آیین‌نامه‌ها

صفحه اصلی / آیین‌نامه‌ها / مبحث سوم مقررات ملی ساختمان (حفاظت ساختمان‌ها در مقابل حریق)
8-3 مقاومت در برابر آتش

8-3 مقاومت در برابر آتش

1-8-3 هدف و دامنه کاربرد

هدف از این فصل ارائه الزامات مقاومت اجزای ساختمانی در برابر آتش است، به گونه‌ای که از گسترش آتش‌سوزی از محل وقوع به فضاهای مجاور و یا از یک ساختمان به ساختمان‌های مجاور جلوگیری شده و نیز پایداری اجزای ساختمان در برابر آتش بر حسب نیاز تا یک زمان معین و منطقی حفظ شود.

درجه الزامی مقاومت در برابر آتش برای اجزای اصلی ساختمان، پیش از هر چیز به ابعاد و نوع تصرف ساختمان بستگی دارد. لذا ابتدا باید بر اساس ابعاد ساختمان و مطابقت آن با الزامات فصل 3-4، نوع ساختار قابل قبول تعیین شده، با مراجعه به جدول‌های فصل 3-3، حداقل درجه مقاومت لازم در برابر آتش برای اجزای اصلی ساختمان تعیین شود. به علاوه الزامات بیان شده در این فصل بر حسب نیاز طرح، باید رعایت شود.

از آن جا که وجود هر گونه بازشو، منفذ یا فضای خالی پنهان محافظت نشده در درون ساختار اجزای ساختمانی و یا هر گونه ارتباطات محافظت نشده بین فضاهای مجاور، نقطه ضعفی برای مقاومت سیستم در برابر آتش بوده و می‌تواند مسیرهایی را برای گسترش آتش‌سوزی ایجاد نماید، لازم است تا این قبیل فضاها به صورت کنترل شده، طراحی و در صورت نیاز به وسیله تمهیدات قابل قبول (مانند استفاده از مصالح مناسب یا سیستم‌های آتش بند) محافظت شوند که الزامات مربوط به آن در این فصل ارائه شده است. الزامات تکمیلی در ویرایش‌های بعدی مبحث ارائه خواهد شد.

2-8-3 درجه‌بندی مقاومت در برابر آتش و آزمون‌های آتش

درجه‌بندی مقاومت در برابر آتش باید مطابق با آزمون‌ها و استانداردهای ملی و در غیاب آن‌ها مطابق با استانداردهای بین‌المللی معتبر صورت گیرد. محصولات محافظت کننده در برابر آتش باید از سوی مرجع قانونی صدور گواهینامه فنی تأیید شوند. مصالح، سیستم یا هر گونه وسیله‌ای که در داخل یک عنصر ساختمانی استفاده شود، نباید درجه الزامی مقاومت در برابر آتش آن جزء ساختمانی را کاهش دهد.

1-2-8-3 دیوار نامتقارن

دیوارها و تیغه‌های داخلی که دارای ساختاری نامتقارن بوده و مصالح یا جزئیات به کار رفته در دو طرف آن‌ها با یکدیگر متفاوت باشد، باید از هر دو طرف مورد آزمایش مقاومت در برابر آتش قرار گیرند و کمترین درجه به دست آمده از آزمون به عنوان درجه مقاومت در برابر آتش برای آن دیوار در نظر گرفته شود. چنانچه وجه ضعیف‌تر در برابر آتش از قبل مشخص بوده و این موضوع مورد تأیید مرجع ذیصلاح علمی باشد، نیازی به آزمون دیوار از وجه دیگر نیست. برای مقررات دیوارهای خارجی به بخش 3-8-3 مراجعه گردد.

3-8-3 دیوارهای خارجی
1-3-8-3 کلیات

دیوارهای خارجی باید مطابق الزامات این بخش دارای درجه مقاومت در برابر آتش بوده و بازشوهای آن‌ها در برابر آتش محافظت شده باشد.

2-3-8-3 پیش‌آمدگی‌ها

پیش‌آمدگی‌های دیوار در ساختمان‌های نوع 1 و 2 باید از مصالح غیرقابل سوختن باشند. در تمام ساختارها در جاهایی که مطابق با این مبحث وجود بازشو مجاز نیست و یا محافظت بازشوها الزامی است، از برجستگی‌ها یا پیش‌آمدگی‌های اجرا شده با مصالح قابل سوختن استفاده نشود.

3-3-8-3 ساختمان‌های مستقر در یک ملک (قطعه زمین یا محوطه مشترک)

به منظور تعیین الزامات دیوار و محافظت بازشوها و پوشش سقف برای ساختمان‌های مستقر در یک ملک (قطعه زمین یا محوطه مشترک)، لازم است تا برای تعیین فاصله مجزاسازی حریق، یک خط فرضی بین آن‌ها در نظر گرفته شود. چنانچه یک ساختمان جدید در ملکی بنا شود که در آن ساختمان دیگری وجود دارد، این خط فرضی باید در جایی در نظر گرفته شود که دیوار خارجی و محافظت بازشوهای ساختمان موجود با معیارهای بندهای 3-8-3-5 و 3-8-3-6 مطابقت داشته باشد.

4-3-8-3 مصالح

مصالح دیوارهای خارجی باید بر اساس الزامات ساختار ساختمان (فصل 3-3) از نوع مجاز باشد.

5-3-8-3 درجه‌بندی مقاومت در برابر آتش

دیوارهای خارجی ساختمان باید مطابق با جدول‌های 3-3-1 و 3-3-2 دارای درجه مقاومت در برابر آتش باشند. درجه‌بندی مقاومت در برابر آتش دیوارهای خارجی برای فواصل مجزاسازی حریق بزرگتر از 1/5 متر باید از طرف داخل آن‌ها صورت گیرد (آزمون مقاومت در برابر آتش از طرف وجه داخلی روی آن‌ها صورت گیرد). برای فواصل مجزاسازی حریق برابر یا کوچکتر از 1/5 متر، درجه‌بندی مقاومت در برابر آتش باید از هر دو طرف دیوار صورت گیرد.

6-3-8-3 مساحت مجاز بازشوها

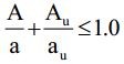
حداکثر مساحت بازشوهای محافظت شده و محافظت نشده در دیوار خارجی هر طبقه، نباید بیش از مقدار معین شده در جدول 3-8-3-6 باشد. در صورتی که هر دو نوع بازشوهای محافظت شده و محافظت نشده در دیوار خارجی یک طبقه قرار گرفته باشند، مساحت کل بازشوها باید از معادله زیر پیروی نماید:

معادله (3-8-1) 3-8-1

که در:

A= مساحت واقعی بازشوهای محافظت شده،

a= مساحت مجاز بازشوهای محافظت شده،

Au= مساحت واقعی بازشوهای محافظت نشده،

au= مساحت مجاز بازشوهای محافظت نشده.

یادآوری: ساختمان‌هایی که دیوار خارجی آن‌ها الزامی به مقاومت در برابر آتش ندارد، محدودیتی برای مساحت بازشوهای محافظت نشده برای آن‌ها وجود ندارد.

جدول 3-8-3-6: حداکثر مساحت بازشوها بر اساس درصد مساحت دیوار خارجی

نوع بازشو فاصله مجزاسازی حریق (متر)
0-1 بزرگ‌تر از 1 تا 1/5 بزرگ‌تر از 1/5 تا 3(ب) بزرگ‌تر از 3 تا 4/5 (الف) بزرگ‌تر از 4/5 تا 6(الف) بزرگ‌تر از 6 تا 7/5 (الف) بزرگ‌تر از 7/5 تا 9(الف) بزرگ‌تر از 9
محافظت نشده غیرمجاز غیرمجاز 10% 15% 25% 45% 70% بدون محدودیت
محافظت شده غیرمجاز 15% 25% 45% 75%

 

 

بدون محدودیت بدون محدودیت بدون محدودیت
الف- مساحت بازشوها در یک پارکینگ باز با فاصله مجزاسازی حریق بزرگتر از 3 متر، نیازی به محدود شدن ندارد.
ب – برای تصرف‌های خطرناک، بازشوهای محافظت نشده برای بازشوهای با فاصله مجزاسازی حریق برابر یا کمتر از 4/5 متر مجاز نیست.
1-6-3-8-3 تأثیر وجود شبکه بارنده خودکار

در ساختمان‌هایی که به طور کامل به شبکه بارنده خودکار تأیید شده مجهز باشند، حداکثر مساحت مجاز بازشوهای محافظت نشده در تمام تصرف‌ها به غیر از تصرف‌های گروه (خ)، می‌تواند با مقادیر مندرج در جدول 3-8-3-6 برای بازشوهای محافظت شده یکسان در نظر گرفته شود.

2-6-3-8-3 وضعیت طبقه اول

در تصرف‌های به جز گروه (خ)، برای بازشوهای محافظت نشده در طبقه اول دیوارهای خارجی رو به خیابان با فاصله مجزاسازی حریق بیش از 3/0 متر یا رو به فضای باز متصرف نشده نیاز به اعمال محدودیت نیست. فضای باز باید در محدوده همان ملک یا برای استفاده عمومی بوده و نباید عرض کمتر از 6/0 متر داشته باشد. این فضا باید به منظور دسترسی نیروهای آتش‌نشانی به خیابان راه داشته باشد.

3-6-3-8-3 وضعیت سیستم‌های اضطراری و تأسیسات آتش‌نشانی

سیستم‌های اضطراری و تأسیسات آتش‌نشانی مانند پمپهای آتش‌نشانی و تابلوهای برق اضطراری نباید در اتاق‌هایی نصب شوند که دارای شیشه‌ها و بازشوهای محافظت نشده در دیوارهای خارجی بوده و احتمال آسیب زودرس آن‌ها به علت نفوذ حریق از طریق نما و دیوار خارجی (به علت شکسته شدن شیشه در زمان گسترش حریق بر روی نما) وجود داشته باشد.

7-3-8-3 جداسازی قائم بازشوها

چنانچه بازشوهای دو طبقه متوالی در فاصله افقی 5/1 متر یا کمتر از یکدیگر بوده و بازشوی واقع در طبقه پائین‌تر از نوع محافظت شده مطابق بند 3-8-11-3 نباشد، بازشوهای موجود در دیوار خارجی طبقه‌های مجاور باید به طور قائم جداسازی شوند تا از پیشروی آتش‌سوزی از طریق جدار خارجی ساختمان جلوگیری شود. چنین بازشوهایی باید به طور قائم از یکدیگر حداقل به اندازه 90 سانتی‌متر فاصله داشته باشند و بین آن‌ها یک دیوار خارجی یا دیگر اعضای ساختمان با درجه یک ساعت مقاومت در برابر آتش باشد، یا این که به وسیله یک مانع (مانند بیرون زدگی کف) که به طور افقی حداقل به اندازه 75 سانتی‌متر از دیوار خارجی بیرون زده باشد، جدا شوند. این مانع باید دارای درجه مقاومت حداقل یک ساعت در برابر آتش باشد.

تبصره‌ها:

1- ساختمان‌های با ارتفاع سه طبقه یا کمتر

2- ساختمان‌هایی که به طور کامل به سیستم شبکه بارنده خودکار تأیید شده مجهز باشند

3- پارکینگ‌های باز

8-3-8-3 وضعیت دیوار خارجی در ساختمان‌های مجاور با ارتفاع متفاوت

در ساختمان‌های موجود در یک ملک، در مورد هر بازشو با فاصله قائم کمتر از 4/5 متر بالاتر از بام ساختمان یا در فاصله افقی کمتر از 4/5 متر با ساختمان مجاور، باید تمهیدات محافظتی مورد تأیید مطابق بندهای 3-8-3-10 و 3-8-11-3 به کار رود.

تبصره:در مواردی که ساختار بام، در یک فاصله حداقل 3/0 متری از ساختمان مجاور، و نیز کل طول و دهانه اجزای نگهدارنده بام، هر یک دارای درجه یک ساعت مقاومت در برابر آتش هستند، محافظت بازشو لازم نیست.

9-3-8-3 دیوار جان‌پناه

تعبیه دیوار جان‌پناه در بام مسطح در امتداد دیوارهای خارجی الزامی است. درجه مقاومت در برابر آتش دیوار جان‌پناه باید یکسان با درجه مورد نیاز برای دیوار زیر آن باشد و مصالح آن در سمت مجاور سطح بام (شامل مصالح در پوش‌ها و مشابه) باید تا ارتفاع 45 سانتی‌متر از نوع غیرقابل سوختن باشد. ارتفاع جان‌پناه از نقطه تلاقی سطح بام نباید کمتر از 110سانتی‌متر باشد. دیوار جان‌پناه باید به منظور جلوگیری از شکست و ریزش زودهنگام در حین آتش‌سوزی، دارای ساختار و سازه مناسب باشد. هم‌چنین دیوار جان‌پناه باید الزامات ارائه شده در مبحث چهارم مقررات ملی ساختمان را نیز برآورده سازد.

10-3-8-3 محافظت بازشوها

پنجره‌هایی که مطابق بندهای 3-8-3-6، 3-8-3-7 یا 3-8-3-8 لازم است محافظت شوند، باید حائز شرایط بند 3-8-11-3 باشند. سایر بازشوهایی که مطابق بندهای 3-8-3-6، 3-8-3-7 یا 3-8-3-8 لازم است با درها یا کرکره‌های آتش محافظت شوند، باید حائز شرایط بند 3-8-11-2 باشند. در جاهایی که طبق بخش 3-8-3 به محافظت بازشوها نیاز نباشد، پنجره‌ها و درها می‌توانند از هر نوع مصالح دارای استاندارد یا گواهینامه فنی معتبر ساخته شوند.

11-3-8-3 درزها

درزهای داخل یا بین آن دسته از دیوارهای خارجی که لازم است دارای درجه مقاومت در برابر آتش باشند، باید با شرایط بخش 3-8-9 مطابقت نمایند.

تبصره: درزهای آن دسته از دیوارهای خارجی که مجاز به داشتن بازشوهای محافظت نشده باشند.

1-11-3-8-3 دیوار پرده‌ای خارجی

در صورت وجود فضای خالی (فاصله) در محل تلاقی مجموعه کف – سقف و مجموعه دیوار پردهای خارجی، این فضا باید مطابق بند 3-8-9-3 محافظت شود.

12-3-8-3 کانال‌ها و گشودگی‌های انتقال هوا

گشودگی‌های ایجاد شده توسط کانال‌ها و دریچه‌های انتقال هوا در آن نوع دیوارهای خارجی که دارای درجه الزامی مقاومت در برابر آتش هستند، باید مطابق با بخش 3-8-12 در برابر آتش محافظت شوند.

4-8-3 دیوارهای داخلی

مقاومت در برابر آتش دیوارهای داخلی باید بر حسب نوع ساختار ساختمان (جدول 3-3-2 الف) و مقررات این بخش باشد. انواع دیوارهای داخلی معرفی شده در این مبحث عبارتند از:

دیوار جداکننده آتش: دیوار جداکننده‌ای که برای جلوگیری از گسترش آتش‌سوزی از یک طرف به طرف دیگر دیوار طراحی شده و بازشوهای آن در برابر آتش محافظت شده است. از دیوار جداکننده آتش برای جدا کردن واحدهای مسکونی موجود در یک ساختمان، دیوارهای جداکننده واحدهای مجزای خواب در ساختمان‌های گروه‌های (م – 1) و نیز در خوابگاه‌ها، اقامتگاه‌های سازمانی و نظایر آن و (د -1)، دیوارهای جداکننده واحدهای مستقل در ساختمان‌های تجاری و بازارهای سرپوشیده، و دیوار کریدورهایی که مقاومت در برابر آتش برای آن‌ها طبق بند 3-6-3-2-6 الزامی است و نیز برای جداسازی لابی آسانسور استفاده می‌شود.

دیوار مانع آتش: دیوارهایی که برای جدا کردن شفت‌ها، گذرگاه‌های خروج، خروج‌های افقی فضاهای فرعی حادثه‌خیز، جدا کردن تصرف‌های گوناگون با جدا کردن یک تصرف تکی به مناطق مختلف حریق، استفاده می‌شود.

1-4-8-3 منافذ

منافذ موجود در دیوارهای داخلی باید با الزامات 3-6-3-3-5 مجاز است. برای شفت‌ها غیراز منافذی که برای کاربرد شفت مورد نیاز است، و نیز منافذ مربوط به کانال‌ها که مطابق بند 3-6-3-3-5 مجاز هستند، وجود هیچ منفذ دیگری مجاز نیست. کانال‌ها نباید به دیوار شفت خروج نفوذ کنند.

2-4-8-3 درزها

درزهای ساخته شده درون یا بین دیوارهای داخلی باید واجد شرایط مندرج در بخش 3-8-9 باشند.

3-4-8-3 کانال‌ها و گشودگی‌های انتقال هوا

مدخل‌های کانال‌ها و گشودگی‌های انتقال هوا که از میان دیوارهای مانع آتش یا دیوارهای جداکننده آتش عبور می‌کنند باید مطابق بخش‌های 3-8-9 و 3-8-12 باشند.

5-8-3 دیوارهای مانع آتش
1-5-8-3 کلیات

دیوارهای مانع آتش باید مطابق با الزامات این بخش باشند. این دیوارها باید بر حسب ساختار ساختمان، ارائه شده در فصل 3-3، از مصالح ساختمانی مجاز ساخته شوند.

2-5-8-3 دوربند شفت‌ها

درجه‌بندی مقاومت در برابر آتش دیوارهای مانع آتش برای جدا کردن فضاهای مختلف ساختمان از شفت‌ها باید با الزامات بند 3-6-3-3-3 باشد.

1-2-5-8-3 گذرگاه خروج

درجه‌بندی مقاومت در برابر آتش، برای جدا کردن فضاهای مختلف ساختمان از گذرگاه خروج، باید منطبق با الزامات بند 3-6-3-3-14 باشد.

2-2-5-8-3 خروج افقی

درجه‌بندی مقاومت در برابر آتش برای جدا کردن فضاهای مختلف ساختمان که به وسیله خروج افقی به یکدیگر متصل شده باشند، باید منطبق با الزامات بند3-6-3-3-19-7 باشد.

3-2-5-8-3 فضاهای فرعی حادثه‌خیز

موانع آتش جداکننده فضاهای فرعی حادثه‌خیز باید دارای درجه مقاومت در برابر آتش مطابق با جدول 3-2-3 باشند.

4-2-5-8-3 جداکردن تصرف‌های مختلط

در صورت نیاز به تأمین الزامات بند 3-2-4-2، موانع آتش جداکننده تصرف‌های مختلط باید بر اساس نوع تصرف‌هایی که جدا می‌شوند، دارای درجه مقاومت در برابر آتش حداقل برابر با مقادیر مندرج در جدول شماره 3-2-4-2 باشند.

3-5-8-3 پیوستگی دیوارهای مانع آتش

دیوارهای مانع آتش باید از بالای کف زیرین تا زیر صفحه سقف سازه‌ای بالایی پیوسته بوده و به طور مطمئن به آن‌ها متصل باشد. این دیوارها باید به طور پیوسته در میان فضاهای پنهان مثل فضای بالای سقف کاذب امتداد داشته باشند. ساختار تکیه‌گاهی دیوار مانع آتش (مجموعه کف اسقف و ستون‌های مربوط) باید محافظت شود، به طوری که قادر به تأمین درجه‌بندی مقاومت در برابر آتش الزامی برای مانع آتش تحت حمایت باشد، مگر برای دیوارهای مانع آتش با مقاومت یک ساعت که برای جداسازی فضاهای فرعی حادثه‌خیز در ساختمان‌های نوع 2-ب، 3ب و 5-ب استفاده می‌شوند. فضاهای خالی قائم داخل دیوار مانع آتش (در صورت وجود) باید در تراز هر طبقه آتش‌بندی شود. دیوار دوربند شفت‌ها می‌توانند در بالای دوربند تمام شود.

4-5-8-3 بازشوها

بازشوهای دیوارهای مانع آتش باید مطابق بند 3-6-3-3-4 باشند.

تبصره: درهای آتش مربوط به دوربند خروج‌ها.

6-8-3 دوربند شفت‌ها
1-6-8-3 کلیات

هر جایی که برای محافظت گشودگی‌ها و منافذ موجود در مجموعه کف – سقف و بام – سقف، اجرای شفت دوربندی شده الزامی شده باشد، باید الزامات مندرج در این بخش در مورد شفت‌ها به کار رود. لازم به ذکر است که در اینجا منظور از دوربند شفت، یک دیوار دوربند دارای درجه الزامی مقاومت در برابر آتش است. در عین حال ممکن است در سایر مباحث مقررات ملی ساختمان، از جنبه‌های دیگر نیاز به شفت یا دوربند شفت باشد (مانند شفت آسانسور در مبحث پانزدهم مقررات ملی ساختمان) که بدیهی است آن الزامات نیز باید مورد رعایت قرار گیرد.

2-6-8-3 دوربند الزامی شفت‌ها

گشودگی‌های میان مجموعه کف – سقف باید به وسیله دوربند شفت مقاوم در برابر آتش مطابق شرایط مندرج در این بخش محافظت شوند.

تبصره‌ها:

1- برای بازشوهایی که کاملاً در درون یک واحد مسکونی مستقل قرار گرفته و چهار طبقه یا کمتر را به هم وصل می‌کنند، به دوربند شفت نیازی نیست.

2- در ساختمان‌هایی که به طور کامل مجهز به سیستم شبکه بارنده خودکار تأیید شده باشند، برای گشودگی پلکان برقی یا راه‌پله‌ای که بخشی از راه خروج نباشد، در صورت تأمین یکی از دو شرط 2-1 یا 2-2 در زیر به دور بند شفت نیازی نیست:

1-2 در مواردی که این گشودگی با پرده کرکره‌ای افقی خودکار برقی و تأیید شده در هر طبقه محافظت شود. در کرکره‌ای باید دارای ساختار غیرقابل سوختن بوده و دارای درجه مقاومت در برابر آتش حداقل 1/5 ساعت باشد. در کرکره‌ای باید طوری ساخته شده باشد که به محض تحریک کاشف دود بسته شود و گشودگی را کاملاً مسدود نماید. پلکان برقی باید هنگام شروع بسته شدن در کرکره‌ای از حرکت باز ایستد. در کرکره‌ای نباید با سرعت بیش از 15 سانتی‌متر بر ثانیه عمل کند و باید به لبه پیشروی حساس مجهز باشد، به طوری که در صورت تماس با هر مانعی متوقف شده و پس از آزاد شدن به پیشروی خود ادامه دهد.

2-2 دور تا دور گشودگی پلکان یا پلکان برقی به وسیله موانع دود محافظت شود. این موانع باید از جنس مصالح غیرقابل سوختن بوده، دور لبه گشودگی با حداقل عمق 45 سانتی‌متر نصب شوند. هم‌چنین شبکه بارنده خودکار با توزیع متراکم (مطابق با مدرک NFPA 13) باید در اطراف گشودگی پلکان در سقف نصب گردد. فاصله اسپرینکلرها از یکدیگر نباید از 186 سانتی‌متر (6 فوت) بیشتر باشد و در فاصله 15 تا 30 سانتی‌متری از مانع درد دور گشودگی قرار گرفته باشند. مساحت سطح گشودگی در سقف نباید بیش از 2 برابر مساحت تصویر پلکان یا پلکان برقی بر روی سطح افق باشد. استفاده از این بند برای تصرف‌های اداری و تجاری برای هر تعداد طبقات مجاز است، اما برای سایر تصرف‌ها تنها برای آن دسته از پلکان یا پلکان برقی مجاز است که بیش از چهار طبقه را به هم مرتبط نسازد.

3- برای منافذ لوله، سیم، کابل، کانال هوا و هواکش که مطابق با ضوابط بخش 3-8-9 محافظت شده باشند، به دوربند شفت نیازی نیست.

4- برای مدل‌های کانال‌هایی که مطابق با ضوابط بخش 3-8-9 محافظت شده باشند، به دوربند شفت نیازی نیست.

5- برای گشودگی‌های موجود در کف که مطابق با ضوابط خاص آتریوم‌ها (بخش 3-11-1) باشند.

6- برای دودکش‌های بنایی که در آن‌ها فضای پیرامونی محافظتی در هر طبقه با مصالح تأیید شده اجرا شده است، نیازی به دوربند شفت نیست.

7- در کلیه تصرف‌ها به غیر از گروه‌های د -2 و د -3 برای گشودگی کفی که واجد شرایط زیر باشد نیازی به دور بند شفت نیست:

1-7- بیش از دو طبقه را به یکدیگر مرتبط نکند و گشودگی‌های محافظت نشده دیگری در این دو طبقه وجود نداشته باشد که باعث مرتبط شدن آن‌ها به طبقات دیگر شود.

2-7- بخشی از سیستم راه خروج الزامی نباشد، به جز موارد مجاز در بند 3-6-3-3-3

3-7- در میان ساختار ساختمان پنهان نباشد.

4-7- در گروه‌های (د) و (م) به کریدور باز نشود.

5-7- در هیچ تصرفی در طبقات بدون شبکه بارنده خودکار به کریدور باز نشود.

8- برای رمپ اتومبیل در پارکینگ‌های باز یا بسته که مطابق ضوابط و مقررات مربوط ساخته شده باشند، به دور بند شفت نیازی نیست.

9- برای گشودگی‌های کف بین یک میان طبقه (نیم طبقه) و کف طبقه پائینی به دور بند شفت نیازی نیست.

10- برای درزهایی که به وسیله یک سیستم مقاوم در برابر آتش مطابق با ضوابط بخش 3-8-9 محافظت شده‌اند، به دوربند شفت نیازی نیست.

11- برای آسانسورهای نفربر واقع در پارکینگ‌های باز نیازی به دور بند مقاوم در برابر آتش برای شفت نیست، به شرطی که آسانسور فقط به پارکینگ باز اختصاص داشته و برای فضاهای با سایر تصرف‌ها بهره‌برداری نشود.

12- هر جای دیگری که در این مقررات مجاز شناخته شده باشد.

3-6-8-3 مصالح

مصالح مورد استفاده در دوربند شفت باید با توجه به نوع ساختار ساختمان مطابق با الزامات فصل 3-3 از نوع مجاز باشد.

4-6-8-3 درجه‌بندی مقاومت در برابر آتش

ساختار دوربند شفت در ساختمان‌های با ارتفاع 4 طبقه روی تراز زمین یا بیشتر باید از نوع غیرقابل سوختن و حداقل دو ساعت مقاوم در برابر آتش باشد. برای ساختمان‌های با ارتفاع کمتر از 4 طبقه، دوربند شفت باید حداقل یک ساعت مقاوم در برابر آتش باشد.

5-6-8-3 دیوارهای خارجی دوربند شفت‌ها

در جایی که دیوارهای خارجی به عنوان بخشی از دوربند شفت مورد نیاز عمل می‌کنند، این دیوارها باید مطابق ضوابط دیوارهای خارجی مندرج در بخش 3-8-3 باشند و نیازی به اعمال الزامات مقاومت در برابر آتش دوربندها برای آن‌ها نیست.

تبصره: دیوارهای خارجی که مطابق بند 3-6-3-3-11 باید دارای درجه‌بندی مقاومت در برابر آتش باشند.

6-6-8-3 بازشوها

بازشوهای موجود در دیوار دوربند شفت باید مطابق الزامات ارائه شده در بخش 3-8-11 برای موانع آتش محافظت شوند. بازشوهایی که قابلیت باز شدن دارند، باید از نوع خود بسته شو یا خودکار بسته شوی مرتبط با سیستم کشف دود باشند.

1-6-6-8-3 بازشوهای غیرمجاز

غیراز بازشوهایی که برای کاربرد شفت مورد نیاز هستند، وجود هیچ بازشو دیگری در شفت مجاز نیست.

7-6-8-3 انتهای پایینی دور بند شفت

هر شفتی که تا انتهای پایین‌ترین قسمت ساختمان یا سازه امتداد نداشته باشند، باید به یکی از حالت‌های زیر تمام شود:

1- در پایین‌ترین سطح خود با ساختاری دارای درجه‌بندی مقاومت در برابر آتش یکسان با مقاومت پایین‌ترین کفی که شفت از میان آن عبور می‌کند محصور شود. این مقاومت نباید کمتر از درجه لازم برای دیوار شفت باشد.

2- به اتاقی دارای کاربرد مرتبط با شفت ختم شود. اتاق باید از بقیه ساختمان توسط ساختاری با درجه مقاومت در برابر آتش و درجه محافظت بازشو حداقل برابر با درجه مورد نیاز برای محافظت دوربند شفت جدا شود.

تبصرہ:در صورتی که هیچ‌گونه مواد قابل سوختن در داخل شفت وجود نداشته و هیچ‌گونه بازشو یا منفذی نیز از دیوار دوربند شفت به داخل ساختمان وجود نداشته باشد، به جدا کردن اتاق با ساختار درجه‌بندی شده و محافظت پایین شفت نیازی نیست.

3- به وسیله دمپرهای ضد حریق استاندارد، که در پایین‌ترین کف در داخل دوربند شفت نصب شده‌اند، محافظت شود.

8-6-8-3 انتهای بالای دوربند شفت

چنانچه دوربند شفت تا زیر ساختار بام ساختمان امتداد نداشته باشد، باید در بالاترین قسمت خود با ساختاری با درجه مقاومت در برابر آتش معادل با بالاترین کفی که از آن عبور می‌کند، محصور شود. این مقاومت نباید کمتر از درجه لازم برای دوربند شفت باشد.

9-6-8-3 شوت زباله و لباس

شوت زباله و لباس، اتاق‌های دسترسی و انتهایی و اتاق زباله‌سوزی باید مطابق شرایط مندرج در این بند باشند.

تبصره: شوت‌های موجود در یک واحد مسکونی مستقل

1-9-6-8-3 دوربندهای شوت زباله و لباس

دوربند شفت حاوی شوت زباله با لباس نباید برای هیچ منظور دیگری استفاده شود و باید مطابق شرایط مندرج در بند 3-8-6-4 دوربندی شود. بازشوهای شفت، شامل بازشوهای آن از طریق اتاق‌های دسترسی و انتهایی، باید مطابق این بخش و بخش 3-8-12 محافظت شوند. بازشوهای به شوتها نباید در کریدورهای دسترس خروج قرار داشته باشند. در بازشوی شوت باید از نوع خود بسته شو یا خود کار بسته شوی متصل به کاشف دود باشد.

2-9-6-8-3 مصالح

دوربند شفت شوت زباله یا لباس باید بر حسب نوع ساختار ساختمان مطابق با الزامات فصل 3-3 از مصالح مجاز ساخته شود.

3-9-6-8-3 اتاق‌های دسترسی به شوت زباله و لباس

بازشوهای دسترسی به شوت‌های زباله و لباس باید در اتاق‌هایی قرار گیرند که کاملاً دارای ساختار درجه‌بندی برابر با حداقل یک ساعت مقاومت در برابر آتش باشد. بازشوهای اتاق دسترس باید توسط درهای آتش با درجه‌بندی حداقل برابر با 45 دقیقه محافظت شوند و باید از نوع خود بسته شو یا خودکار بسته شوی متصل به کاشف دود باشند.

4-9-6-8-3 اتاق تخلیه

شوت‌های زباله و لباس باید به اتاق کاملاً جدا شده از بقیه ساختمان و محصور به وسیله ساختار دارای درجه‌بندی حداقل یک ساعت مقاومت در برابر آتش تخلیه شوند. بازشوهای به اتاق انتهایی باید به وسیله درهای آتش دارای درجه‌بندی حداقل 45 دقیقه مقاومت در برابر آتش محافظت شود و باید از نوع خود بسته شو با خودکار بسته شوی متصل به کاشف دود باشند. مجرای زباله نباید به اتاق زباله سوز ختم شود.

5-9-6-8-3 اتاق زباله سوز

اتاق زباله سوز مطابق با شرایط جدول 3-2-3 باشد.

6-9-6-8-3 شبکه بارنده خودکار

لازم است تا شبکه بارنده خودکار تأیید شده برای شوت، اتاق انتهایی و اتاق زباله‌سوزی نصب شود.

10-6-8-3 شفت آسانسور و بالابر ظروف

دوربند شفت آسانسور و دوربند بالابر ظروف باید مطابق بند 3-8-6-4 باشد.

1-10-6-8-3 لابی آسانسور

در هر طبقه، هر آسانسوری که به یک کریدور دارای درجه‌بندی مقاومت در برابر آتش، مطابق بند 3-6-3-2-4 باز می‌شود، باید دارای یک لابی باشد. لابی باید آسانسورها را از کریدور به وسیله دیوار جداکننده آتش و بازشوهای محافظت شده جدا نماید. لابی‌های آسانسور باید دارای حداقل یک راه خروج مطابق شرایط فصل 3-6 و سایر ضوابط این مقررات باشند.

تبصره‌ها:

1- در طبقه همکف خیابان تأمین لابی آسانسور الزامی نیست، به شرطی که تمام طبقه همکف خیابان به شبکه بارنده خودکار تأیید شده مجهز باشد.

2- برای آسانسورهایی که مطابق بند 3-8-6-2 نیاز به قرار گرفتن در دور بند شفت مقاوم در برابر آتش نداشته باشند، تأمین لابی الزامی نیست.

3- در ساختمان‌های غیراز گروه‌های د-3 و نیز غیراز ساختمان‌های بلند مرتبه، در صورتی که ساختمان به طور کامل به وسیله شبکه بارنده خودکار تأیید شده محافظت شده باشد، نیاز به تأمین لابی آسانسور نیست.

4- در صورتی که شفت آسانسور مطابق با بند 3-9-6 مجهز به سیستم فشار مثبت باشد، تأمین لابی آسانسور الزامی نیست.

5- لابی آسانسور برای پارکینگ‌های باز الزامی نیست، به شرطی که آسانسور فقط به پارکینگ باز اختصاص داشته باشد.

6- برای ساختمان‌های مسکونی (م- 2) با حداکثر ارتفاع 23 متر از تراز زمین و بار تصرف کمتر از 40 نفر (در هر طبقه)، نیازی به پیش ورودی اختصاصی (لابی) آسانسور نیست.

7-8-3 دیوار جداکننده آتش
1-7-8-3 کلیات

دیوارهای مندرج در زیر باید با شرایط این بخش منطبق باشند:

1- دیوارهای جداکننده واحدهای مستقل مسکونی موجود در یک ساختمان.

2- دیوارهای جداکننده واحدهای مجزای خواب در هتل‌ها، خوابگاه‌ها، اقامتگاه‌ها، مراکز توانبخشی و نظایر آن.

3- دیوارهای جداکننده واحدهای مستقل در ساختمان‌های تجاری، بازارها و بازارچه‌های سر پوشیده و نظایر آن.

4- دیوارهای کریدورهایی که وجود آن‌ها طبق بند 3-6-3-2-4 الزامی است.

5- دیوارهای لابی آسانسور مطابق با بند 3-8-6-10-1.

2-7-8-3 مصالح

دیوارها باید بر حسب نوع ساختار ساختمان مطابق با الزامات فصل 3-3 از مصالح مجاز ساخته شوند. مصالح نازک‌کاری باید با ضوابط فصل 3-7 مطابقت داشته باشد.

3-7-8-3 درجه‌بندی مقاومت در برابر آتش

درجه مقاومت در برابر آتش دیوارهای جداکننده آتش باید حداقل یک ساعت باشد.

تبصره‌ها:

1- دیوارهای کریدور مطابق جدول 3-6-3-2-4 که درجه مقاومت دیگری برای آن‌ها مجاز اعلام شده باشد.

2- در ساختارهای نوع 2-ب، 3-ب و 5-ب، جداکننده‌های واحدهای مسکونی و واحدهای خواب در ساختمان‌های کاملاً مجهز به شبکه بارنده خودکار تأیید شده، باید دارای درجه مقاومت در برابر آتش حداقل نیم ساعت باشد.

3- در پاساژها، بازارچه‌ها و مشابه آن برای دیوار جداکننده بین مغازه و کریدور پاساژ نیازی به در نظر گرفتن مقاومت در برابر آتش نیست.

4-7-8-3 پیوستگی

دیوار جداکننده آتش باید از بالای کف زیرین تا زیر صفحه سقف سازه‌ای بالایی امتداد یافته و به طور ایمن به آن‌ها متصل شود.

5-7-8-3 بازشوها

بازشوها در دیوار جداکننده آتش باید مطابق با بخش 3-8-11 محافظت شوند.

8-8-3 ساختارهای افقی
1-8-8-3 کلیات

ساختارهای سقف/ کف یا سقف /بام که لازم است دارای درجه‌بندی مقاومت در برابر آتش باشند، باید با ضوابط این بخش مطابقت داشته باشند.

2-8-8-3 مصالح

ساختارهای کف و بام باید بر حسب ساختار ساختمان مطابق با الزامات فصل 3-3 از مصالح مجاز ساخته شوند. مصالح نازک‌کاری باید با ضوابط فصل 3-2 مطابقت داشته باشد.

3-8-8-3 درجه مقاومت در برابر آتش

درجه مقاومت مجموعه‌های سقف / کف و سقف / بام در برابر آتش نباید کمتر از مقدار الزامی بر حسب نوع ساختار ساختمان مورد نظر باشد. در صورتی که سقف، تصرف‌های مختلط را از یکدیگر جدا می‌کند و در طراحی از روش "کاربری‌های جداسازی شده" بند 3-2-4-2 استفاده شده باشد، مجموعه کف /سقف باید بر اساس تصرف‌هایی که از یکدیگر جدا شده‌اند، دارای درجه مقاومت در برابر آتش حداقل برابر با الزامات بند 3-2-4-2 باشد.

1-3-8-8-3 نصب دریچه‌های دسترسی

ایجاد و نصب دریچه‌های دسترسی در سقف‌هایی که دارای درجه‌بندی مقاومت در برابر آتش الزامی هستند، در صورتی مجاز است که مقاومت در برابر آتش برای دریچه‌های دسترسی مطابق با ضوابط این مقررات برآورده شود.

4-8-8-3 پیوستگی

ساختارهای افقی باید پیوسته و بدون بازشو، منفذ، یا درز باشند، به جز مواردی که مطابق این بخش با بخش‌های 3-8-6-2 و 3-8-9 مجاز هستند. وجود نورگیرها و دیگر منافذ در بام درجه‌بندی شده از نظر مقاومت در برابر آتش مجاز است، به شرطی که یکپارچگی سازه‌ای بام حفظ شود. استفاده از نورگیرهای محافظت نشده در ساختار بامی که مطابق بند 3-8-3-8 باید در برابر آتش مقاوم باشد، مجاز نیست. سازه نگهدارنده نورگیرها در صورت نیاز باید محافظت شود تا درجه مقاومت در برابر آتش الزامی ساختار بام تأمین و حفظ گردد.

5-8-8-3 منافذ

منافذ عبور کرده از ساختارهای افقی مقاوم در برابر آتش باید مطابق بخش 3-8-9 باشند.

6-8-8-3 درزها

درزهای انبساط و مانند آن که در داخل یا بین ساختارهای افقی دارای درجه‌بندی مقاومت در برابر آتش ایجاد می‌شوند، باید مطابق بخش 3-8-9 باشند. فضای خالی ایجاد شده در محل تلاقی ساختار سقف/ کف و دیوار پرده‌ای خارجی باید مطابق بند 3-8-9-3 محافظت شود.

7-8-8-3 کانال‌ها و گشودگی‌های انتقال هوا

مدخل‌های کانال‌ها و گشودگی‌های انتقال هوا باید مطابق بخش‌های 3-8-9 و 3-8-12 باشند.

9-8-3 آتش‌بندی منافذ و درزها

ضوابط مندرج در این بخش برای محافظت منافذ و درزها در برابر آتش و مصالح و روش‌های ساختمانی مربوط ارائه شده است. چنانچه درون یک مجموعه دارای درجه الزامی مقاومت در برابر آتش، به علت عبور سیستم‌های تأسیساتی، کابل برق، لوله یا مشابه آن‌ها منافذی ایجاد شود، این منافذ باید به نحو مناسب (به عنوان مثال به وسیله مصالح آتش بند تأیید شده) آتش‌بندی شوند تا از تضعیف مقاومت مجموعه در برابر آتش جلوگیری شود.

هم‌چنین درزهای موجود در داخل یا بین دیوارهای مقاوم در برابر آتش، مجموعه‌های کف یا سقف /کف، مجموعه‌های بام یا سقف بام باید به وسیله درزبندی مقاوم در برابر آتش تأیید شده محافظت شوند. سیستم درزبندی باید برای مدتی حداقل برابر با درجه الزامی مقاومت در برابر آتش مجموعه مورد نظر (دیوار، مجموعه‌های کف یا سقف/ کف) تأیید شده باشند. فضای خالی ایجاد شده در محل تلاقی مجموعه سقف/ کف و مجموعه دیوار پرده‌ای خارجی باید مطابق بند 3-8-9-3 محافظت شود.

مصالح و جزئیات اجرایی آتش‌بندی منافذ و درزها باید با توجه به جزئیات و درجه مقاومت در برابر آتش الزامی مورد نیاز، از سوی مرجع قانونی صدور گواهینامه فنی تأیید شوند.

تبصره‌ها:

1- چنانچه یک لوله فولادی، آهنی، چدنی یا مسی با قطر اسمی حداکثر 160 میلی‌متر و سطح گشودگی حداکثر 0/1 متر مربع در دیوارهای بتنی، بنایی و یا در مجموعه سقف/ کف بتنی نفوذ نماید، برای پر کردن فضای باز پیرامون جزء نفوذ کننده می‌توان از بتن، دوغاب یا ملات استفاده نمود، به شرطی که ماده پر کننده دارای ضخامتی برابر با ضخامت دیوار یا کف باشد.

2- سیستم تأیید شده آتش‌بندی برای درزها و منافذ در موارد زیر الزامی نیست:

– کف‌های درون یک واحد مسکونی مستقل؛

– در جاهایی که کف به وسیله دیوار دوربند یا شفت مقاوم در برابر آتش مطابق ضوابط این مبحث محافظت شده باشد؛

– کف‌های داخل آتریوم‌هایی که مطابق با ضوابط خاص آتریوم‌ها باشند و فضای مجاور آتریوم در محاسبه ظرفیت کنترل دود آتریوم، در نظر گرفته شده باشد؛

– کف‌های درون سازه پارکینگ‌های باز؛

– کف‌های میان طبقه؛

– درزهای درون دیوارهایی که مجاز به داشتن گشودگی‌های محافظت نشده هستند؛

– بام‌هایی که وجود گشودگی در آن‌ها مجاز است

1-9-8-3 ساختارهای افقی بدون درجه‌بندی مقاومت در برابر آتش

در ساختارهای افقی که فاقد درجه‌بندی الزامی مقاومت در برابر آتش هستند، فضای خالی بین اجزای نفوذی غیرقابل سوختن و این ساختارها باید به طور ایمن با مصالح غیرقابل سوختن پر شود، به طوری که در برابر عبور آزاد شعله و محصولات احتراق مقاومت نماید.

2-9-8-3 نصب سیستم درزبند آتش

سیستم‌های درزبندی آتش باید به طور ایمن داخل یا روی درز، در تمام طول أن نصب شود به طوری که بر اثر حرکات و جابجایی‌های ساختمان، جابجا یا رها نشده، آسیب نبینند و در مقابل عبور آتش و گازهای داغ مقاومت کنند.

3-9-8-3 محل تلاقی دیوار پرده‌ای با کف

در جاهایی که کف یا مجموعه سقف/ کف باید دارای مقاومت در برابر آتش باشد، درز یا فضای خالی ایجاد شده در محل تلاقی دیوار پرده‌ای خارجی و مجموعه کف، باید با مصالح آتش بند یا سایر مصالح تأیید شده محافظت شود تا از گسترش آتش‌سوزی بین طبقات و داخل ساختمان جلوگیری شود. چنین مصالحی باید به طور ایمن نصب شده و قادر به جلوگیری از عبور شعله و گازهای داغ باشند.

10-8-3 درجه‌بندی مقاومت در برابر آتش و محافظت اعضای سازه‌ای
1-10-8-3 الزامات

درجه مقاومت اعضا و مجموعه‌های سازه‌ای در برابر آتش باید منطبق با ضوابط ساختارها در فصل 3-3 باشند.

2-10-8-3 محافظت اعضای سازه‌ای

محافظت ستون‌ها، شاه تیرها، تیرها، نعل درگاه‌ها، خرپاها یا دیگر اعضای سازه باید منطبق با ضوابط این بخش باشد.

1-2-10-8-3 محافظت مستقل

ستون‌ها، تیرهای اصلی، خرپاها یا دیگر اعضای سازه که دارای اتصال مستقیم به ستون‌ها هستند، برای تأمین مقاومت لازم در برابر آتش مطابق با ضوابط این مبحث، باید به طور کامل و به صورت مستقل به وسیله مصالح و پوشش‌های تأیید شده محافظت شوند. دیگر اعضای سازه که برای آن‌ها به مقاومت الزامی در برابر آتش نیاز است، می‌توانند به وسیله یک پوشش مستقل، پوشش غشائی یا سقفی مطابق بخش 3-8-8، دوربندشفت‌ها یا به وسیله ترکیبی از این روش‌ها محافظت شوند.

در صورت نیاز به محافظت ستون‌ها در برابر آتش، کل ستون شامل اتصالات به تیرهای اصلی و فرعی باید محافظت شود. در جایی که ستون از میان یک سقف کاذب بالا رفته باشد، محافظت ستون در برابر آتش باید به طور کامل از بالای کف سازه‌ای تا زیر سقف سازه‌ای بالایی پیوسته باشد، حتی اگر سقف کاذب دارای مقاومت در برابر آتش باشد.

برای الزامات محافظت ستونک‌های قاب فولادی سبک به بند 3-8-10-7 مراجعه شود.

2-2-10-8-3 ملحقات به اجزای سازه‌ای

زوائد فولادی در سطح سازه مانند دستک‌ها، نبشی‌ها، کله پرچ‌ها و پیچ‌های متصل به اجزای سازه‌ای مجاز است تا به اندازه حداکثر 25 میلی‌متر، از سطح محافظت شده در برابر آتش بیرون بزند.

3-2-10-8-3 محافظت فولادگذاری بتن و مصالح بنایی

ضخامت پوشش محافظ برای فولادگذاری بتن یا مجموعه‌های با مصالح بنایی باید از سطح پوشش تا سطح بیرونی فولاد اندازه‌گیری شود. اما خاموت‌های منفرد و دورپیچ می‌توانند تا حداکثر 12 میلی‌متر به درون پوشش محافظ اطراف اعضای فولادی نفوذ نمایند.

4-2-10-8-3 اجزای مدفون در پوشش محافظ

در مورد آن اجزای سازه‌ای که باید به طور مستقل در برابر آتش محافظت شوند، نباید هیچ‌گونه لوله، سیم، کانال یا دیگر تجهیزات تأسیساتی و خدماتی در درون پوشش لازم برای محافظت در برابر آتش قرار داده شود.

5-2-10-8-3 الزامات پوشش‌های محافظت کننده در برابر آتش

پوشش‌های محافظت کننده در برابر آتش تولید کارخانه‌ای برای سازه‌های فولادی باید بر حسب نوع آن‌ها مطابق با استاندارد EN 13381 تأییدیه و گزارش ارزیابی از مرجع قانونی صدور گواهینامه فنی دریافت نمایند.

برای محصولات دارای نتایج آزمون و مدارک فنی اضافه بر موارد فوق (مانند تأییدیه‌ها و گواهینامه‌های فنی صادر شده توسط مراکز معتبر خارجی بر اساس روش‌ها و استانداردهای متفاوت از EN 13381)، تأییدیه‌های تکمیلی با تشریح دامنه کاربرد و تطبیق طراحی، می‌تواند به دامنه گواهینامه فنی اضافه شود. الزامات مربوط به سایر مشخصات فنی پوشش‌های محافظت کننده در برابر آتش (فیزیکی، مکانیکی، …)، روش‌های ارزیابی و معیارهای پذیرش در قالب مدارک فنی پشتیبان این مبحث تهیه و منتشر خواهد گردید.

1-5-2-10-8-3 محافظت در برابر ضربه

در مواردیکه پوشش محافظت کننده عضو سازه‌ای در برابر آتش، در معرض خطر ضربه ناشی از وسایل نقلیه، حمل کالا یا دیگر فعالیت‌ها باشد، پوشش محافظ باید به وسیله حفاظ‌های گوشه یا پوشش فلزی و یا دیگر مصالح غیرقابل سوختن تا ارتفاع کافی و حداقل 150 سانتی‌متر از کف تمام شده، در برابر ضربه محافظت شود.

یادآوری: روی رنگ‌های محافظت کننده در برابر آتش از نوع پف کننده نباید به طور مستقیم با مصالح دیگر پوشانده شود، زیرا عملکرد محافظتی این پوشش‌ها از طریق پف کردن و منبسط شدن آن‌ها صورت می‌گیرد و فضای لازم برای این موضوع باید همواره وجود داشته باشد.

2-5-2-10-8-3 مقاومت چسبندگی پوشش‌های محافظت کننده در برابر آتش از نوع معدنی پاششی

حداقل مقاومت چسبندگی این نوع پوشش‌ها در ساختمان‌های غیربلند باید 7/2 کیلوپاسکال باشد. این عدد برای ساختمان‌های بلند در قسمت 3-10-2-3 ارائه شده است.

3-10-8-3 اجزای سازه‌ای خارجی

اجزای سازه که در داخل دیوارهای خارجی یا در بیرون ساختمان قرار دارند، باید دارای بیشترین درجه مقاومت در برابر آتش که از بندهای زیر به دست می‌آید، باشند:

1- مطابق الزامات جدول 3-3-2-الف برای اجزای ساختمانی (مانند تیر یا ستون) بر اساس نوع ساختار ساختمان

2- مطابق الزامات جدول 3-3-2- الف برای دیوارهای باربر خارجی بر اساس نوع ساختار ساختمان

3- مطابق الزامات جدول 3-3-2-ب برای دیوارهای خارجی بر اساس فاصله مجزاسازی حریق

4-10-8-3 موارد مجاز برای عدم محافظت بال پایین نعل درگاه‌ها

محافظت در برابر آتش برای بال پایین نعل درگاه‌هایی که جزئی از سازه نیستند، ضرورت ندارد.

5-10-8-3 سیستم‌های جداگر لرزه‌ای

درجه مقاومت در برابر آتش برای سیستم‌های جداگر لرزه‌ای باید معادل درجه مقاومت در برابر آتش آن ستون، دیوار یا جزء ساختمانی (طبق جدول 3-3-2) باشد که سیستم جداگر در آن نصب شده است. بنابراین در صورت نیاز سیستم جداگر لرزه‌ای باید به وسیله پوشش‌ها یا ساختارهای مناسب تأیید شده، در برابر آتش محافظت شود تا مقاومت آن در برابر آتش معادل جزء سازه‌ای که در آن نصب شده است، باشد.

6-10-8-3 سیستم‌های مقاوم‌سازی کف‌های بتن مسلح

سقف‌های بتن مسلح تقویت شده با مصالحی که در برابر آتش ضعیف هستند (مانند اجزاء فولادی یا صفحات کامپوزیتی پلیمری تقویت شده با الیاف – FRP)، باید به گونه‌ای طرح و در صورت نیاز به وسیله پوشش‌ها یا ساختارهای مناسب در برابر آتش محافظت شوند، که درجه مقاومت در برابر آتش الزامی برای ساختار سقف مطابق جدول 3-3-1 تأمین شود.

7-10-8-3 ستونک‌های قاب فولادی سبک

ستونک‌های دیوارهای باربر در سیستم قاب فولادی سبک، برای رسیدن به مقاومت لازم در برابر آتش می‌تواند به وسیله مصالح غشایی (مانند تخته‌های گچی) محافظت گردد.

11-8-3 محافظت بازشوها
1-11-8-3 کلیات

محافظت از آن دسته از بازشوها که توسط دیگر بخش‌های این مبحث لازم شمرده شده است، باید منطبق با الزامات این بخش باشد.

2-11-8-3 مجموعه‌های درها و کرکره‌های آتش

درجه‌بندی محافظت مجموعه‌های درها و کرکره‌های آتش باید با الزامات جدول 3-8-11-2 مطابقت نمایند.

جدول 3-8-11-2: درجه‌بندی محافظت بازشوها در برابر آتش

نوع مجموعه درجه الزامی مقاومت در برآر آتش (ساعت) حداقل مقاومت الزامی در یا کرکره آتش (ساعت)
دیوارهای مانع آتش با درجه الزامی مقاومت در برابر آتش بیش از یک ساعت 4 3
3 3
2 1/5
1/5 1/5
موانع آتش دارای درجه الزامی یک ساعت مقاومت در برابر آتش:    
دیوارهای شفت‌ها، پلکان و رمپ‌های خروج و گذرگاههای خروج 1 1
سایر موانع آتش 1 0/75
دیوارهای جداکننده آتش:    
دیوارهای کریدورها 1 0/33(20دقیقه)
0/5 0/33 (20 دقیقه)
سایر دیوارهای جداکننده آتش 1 0/75 (45 دقیقه)
دیوارهای خارجی 3 1/5
2 1/5
1 0/75 (45 دقیقه)
1-2-11-8-3 آزمایش و ارزیابی درهای آتش

در آتش باید مقاومت لازم در برابر آتش را مطابق با الزامات جدول 3-8-11-2 تأمین نموده، دارای گواهینامه معتبر از مقاوم قانونی مسئول آزمون و گواهینامه فنی باشد. برای اهداف این مبحث، برای درهای آتش تنها براورده شدن معیار یکپارچگی لازم می‌باشد، مگر آن که در قسمت دیگری از این مبحث صراحتاً معیار نارسانایی یا دودبندی در دمای محیط خواسته شده باشد. هم‌چنین طراح ساختمان می‌تواند بر اساس نیاز طرح، براورده شدن سایر معیارها (دودبندی و نارسانایی) را در طرح گنجانده، مدارک و مستندات معتبر در این خصوص را از تولید کننده یا فروشنده مطالبه نماید.

آزمون در باید مطابق با استاندارد ملی ایران شماره 1- 18839 (آزمون‌های مقاومت در برابر آتش و کنترل دود برای مجموعه درهای ضد حریق، مجموعه درهای کرکره‌ای و مجموعه پنجره‌های بازشونده و اجزای یراق‌آلات ساختمانی – قسمت 1: روش‌های آزمون آتش برای درهای ضد حریق، درهای کرکره‌ای و پنجره‌های بازشونده) صورت گیرد. آزمونه باید به صورت نمونه کامل مورد آزمون قرار گرفته، تمام مشخصات مصالح و جزئیات اجرایی آن در گزارش گواهینامه فنی به صورت کامل قید شده باشد. نمونه کامل به دری گفته می‌شود که دارای قاب، وسایل قفل و بست، سطوح شیشه خور (در صورت وجود)، ملزومات و قطعات مربوطه (به همان صورتی که در بازشوی مورد نظر نصب می‌گردد) باشد. هر گونه تغییر جزئیات در نمونه نسبت به گزارش و محدوده کاربرد گواهینامه فنی (مانند سطح شیشه خور، نوار درزبند پف کننده، چارچوب، …) می‌تواند باعث تغییر قابل توجه در رفتار و مقاومت در برابر آتش مجموعه در آزمون شده گردد. تولید کنندگان و تأمین کنندگان درهای آتش باید از تغییر جزئیات مصالح و اجرا خارج از حوزه کاربرد گواهینامه فنی پرهیز نموده، در صورت تغییرات این چنینی، مدارک و مستندات فنی لازم برای همان جزئیات تهیه و ارائه گردد.

در آتش باید به طور کامل و تماماً پیش‌ساخته در محل نصب شود و بدون احتیاج به هر گونه دستکاری که مشخصات آن‌ها را خدشه‌دار سازد، قابل نصب باشد.

2-2-11-8-3 سیستم بسته شدن در و علامت‌گذاری

درهای آتش باید از نوع خود بسته شو باشد، مگر در جای دیگری از این مقررات و یا به تشخیص مرجع صدور پروانه و کنترل ساختمان، استفاده از سیستم خودکار بسته شو مجاز تشخیص داده شده باشد.

تبصره‌ها:

1- درهای آتش مستقر در دیوارهای مشترک جداکننده واحدهای خواب در گروه (م – 1) می‌تواند فاقد سیستم خود بسته شو یا خودکار بسته شو باشد.

2- برای درهای آتش مربوط به داکت‌های تأسیساتی یا مشابه با آن که به طور معمول قفل هستند، نیازی به نصب سیستم خود بسته شو یا خودکار بسته شو نیست.

تمام درهای آتش باید بر حسب کاربرد از هر دو طرف و یا از یک طرف (مانند درهای سیستم‌های تأسیساتی) دارای علامت مناسب باشند (مانند "در آتش – بسته نگاه داشته شود").

3-2-11-8-3 درهای خودکار بسته شو با دریافت علامت از سیستم کشف کننده دود

آن دسته از درهای آتش خودکار بسته شد که در موقعیت‌های زیر نصب شده باشند، باید از نوع خودکار بسته شو با دریافت علامت از سیستم کشف دود باشد. در صورتی که جریان برق به سیستم بسته کننده خودکار یا به سیستم کشف دود قطع شود، این درها باید به طور خودکار بسته شوند. تأخیر زمانی بین فعال شدن کاشف دود و بسته شدن در، نباید بیش از ده ثانیه باشد.

1- درهای آتش نصب شده در میان کریدورها،

2 – درهای آتش مربوط به خروج‌های افقی و نیز کریدورهای دسترس خروج که نیاز به ساختار مقاوم در برابر آتش دارند؛

3- درهای آتش محافظ بازشوهای دیوارهایی که لازم است طبق جدول 3-1 دارای درجه مقاومت در برابر آتش باشند؛

4- درهای نصب شده در دیوارهای مانع آتش یا جداکننده آتش.

4-2-11-8-3 آستانه درهای آتش

در مواردی که کف با مصالح غیرقابل سوختن ساخته شده باشد، در زیر درهای آتش نیازی به آستانه نیست. اما چنانچه ساختار کف از نوع قابل سوختن باشد، زیر درهای آتش (به استثنای درهای با نرخ حداکثر نیم ساعت محافظت)، باید دارای آستانه باشد. این آستانه باید از مصالح غیرقابل سوختن ساخته شود و عرض آن برابر عرض پروفیل‌های جانبی چارچوب در باشد. در مورد الزامات ارتفاع آستانه درها به فصل 3-6 مراجعه شود.

3-11-8-3 مجموعه‌های پنجره بیرونی مقاوم در برابر آتش

پنجره‌های بیرونی که طبق بند 3-8-3-6 نیاز به محافظت دارند و مستقر در دیواری باشند که طبق جدول 3-3-2 نیاز به یک ساعت مقاومت در برابر آتش دارد، باید با مجموعه‌های دارای درجه مقاومت در برابر آتش حداقل 45 دقیقه محافظت شوند. پنجره‌های بیرونی که طبق بند 3-8-3-7 یا 3-8-3-8 نیاز به محافظت دارند، باید دارای محافظتی حداقل برابر با 45 دقیقه در برابر آتش باشند. بازشوهای موجود در مجموعه‌های دیوار خارجی بدون درجه‌بندی مقاومت در برابر آتش که مطابق بندهای 3-8-3-6، 3-8-3-7 یا 3-8-3-8 نیاز به محافظت دارند، باید دارای درجه‌بندی مقاومت در برابر آتش حداقل برابر با 45 دقیقه باشند.

در صورتی که برای سیستم پنجره نیاز به مقاومت در برابر آتش باشد، قاب پنجره با یکی از شرایط زیر قابل قبول است:

الف – قابی که از فولاد ساخته شده، به روشی مطمئن به دیوار محکم شده، در برابر زنگ زدگی مقاوم بوده و قادر به تحمل نیروهای باد باشد.

ب- سایر انواع قاب در صورت اثبات به وسیله آزمون آتش کل سیستم پنجره مورد تأیید مرجع قانونی صدور گواهینامه فنی.

12-8-3 محافظت گشودگی‌های انتقال هوا و کانال‌ها
1-12-8-3 کلیات

محافظت کانال‌ها و گشودگی‌های انتقال هوا در مجموعه‌های با درجه‌بندی مقاومت در برابر آتش باید مطابق با شرایط این بخش باشد. در مورد الزامات سیستم‌های تخلیه دود و نحوه فعال شدن آن‌ها به ضوابط اختصاصی تخلیه دود مراجعه شود. در صورتی که یک دمپر در کانال انتقال هوا، جزئی از یک سیستم تخلیه دود بوده و مطابقت آن با الزامات این بخش، تداخل و تناقض در عملکرد سیستم تخلیه دود ایجاد نماید، رعایت الزامات این قسمت برای چنین دمپرهایی الزامی نیست و عملکرد آن باید با روش‌های طراحی مهندسی صحیح تعیین می‌شود.

2-12-8-3 گشودگی‌های انتقال هوا و کانال‌های بدون دمپر

کانال‌ها و گشودگی‌های انتقال هوا که به درون مجموعه‌های با درجه‌بندی مقاومت در برابر آتش نفوذ کرده و مطابق این بخش نیازی به دمپر نداشته باشند، باید منطبق با ضوابط بخش 3-8-9 باشند.

3-12-8-3 درجه الزامی محافظت در برابر آتش

دمپرهای آتش باید بسته به نوع گشودگی دارای حداقل درجه محافظت در برابر آتش مطابق با جدول 3-8-12-3 باشند.

جدول 3-8-12-3: درجه‌بندی محافظت در برابر آتش برای دمپرها

نوع گشودگی حداقل مقاومت در برابر آتش برای دمپر (ساعت)
مجموعه‌های با درجه مقاومت در برابر آتش کمتر از 3 ساعت 1/5
مجموعه‌های با درجه مقاومت در برابر آتش برابر با یا بیش از 3 ساعت 3
1-3-12-8-3 وسایل فعال ساز دمپرهای آتش

دمای عملکرد وسایل فعال ساز دمپرهای آتش باید تقریباً 10 درجه سلسیوس بیشتر از دمای حداکثر دمای کارکرد درون سیستم کانال باشد، اما از 71 درجه سلسیوس کمتر نباشد.

2-3-12-8-3 روش‌های فعال‌سازی دمپرهای دود

دمپرهای دود باید با تحریک یک کشف کننده دود تأیید شده و بر حسب مورد با یکی از روش‌های زیر بسته شود:

1- در صورتی که دمپر درون کانال نصب شده باشد، باید یک کشف کننده دود در کانال در محدوده 150 سانتی‌متری دمپر نصب شود. در فاصله بین دمپر و کشف کننده نباید خروجی یا ورودی هوا وجود داشته باشد. کشف کننده از نظر سرعت هوا، دما و رطوبت برای جایی که نصب شده مناسب باشد. در صورتی که کشف کننده نقطه‌ای دود برای عملکرد خود به یک حداقل سرعت جریان هوا نیاز داشته باشند، دمپرها، به جز در مورد سیستم‌های مکانیکی کنترل دود، باید به محض خاموش شدن پروانه (فن) بسته شوند.

2- در جایی که دمپر در داخل یک گشودگی دیوار بدون کانال نصب شده باشد، یک کشف کننده نقطه‌ای دود باید در محدوده افقی 150 سانتی‌متری از دمپر نصب شود.

3- در صورتی که دمپر در دیوار یک کریدور نصب شده باشد، دمپر می‌تواند به وسیله یک سیستم کشف دود نصب شده در کریدور کنترل شود.

4-12-8-3 آزمایش و درجه‌بندی دمپرها

دمپرهای آتش باید دارای گواهینامه معتبر از طرف مرجع قانونی صدور گواهینامه فنی باشند.

5-12-8-3 نصب

دمپرهای آتش، دمپرهای دود، دمپرهای مرکب آتش / دود و دمپرهای سقفی مستقر در سیستم‌های توزیع هوا و کنترل دود باید مطابق با الزامات این بخش، دستورالعمل سازنده و مدارک تأیید شده توسط مرجع قانونی صدور گواهینامه فنی نصب شوند.

1-5-12-8-3 دسترسی و شناسایی

دمپر‌های آتش و دود باید دارای دسترسی مناسب باشند که اندازه آن برای اهداف بازرسی و تعمیرات دمپر و قطعات مربوط مناسب باشد. گشودگی‌های دسترسی نباید درجه‌بندی مقاومت در برابر آتش مجموعه را کم کند. نقاط دسترسی باید به وسیله یک برچسب با کلمات دمپر دود یا دمپر آتش قابل شناسایی باشند.

6-12-8-3 محل‌های مورد لزوم

دمپرهای آتش، دمپرهای دود، دمپرهای مرکب آتش / دود و دمپرهای تابشی سقفی باید در محل‌های تعیین شده در این بخش در نظر گرفته شوند. در جایی که یک مجموعه به هر دو دمپر آتش و دود نیاز داشته باشد، یک دمپر مرکب آتش / دود یا یک دمپر آتش و یک دمپر درد احتیاج خواهد بود.

1-6-12-8-3 دیوارهای مانع یا جداکننده آتش

کانال‌ها و دریچه‌های انتقال هوا که از دیوارهای مانع آتش یا جداکننده آتش عبور می‌کنند، در محل عبور از دیوار باید به وسیله دمپر آتش تأیید شده محافظت شوند.

تبصره: در تصرف‌های غیراز گروه (خ)، دمپر آتش برای موارد زیر لازم نیست: دیوارهای جداکننده بین واحدهای مستقل و دیوارهای کریدورها در صورتی که ساختمان به طور کامل به شبکه بارنده خودکار تأیید شده تجهیز شده باشد.

2-6-12-8-3 مجموعه‌های افقی

گشودگی‌های ایجاد شده به دلیل عبور کانال‌ها و گشودگی‌های انتقال هوا در مجموعه‌های کف، سقف/ کف یا در پوسته سقف یک مجموعه سقف /کف باید به وسیله دوربند شفت مطابق با شرایط بخش 3-8-6 یا مطابق با این بخش محافظت شود.

3-6-12-8-3 منافذ سرتاسری

در تصرف‌های غیراز گروه‌های د-2 و د-3، سیستم کانال و گشودگی انتقال هوا که از یک مجموعه سقف/ کف با درجه‌بندی مقاومت در برابر آتش عبور کرده است، می‌تواند فاقد محافظت به وسیله دوربند باشد، به شرطی که یک دمپر آتش در محل کف نصب شده باشد.

4-6-12-8-3 مجموعه‌های بدون درجه‌بندی مقاومت در برابر آتش

سیستم‌های کانال که به درون مجموعه‌های کف بدون درجه‌بندی مقاومت در برابر آتش نفوذ کنند و حداکثر دو طبقه را به هم وصل می‌کنند، می‌توانند فاقد دیوار دوربندی باشند، به شرطی که فضای حلقوی بین مجموعه و کانال با مصالح غیرقابل سوختن مورد تأیید، پر شده باشد تا در برابر عبور آزاد شعله و فرآورده‌های احتراق مقاومت کند.

سیستم‌های کانال که به درون مجموعه‌های کف فاقد درجه‌بندی مقاومت در برابر آتش نفوذ کنند و حداکثر سه طبقه را به هم وصل می‌کنند، می‌توانند فاقد دیوار دوربندی باشند، مشروط بر آنکه فضای حلقوی بین مجموعه و کانال نفوذ کننده با مصالح غیرقابل سوختن تأیید شده پر شده باشد تا در برابر عبور آزاد شعله و فرآورده‌های احتراق مقاومت کند و به علاوه یک دمپر آتش در تراز هر کف نصب شود.

تبصره: در کانال‌های داخل واحدهای مسکونی مستقل به دمپرهای آتش نیازی نیست.

مشخصات آیین‌نامه

تعداد فصول: 15 فصل
سال انتشار: 1395
ویرایش: سوم

جستجو در آیین‌نامه‌ها

ناشرین آیین‌نامه‌ها

مقررات ملی ساختمان

قوانین، آیین‌نامه‌ها، شیوه‌نامه‌ها، دستورالعمل‌ها و بخشنامه‌های ساختمان

نظام مهندسی ساختمان

ضوابط، بخشنامه‌ها، نشریه‌ها و معیار‌های فنی نظام مهندسی ساختمان

مرکز تحقیقات راه، مسکن و شهرسازی

قوانین، آیین‌نامه‌ها و بخشنامه‌های مرکز تحقیقات راه، مسکن و شهرسازی

سازمان برنامه و بودجه کشور

ضوابط، بخشنامه‌ها و قوانین سازمان برنامه و بودجه کشور

سازمان ملی استاندارد ایران

استانداردهای کمیته‌های مختلف سازمان ملی استاندارد ایران

سازمان تامین اجتماعی کشور

مقررات و آیین‌نامه‌های درمانی و بیمه‌ای سازمان تامین اجتماعی کشور

ضوابط فنی و اجرایی شهرداری‌ها

ضوابط، بخشنامه‌ها، نشریه‌ها و معیار‌های فنی شهرداری‌های کشور

ضوابط فنی و اجرایی وزارت بهداشت

ضوابط، بخشنامه‌ها، نشریه‌ها و معیار‌های فنی وزارت بهداشت

ضوابط فنی و اجرایی وزارت نیرو-آبفا

ضوابط، بخشنامه‌ها، نشریه‌ها و معیار‌های فنی وزارت نیرو-آبفا

ضوابط سازمان بنادر و دریانوردی

ضوابط، بخشنامه‌ها، نشریه‌ها و معیار‌های فنی سازمان بنادر و دریانوردی

ضوابط فنی و اجرایی وزارت نفت

ضوابط، بخشنامه‌ها، نشریه‌ها و معیار‌های فنی وزارت نفت

قوانین و مقررات مالیاتی کشور

قوانین، مقررات، ضوابط و دستورالعمل‌هاى مالیاتى سازمان مالیات كشور

تازه‌ترین فصل‌ها

واژه‌نامه

مبحث هفدهم مقررات ملی ساختمان (سامانه گاز طبیعی در ساختمان)

پیوست ۶ دسته‌بندی نوع دستگاه‌‌‌های گازسوز

مبحث هفدهم مقررات ملی ساختمان (سامانه گاز طبیعی در ساختمان)

پیوست 5 شکل‌ها

مبحث هفدهم مقررات ملی ساختمان (سامانه گاز طبیعی در ساختمان)

پیوست 4 جدول‌ها

مبحث هفدهم مقررات ملی ساختمان (سامانه گاز طبیعی در ساختمان)

پیوست 3 ایمنی و ضوابط بهره‌برداری و نگهداری از سیستم لوله‌‌کشی گاز

مبحث هفدهم مقررات ملی ساختمان (سامانه گاز طبیعی در ساختمان)

پیوست 2 نمونه محاسبات

مبحث هفدهم مقررات ملی ساختمان (سامانه گاز طبیعی در ساختمان)

پیوست 1 راهنمای ایمنی

مبحث هفدهم مقررات ملی ساختمان (سامانه گاز طبیعی در ساختمان)