینی در خاک‌های ماسه ای) بر حسب مورد

ج- مشکلات ناشی از لرزش حاصل از عملیات گودبرداری در سازه‌های اطراف گود

6-3-3-7 به منظور واگذاری طراحی، اجرا و نظارت گودبرداری و تفویض مسئولیت‌ها به مرجع ذیصلاح، ارزیابی خطر گودبرداری باید طبق الزامات بندهای 7-3-3-6-1 تا 7-3-3-6-11 صورت گیرد.

1-6-3-3-7 جهت ارزیابی خطر گود قائم لازم است هر سه شرط تعیین شده برای هر دسته در جدول 7-3-1 برقرار باشد. در صورتی که هر سه شرط مذکور به طور همزمان برقرار نباشد، خطر گود با توجه به شرطی که بحرانی است تعیین می‌شود. در صورت وجود اختلاف در ارزیابی خطر گود در وجوه مختلف آن، بحرانی‌ترین وجه به عنوان شاخص انتخاب می‌گردد.

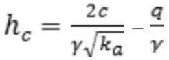
عمق hc از رابطه 7-3-1 محاسبه می‌شود.

(1-3-7) 7-3-1

که در آن:

hc بر حسب متر، عمقی است که از نظر تئوری، به دلیل وجود چسبندگی در خاک، دیواره جدار گودبرداری می‌تواند بدون استفاده از سیستم نگهبان پایدار بماند که به آن عمق بحرانی گودبرداری گفته شده است، c چسبندگی خاک بر حسب کیلوپاسکال، γ وزن مخصوص خاک بر حسب کیلونیوتن بر متر مکعب، ka ضریب فشار افقی زمین در حالت محرک و q تنش ناشی از سربار کناره گود بر حسب کیلوپاسکال می‌باشد. مقادیر منفی hc معادل صفر در نظر گرفته شود.

2-6-3-3-7 اگر فاصله ساختمان مجاور از لبه گود کمتر از عمق گود باشد، باید تنش حاصل از کل بار ساختمان (q) در محاسبات پایداری گود در نظر گرفته شود.

3-6-3-3-7 در صورت حضور آب یا رطوبت قابل توجه، به کاهش hc با توجه به اثر آب بر خواص در رابطه 7-3-1 توجه شود.

جدول 7-3-1 ارزیابی خطر گود با دیوار قائم

مقدار عمق گود از تراز صفر عمق گود از زیر پی ساختمان موجود در محدوده ناپایداری دیوارۀ گود خطر گود
کمتر از 0/5 کمتر از 4 متر صفر معمولی
بین 0/5 تا 2 بین 4 تا 10 متر بین صفر تا 6 متر زیاد
بیشتر از 2 بیشتر از 10 متر بیشتر از 6 متر بسیار زیاد

h عمق گود مورد نظر است و hc عمق بحرانی بر اساس رابطه 7-3-1 به دست می‌آید.

4-6-3-3-7 اگر تراوش آب در گود موجود باشد همواره خطر گود زیاد یا بسیار زیاد است.

5-6-3-3-7 اگر خاکی که در آن گودبرداری انجام می‌شود دستی یا فاقد چسبندگی قابل اعتماد باشد، خطر گود با توجه به معیارهای دیگر زیاد یا بسیار زیاد است.

6-6-3-3-7 چنانچه ساختمان موجود در حوزه تأثیر ناپایداری گود دارای یکی از مشخصات در بندهای زیر باشد، خطر گود همواره بسیار زیاد در نظر گرفته می‌شود.

الف – ساختمان فاقد انسجام و یکپارچگی کافی برای تحمل نشست‌های افقی و قائم نظیر ساختمان بدون اسکلت یا بدون پی پیوسته بتنی مسلّح (پی‌های نواری و گسترده) یا هرگونه ساختمانی که در آن نشانه آشکار فرسودگی و ضعف در باربری مشاهده گردد.

ب- ساختمان با ارزش فرهنگی و تاریخی

ج- ساختمان با اهمیت بسیار زیاد در استاندارد 2800

د- ساختمان 8 طبقه یا بیشتر

7-6-3-3-7 در صورت وجود تأسیسات شهری عمده (مانند خطوط اصلی آب، گاز و مخابرات) در مجاورت گود، خطر گود زیاد یا بسیار زیاد ارزیابی می‌شود.

8-6-3-3-7 در صورتی که خطر گود مطابق با جدول 7-3-1 معمولی باشد، مسئولیت طراحی گودبرداری بر عهده مهندس طراح ساختمان خواهد بود. البته توصیه می‌شود کارفرما در کنار مهندس طراح در پایدارسازی گود از یک متخصص ژئوتکنیک ذیصلاح استفاده نماید.

9-6-3-3-7 در صورتی که خطر گود مطابق با جدول 7-3-1 زیاد باشد، مسئولیت طراحی گودبرداری باید بر عهده یک شرکت مهندسی ژئوتکنیک ذیصلاح واگذار شود. نظارت بر اجرای عملیات بر عهده ناظر ذیصلاح ژئوتکنیک است.

10-6-3-3-7 در صورتی که خطر گود مطابق با جدول 7-3-1 بسیار زیاد باشد. مسئولیت طراحی گودبرداری باید توسط یک شرکت مهندسی ژئوتکنیک ذیصلاح، عملیات پایدارسازی گود توسط پیمانکار ذیصلاح و نظارت بر اجرای عملیات توسط ناظر ذیصلاح ژئوتکنیک انجام گردد.

11-6-3-3-7 حضور ناظر ژئوتکنیک در گودهای با خطر زیاد و بسیار زیاد در طول مدت اجرای عملیات گودبرداری و پایدارسازی گود به صورت تمام وقت و پیوسته در کارگاه ضروری است.

7-3-3-7 تحلیل پایداری و تغییرشکل گود

1-7-3-3-7 در صورت وجود بنا در حوزه تأثیر ناپایداری گود، طراحی‌ها باید با در نظر گرفتن تغییرشکل‌ها انجام‌پذیرد. در این موارد تنها تأمین پایداری جداره‌های گود کافی نیست. در این موارد تغییرمکان افقی و قائم مجاز باید با توجه به شرایط و ویژگی‌های ذکر شده مطابق بند 7-3-5 تعیین شود.

2-7-3-3-7 در خاک‌های بسیار سست، سیستم‌های نگهدارنده باید قبل از شروع عملیات گودبرداری احداث شوند. شمع‌ها و چاه‌های نگهدارنده بتنی در جداره بیرونی گود، دیواره‌های جداکننده، سپرهای فلزی (در صورت امکان استفاده) از این نوع سیستم‌ها هستند.

3-7-3-3-7 در خاک‌های با پایداری نسبی خوب می‌توان سیستم‌های نگهدارنده را همراه با انجام گودبرداری، به صورت گام به گام، احداث نمود. در این حالت باید به تغییرشکل گود و تغییرشکل‌های القایی زیر پی ساختمان مجاور توجه ویژه داشت و چنانچه این تغییرشکل‌ها از مقادیر مجاز تجاوز کنند باید از روش ساخت سیستم‌های نگهدارنده قبل از شروع عملیات گودبرداری استفاده نمود.

4-7-3-3-7 تحلیل پایداری با روش‌های تعادل حدی و بر اساس روش تنش مجاز انجام می‌گیرد. در این روش، حداقل ضرایب اطمینان به شرط موقت بودن گود (کمتر از یک سال) به شرح جدول 7-3-2 می‌باشد. استفاده از روش ضرایب بار و مقاومت نیز مجاز است.

5-7-3-3-7 برای تحلیل پایداری گود لازم است بار مرده و زنده ساختمان‌ها و ابنیه مجاور به طور کامل در نظر گرفته شود.

6-7-3-3-7 برای تحلیل گود در شرایط موقت در نظر گرفتن بار زلزله الزامی نیست.

جدول 7-3-2 حداقل ضریب اطمینان برای پایداری کلی گود موقت

نوع حداقل ضریب اطمینان پیشنهادی برای پایداری کلی
شیب‌های خاکبرداری 1/3
پایداری کلی شیروانی 1/3
بالا آمدن کف گود 1/5

7-7-3-3-7 در صورتی که گود موقت نباشد باید نیروی زلزله لحاظ شود و در انتخاب ضریب اطمینان مناسب، دوام مصالح نیز مورد توجه قرار گیرد.

8-7-3-3-7 در صورت وجود ساختمان در حوزه تأثیر ناپایداری، ضرایب اطمینان در جدول 7-3-2 باید 1/5 در نظر گرفته شود.

9-7-3-3-7 باید توجه داشت که در بسیاری از خاک‌ها بر حسب شرایط نوع و بافت خاک و کانی‌های تشکیل‌دهنده آن، امکان کاهش ضریب اطمینان در طول زمان موجود است. در چنین شرایطی ضریب اطمینان باید متناسباً افزایش یابد.

4-3-7 تحلیل تغییرشکل گود و سازه‌های مجاور

1-4-3-7 تعیین تغییرشکل گود و سازه‌های مجاور آن باید از روابط معتبر یا مدل‌سازی‌های عددی صحت سنجی شده، به دست آید. باید از صحت پارامترهای ورودی به مدل‌سازی عددی نیز اطمینان حاصل کرد. تغییرشکل‌های افقی و قائم پیش‌بینی شده ابنیه مجاور گود باید در حد مجاز باشد. گودبرداری نباید بهره‌برداری از ساختمان مجاور گود را مختل کند.

2-4-3-7 تغییرمکان‌های افقی و قائم ساختمان مجاور گود اعم از تغییرمکان یکنواخت یا غیریکنواخت باید کمتر از حدود مجاز باشد.

5-3-7 تغییرشکل‌های مجاز

حدود مجاز تغییرشکل‌ها و تغییرمکان‌های قائم و افقی در هر گودبرداری با توجه به شرایط تحت الارضى و نوع خاک محل گودبرداری و خاک زیر ساختمان‌های مجاور گود، نوع و پیوستگی پی، نوع سازه، اهمیت ساختمان، میزان انسجام و یکپارچگی ساختمان مجاور و نوع سیستم سازه‌ای آن توسط طراح ژئوتکنیکی تعیین می‌شود.

6-3-7 زهکشی

چنانچه برای تأمین فضایی جهت انجام پروژه، عملیات گودبرداری در محیط آبدار نیاز به زهکشی داشته باشد باید به تغییرشکل‌های زمین اطراف گود زهکشی شده توجه ویژه مبذول گردد. استفاده از زهکشی به جای آب‌بندی ساختمان در دوران بهره‌برداری منوط به کنترل و بررسی تاثیر آن بر محیط ژئوتکنیکی پیرامون آن با رعایت ملاحظات زیست محیطی می‌باشد. در این صورت باید مطالعه کامل انجام‌پذیرد و اثرات زهکشی طولانی مدت به طور جامع بررسی و گزارش شود.

7-3-7 پایش و کنترل

در گودهای با خطر زیاد و بسیار زیاد لازم است رفتار سازه‌های مجاور و دیواره گود مورد پایش دقیق قرار گیرد و نتایج آن به طور منظم تفسیر شود.

1-7-3-7 اهداف ابزارگذاری و پایش

پایش به منظور تأمین اهداف زیر انجام می‌گیرد:

– تأمین ایمنی گود در حین عملیات اجرایی و پس از گودبرداری

– ارزیابی پاسخ سازه‌های موجود به وضعیت جدید در حین و پس از گودبرداری

– کنترل روش و پارامترهای طراحی انتخاب شده و بازنگری آن در صورت نیاز

2-7-3-7 برنامه پایش

ابزارگذاری و پایش گودها و ساختمان‌های مجاور مستلزم برنامه‌ریزی دقیق و تخصصی است که شامل نوع، تعداد، محل نصب، فواصل اندازه‌گیری و دیگر مواردی است که باید توسط متخصص ذیصلاح انجام گیرد.

به طور معمول این ابزارها شامل نشست سنج، کشش سنج، انحراف سنج، سلول‌های بارگذاری، پیزومتر و غیره می‌باشند. در گودهای با خطر بسیار زیاد استفاده از پایش توسط حسگرهای مناسب علاوه بر عملیات نقشه‌برداری یا میکروژئودزی اجباری است.

3-7-3-7 بخشی از ابزار پایش باید قبل از شروع عملیات گودبرداری نصب و قرائت شوند به همین دلیل لازم است انتخاب متخصص انجام دهنده این امر و تنظیم برنامه پایش قبل از شروع عملیات سامان یابد.

4-7-3-7 مسئولیت طراحی، اجرا و نظارت پایش

طراح گودبرداری مسئولیت تهیه برنامه پایش را به عهده دارد.

مسئولیت اجرای روزمره برنامه پایش شامل تأمین، نصب، قرائت، پردازش، اعلام خطر به عهده پیمانکار پایش می‌باشد. اطلاع‌رسانی به موقع به کلیه دست اندرکاران پروژه از وظایف پیمانکار پایش است.

ناظر پروژه مسئولیت نظارت بر حسن اجرای انجام مراحل پایش را به عهده دارد.

در گودهای با خطر معمولی در صورتی که شرایطی موجود باشد که انجام پایش را ضروری سازد، باید این عملیات انجام‌پذیرد.

مشخصات آیین‌نامه

تعداد فصول: 7 فصل
سال انتشار: 1400
ویرایش: چهارم

جستجو در آیین‌نامه‌ها

ناشرین آیین‌نامه‌ها

مقررات ملی ساختمان

قوانین، آیین‌نامه‌ها، شیوه‌نامه‌ها، دستورالعمل‌ها و بخشنامه‌های ساختمان

نظام مهندسی ساختمان

ضوابط، بخشنامه‌ها، نشریه‌ها و معیار‌های فنی نظام مهندسی ساختمان

مرکز تحقیقات راه، مسکن و شهرسازی

قوانین، آیین‌نامه‌ها و بخشنامه‌های مرکز تحقیقات راه، مسکن و شهرسازی

سازمان برنامه و بودجه کشور

ضوابط، بخشنامه‌ها و قوانین سازمان برنامه و بودجه کشور

سازمان ملی استاندارد ایران

استانداردهای کمیته‌های مختلف سازمان ملی استاندارد ایران

سازمان تامین اجتماعی کشور

مقررات و آیین‌نامه‌های درمانی و بیمه‌ای سازمان تامین اجتماعی کشور

ضوابط فنی و اجرایی شهرداری‌ها

ضوابط، بخشنامه‌ها، نشریه‌ها و معیار‌های فنی شهرداری‌های کشور

ضوابط فنی و اجرایی وزارت بهداشت

ضوابط، بخشنامه‌ها، نشریه‌ها و معیار‌های فنی وزارت بهداشت

ضوابط فنی و اجرایی وزارت نیرو-آبفا

ضوابط، بخشنامه‌ها، نشریه‌ها و معیار‌های فنی وزارت نیرو-آبفا

ضوابط سازمان بنادر و دریانوردی

ضوابط، بخشنامه‌ها، نشریه‌ها و معیار‌های فنی سازمان بنادر و دریانوردی

ضوابط فنی و اجرایی وزارت نفت

ضوابط، بخشنامه‌ها، نشریه‌ها و معیار‌های فنی وزارت نفت

قوانین و مقررات مالیاتی کشور

قوانین، مقررات، ضوابط و دستورالعمل‌هاى مالیاتى سازمان مالیات كشور

تازه‌ترین فصل‌ها

واژه‌نامه

مبحث هفدهم مقررات ملی ساختمان (سامانه گاز طبیعی در ساختمان)

پیوست ۶ دسته‌بندی نوع دستگاه‌‌‌های گازسوز

مبحث هفدهم مقررات ملی ساختمان (سامانه گاز طبیعی در ساختمان)

پیوست 5 شکل‌ها

مبحث هفدهم مقررات ملی ساختمان (سامانه گاز طبیعی در ساختمان)

پیوست 4 جدول‌ها

مبحث هفدهم مقررات ملی ساختمان (سامانه گاز طبیعی در ساختمان)

پیوست 3 ایمنی و ضوابط بهره‌برداری و نگهداری از سیستم لوله‌‌کشی گاز

مبحث هفدهم مقررات ملی ساختمان (سامانه گاز طبیعی در ساختمان)

پیوست 2 نمونه محاسبات

مبحث هفدهم مقررات ملی ساختمان (سامانه گاز طبیعی در ساختمان)

پیوست 1 راهنمای ایمنی

مبحث هفدهم مقررات ملی ساختمان (سامانه گاز طبیعی در ساختمان)