آیین‌نامه‌ها

صفحه اصلی / آیین‌نامه‌ها / دستورالعمل ساخت و اجرای بتن در کارگاه (نشریه شماره 327)
فصل سیزدهم - بتن‌ریزی در هوای سرد

فصل سیزدهم - بتن‌ریزی در هوای سرد

با کاهش دمای بتن، از میزان سخت شدن و کسب مقاومت آن کاسته می‌شود و در دمای زیر نقطه انجماد، روند شیمیایی سخت شدن بتن متوقف می‌گردد. وقتی که دمای محیط به کمتر از 5oC می‌رسد، نباید بتن‌ریزی بدون اعمال تمهیدات ذکر شده در این فصل، انجام پذیرد.

به طور کلی، در دمای کم، آهنگ کسب مقاومت بتن کاهش می‌یابد و در نتیجه بتن تازه باید در مقابل آثار مخرب یخبندان محافظت گردد. در مواردی که بتن در چند ساعت اول، بعد از بتن‌ریزی و یا قبل از آنکه مقاومت نمونه استوانه‌ای بتن به 3.5 MPa برسد، در معرض یخبندان قرار گیرد، مقاومت نهایی بتن ممکن است تا 50 درصد کاهش یابد و بتن دچار آسیب‌دیدگی جدی گردد. اگر بتن در دمایی کمتر از 5oC+ قرار گیرد، فرآیند هیدراتاسیون بسیار کند شده و روند کسب مقاومت بتن عملاً متوقف می‌گردد.

آب خالص در صفر درجه یخ می‌زند، اما آب در داخل بتن به علت وجود املاح مختلف، دارای نقطه انجماد کمتری است و زمانی که آب در بتن یخ می‌زند، حجم آن حدود 9 درصد بیشتر می‌گردد. از آنجا که انجماد بتن فرآیند تدریجی است، مقداری آب در منافذ مویین باقی می‌ماند که به علت افزایش حجم یخ، تحت فشار هیدرولیک قرار می‌گیرد. این فشار اگر آزاد نگردد، سبب تنش کشش داخلی شده و در نتیجه سبب ترک‌خوردگی و خرابی بتن می‌شود. با افزایش تعداد چرخه‌های یخ زدن و آب شدن، بر شدت خرابی بتن نیز اضافه می‌گردد.

در صورتی که شرایط هوای سرد طبق تعریف آیین‌نامه "آبا" در کارگاه حاکم گردد، عملیات ساخت و ریختن بتن، باید متوقف گردد مگر اینکه تمهیدات لازم انجام گردد. مهمترین نکته برای بتن‌ریزی در هوای سرد، ریختن و عمل‌آوری بتن در دمای بیش از 5oC (معمولاً بیش از 10oC) به صورت کافی و عدم ایجاد شوک‌های حرارتی است.

1-13- دمای بتن در هوای سرد

بتن دراوایل سن خود، نه تنها باید درمقابل یخبندان محفاظت گردد، بلکه باید قادر باشد تا در طول عمر مفید خود در مقابل چرخه‌های یخ زدن و آب شدگی، مقاومت نماید. برای آنکه از یخ زدگی بتن تازه جلوگیری شود، دمای بتن در هنگام ریختن آن باید در حد مناسب، و توصیه شده باشد. جدول 1، حداقل دمای بتن در هنگام ریختن، عمل‌آوری و نگهداری آن را نشان می‌دهد. همان طور که در جدول مشاهده می‌شود، دمای مناسب بتن با افزایش ضخامت، کاهش می‌یابد. زیرا با افزایش سطح مقطع بتن، افت حرارت حاصل از هیدراتاسیون کمتر خواهد بود.

2-13- اجزای مخلوط بتن و شرایط آن

شرایط اجزای مخلوط بتن، نقش مهمی در دمای آن دارد که این شرایط در این بخش شرح داده شده است:

1-2-13- سیمان: مقدار و نوع سیمان در سرعت کسب مقاومت بتن اثر دارد. بنابراین، افزایش مقدار سیمان و یا استفاده از سیمان پرتلند نوع 3 (با مقاومت اولیه زیاد)، مناسب است، اما الزامی نمی‌باشد، و درصورت امکان لازم است از سرد شدن سیمان در حد مقدور جلوگیری شود. به هر حال حرارت دادن به سیمان توصیه نمی‌شود.

جدول 1- دمای توصیه شده * بتن در مراحل مختلف ساخت، بتن‌ریزی و نگهداری

دمای هوا oC حداقل ابعاد مقطع
کمتر از 300mm 300-900mm 900-1800mm بالای 1800mm
کمتر از 5 حداقل دمای بتن درهنگام ریختن و نگهداری o(1)
13 10 7 5
  حداقل دمای بتن در هنگام اختلاط (2و3)
بالای 1- 16 13 10 7
1- تا 18- 18 16 13 10
کمتر از 18- 21 18 16 13
*) حداقل دمای مجاز بتن در هنگام ریختن و عمل‌آوری نباید از 5oC+ کمتر باشد.
1) حداکثر دمای بتن در هنگام ریختن نباید بیش از 11oC بالاتر از اعداد مندرج در جدول باشد.
2) حداکثر دمای بتن پس از اختلاط نباید بیش از 8oC بالاتر از اعداد مندرج در جدول باشد.
3) اعداد ارائه شده در این قسمت با فرض حمل بتن به مدت یکساعت در تراک میکسر چرخان بوده و برای مدت زمان حمل کمتر یا بیشتر می‌توان اعداد فوق را به تناسب تغییر داد، اما توصیه می‌شود، دمای اختلاط از مقادیر حداقل دمای بتن در هنگام ریختن کمتر نباشد.

سنگدانه‌ها: وقتی که دمای هوا بیشتر از صفر درجه است و درسنگدانه‌ها، یخ‌زدگی مشاهده نمی‌گردد می‌توان با حرارت دادن آب مخلوط، دمای مورد نظر بتن را به دست آورد. برای دمای هوای کمتر از صفر درجه وقتی که در سنگدانه‌ها، یخ‌زدگی مشاهده می‌شود، ممکن است حرارت دادن به سنگدانه‌ها لازم باشد.

انتخاب روش مناسب برای حرارت دادن مصالح سنگی، بستگی به امکانات و شرایط اقتصادی دارد. معمولاً از هوای گرم، آب گرم و بخار استفاده می‌شود. به هر حال، توصیه می‌گردد که در شرایط هوای سرد به خصوص در طول شب، سنگدانه‌ها با پوشش مناسب پوشانده شوند، تا ضمن عدم جذب رطوبت، یخ نزنند.

آب مخلوط: به طور کلی، آسان‌ترین و ارزان‌ترین روش افزایش دمای مخلوط بتن، افزایش دمای آب است. دمای آب باید کمتر از 60oC باشد، زیرا سبب گیرش ناگهانی و کلوخه شدن سیمان می‌گردد و کارایی، مقاومت و دوام بتن را کاهش می‌دهد. اگر لازم گردد می‌توان از آب با دمای بیشتر از 60oC استفاده کرد. توصیه می‌شود که ابتدا آب با مصالح سنگی مخلوط گردد و سپس سیمان به مخلوط افزوده شود.

گرم کردن آب مخلوط به گرم کردن سنگدانه ترجیح داده می‌شود، گرم کردن آب آسان‌تر از مصالح دیگر است و از طرف دیگر، آب دارای گرمای ویژه حدود، 4/5 تا پنج برابر گرمای ویژه سیمان و سنگدانه است. زیرا گرمای ویژه آب 1 Kcal/kg است، در حالی که میانگین دمای ویژه سیمان و سنگدانه 0.22 Kcal/kg است. در دمای زیر یخ‌زدگی، ضروری است که غیراز گرم کردن آب، سنگدانه به خصوص ماسه گرم گردد. اما در دمای بالای یخ زدگی، فقط گرم کردن آب کفایت می‌کند.

3-13- تعیین دمای بتن

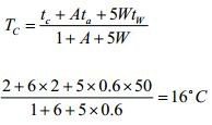
برای تعیین دمای مخلوط بتن می‌توان مستقیماً از حرارت سنج جیوهای یا هر وسیله مناسب دیگر استفاده کرد. همچنین می‌توان با استفاده از رابطه زیر مقدار دمای بتن را (بدون یخ) محاسبه نمود. از فرمول ذکر شده می‌توان به طریق دیگری استفاده کرد. به این صورت که می‌توان مقادیر مختلف دمای اجزای مخلوط به خصوص آب را در فرمول تقریبی زیر جایگزین نمود تا مقدار مورد نظر بتن به دست آید. بر اساس نتیجه به دست آمده، مشخص می‌گردد که دمای هر کدام از اجزای مخلوط چه مقدار باشد.

که در آن ta, tc, Tc و tw به ترتیب، دمای بتن، سیمان، سنگدانه‌ها و آب است.، A نسبت سنگدانه به سیمان و W نسبت آب به سیمان است. برای مثال، مخلوط بتن با سیمان به سنگدانه 1به 6 (وزنی) و نسبت آب به سیمان 0/6 و دمای سیمان سنگدانه‌ها به مقدار 2oC و دمای آب، 50oC دمای بتن برابر است با:

دمای اجزای مخلوط

همان طور که ذکر شد، آب قادر است پنج برابر سیمان و سنگدانه‌ها، گرما را نگهداری کند و بنابراین آسان‌ترین روش برای افزایش دمای بتن، گرم کردن آب است. همان طور که در مثال مشاهده می‌شود، آب با دمای، 50oC دمای بتن را به 16oC می‌رساند، حتی اگر دمای اولیه سیمان و سنگدانه‌ها 2oC باشد.

4-13- ماده افزودنی حباب‌ساز

یکی دیگر از روش‌های جلوگیری از صدمه خوردن بتن، ناشی از یخ‌زدن و آب‌شدگی، استفاده از ماده افزودنی حباب‌ساز است. این ماده محفاظت از بتن را در سن اولیه و همچنین در دوران بهره‌برداری انجام می‌دهد. حباب هوا که بر اثر استفاده از ماده افزودنی در بتن ایجاد می‌گردد با حباب هوای ناخواسته که در نتیجه تراکم نامطلوب بتن به وجود می‌آید، تفاوت دارد. خصوصیت حباب‌های حاصل از ماده افزودنی از دو جنبه با خصوصیات حباب‌های ناخواسته، متفاوت است:

- حباب‌های حاصل از ماده افزودنی بین 10 تا 1000 میکرومتر و قطر حباب‌های ناخواسته بیش از 1000 میکرومتر است.

- حباب‌های ماده افزودنی با یکدیگر ارتباط ندارند، در صورتی که حباب‌های ناخواسته ممکن است با یکدیگر مربوط باشند.

- وجود حباب‌های هوا در بتن سبب می‌گردد تا فضای کافی برای انبساط یخ در بتن ایجاد گردد و درنتیجه از ترک‌خوردگی و خرابی بتن جلوگیری می‌شود. ماده افزودنی حباب‌ساز باعث افزایش کارایی بتن نیز می‌شود. در نتیجه می‌توان با ثابت نگه داشتن اسلامپ، مقدار آب مخلوط را کاهش داد.

5-13- ماده افزودنی زودگیرکننده

مواد افزودنی زودگیر کننده که به غلط در بازار به مواد ضد یخ بتن یا سیمان نامیده می‌شود، می‌تواند سرعت هیدراتاسیون در بتن را افزایش داده و در طول مدت کمتر، مقاومت بیشتری را کسب نماید، به شرط آنکه دمای مناسب (بالاتر از 5oC+) فراهم شده باشد. با مصرف این مواد به میزان توصیه شده عملاً تغییر چشمگیری در نقطه انجماد آب حاصل نمی‌گردد و بتن مصون از یخ زدن نمی‌باشد. بنابراین نباید تصور کرد که مصرف این مواد جایگزین روش توصیه شده برای ساخت بتن و ریختن و عمل‌آوری آن می‌گردد. همچنین باید متذکر شد که مصرف مواد افزودنی زودگیر کننده، مانند مصرف سیمان پرتلند نوع 3 و مصرف سیمان بیشتر (50 kg/m3) کاملاً اختیاری است و بدین ترتیب، زمان عمل‌آوری برای جلوگیری از خسارت ناشی از یخبندان زود هنگام و دستیابی به مقاومت بیشتر در مدت کوتاه‌تر کاملاً مفید است. مسلماً باید از موادی استفاده نمود که منطبق با استانداردهای معتبر بوده، و در مقاومت‌های دراز مدت و دوام بتن، اثر نامطلوب بیش از حد مجاز باقی نگذارد. بنابراین قبل از مصرف هر نوع ماده افزودنی باید از عملکرد مناسب آن (با آزمایش) اطمینان حاصل نمود.

6-13- مخلوط‌کردن و انتقال بتن

پس از مخلوط کردن بتن، نباید دمای آن کمتر از اعداد جدول 1 باشد. مسلماً در هنگام اختلاط بتن با توجه به نوع وسیله حمل، مدت حمل و میزان محموله، اتلاف دما خواهیم داشت. بنابراین در جدول 1، توصیه شده است که دمای پس از اختلاط تا حدودی بیش از حداقل دمای بتن‌ریزی باشد. بدیهی است که باید سعی شود حمل و ریختن بتن تا حد امکان به سرعت انجام گیرد. همچنین در طول حمل بتن با تراک میکسر از چرخش‌های بی‌مورد و زیاد از حد خودداری گردد.

7-13- بتن‌ریزی

مخلوط بتن باید در مدت کوتاه جایدهی گردد، در غیراین صورت، افت دما زیاد خواهد بود. دمای مورد نیاز بتن پس از جای‌دهی بستگی به حجم آن دارد. توصیه می‌گردد که در صورت امکان و هنگام بتن‌ریزی در هوای سرد از لایه‌های ضخیم‌تر استفاده شود.

8-13- وسایل کار

تمام وسایل کار، مانند جام‌ها و فرغون‌ها باید در هنگام عملیات بتن‌ریزی، در مقابل یخ‌زدگی محفاظت شوند.

9-13- محفاظت پس از بتن‌ریزی

خطر جدی در زمانی رخ می‌دهد که آب بتن تازه جایدهی شده یخ بزند. در چنین حالتی ممکن است بتن یخ زده با بتنی که گیرش معمولی دارد، اشتباه شده و عمل قالب‌برداری انجام گردد و در هنگام فرآیند آب شدن، امکان فروپاشی وجود دارد. برای اجتناب از آن، در هیچ مورد نباید دمای بتن در قالب کمتر از 5oC باشد و تا زمانی که بتن سخت گردد، این دما باید حفظ شود. تحقیقات نشان می‌دهد که وقتی مقاومت نمونه استوانه‌ای به 5 MPa می‌رسد، مقاومت لازم در مقابل آسیب دیدگی ناشی از یخ زدن را کسب کرده است. به طور کلی اگر برای 48 ساعت دمای بتن بیشتر از 5oC حفظ شود، مقاومت مذکور را کسب می‌کند. روش‌های مختلف محافظت بتن، پس از جایدهی شامل پوشش مناسب یا حرارت دادن در فضای مسدود است. اعضای نازک بتن، نیاز به محفاظت طولانی‌مدت‌تری دارند، اما بتن‌های حجیم به خصوص در سن اولیه نیاز به محفاظت ندارند (به شرطی که دمای هیدراتاسیون جبران کننده دمای بتن باشد.) درهنگام هوای سرد باید از عمل‌آوری با آب اجتناب و به روش عایقی (استفاده از پوشش برای جلوگیری از تبخیر آب) اکتفا کرد. درعمل‌آوری حرارتی (پروراندن) نباید خشک‌شدگی موضعی حاصل شود و گازهای حاصل از سوزاندن مواد مختلف در تماس با بتن جوان و نارس قرار گیرد. استفاده از بخار آب در عمل‌آوری حرارتی امکان رطوبت‌رسانی را فراهم می‌آورد.

مشخصات آیین‌نامه

تعداد فصول: 17 فصل
سال انتشار: 1385
شماره نشریه: 327

جستجو در آیین‌نامه‌ها

ناشرین آیین‌نامه‌ها

مقررات ملی ساختمان

قوانین، آیین‌نامه‌ها، شیوه‌نامه‌ها، دستورالعمل‌ها و بخشنامه‌های ساختمان

نظام مهندسی ساختمان

ضوابط، بخشنامه‌ها، نشریه‌ها و معیار‌های فنی نظام مهندسی ساختمان

مرکز تحقیقات راه، مسکن و شهرسازی

قوانین، آیین‌نامه‌ها و بخشنامه‌های مرکز تحقیقات راه، مسکن و شهرسازی

سازمان برنامه و بودجه کشور

ضوابط، بخشنامه‌ها و قوانین سازمان برنامه و بودجه کشور

سازمان ملی استاندارد ایران

استانداردهای کمیته‌های مختلف سازمان ملی استاندارد ایران

سازمان تامین اجتماعی کشور

مقررات و آیین‌نامه‌های درمانی و بیمه‌ای سازمان تامین اجتماعی کشور

ضوابط فنی و اجرایی شهرداری‌ها

ضوابط، بخشنامه‌ها، نشریه‌ها و معیار‌های فنی شهرداری‌های کشور

ضوابط فنی و اجرایی وزارت بهداشت

ضوابط، بخشنامه‌ها، نشریه‌ها و معیار‌های فنی وزارت بهداشت

ضوابط فنی و اجرایی وزارت نیرو-آبفا

ضوابط، بخشنامه‌ها، نشریه‌ها و معیار‌های فنی وزارت نیرو-آبفا

ضوابط سازمان بنادر و دریانوردی

ضوابط، بخشنامه‌ها، نشریه‌ها و معیار‌های فنی سازمان بنادر و دریانوردی

ضوابط فنی و اجرایی وزارت نفت

ضوابط، بخشنامه‌ها، نشریه‌ها و معیار‌های فنی وزارت نفت

قوانین و مقررات مالیاتی کشور

قوانین، مقررات، ضوابط و دستورالعمل‌هاى مالیاتى سازمان مالیات كشور

تازه‌ترین فصل‌ها

واژه‌نامه

مبحث هفدهم مقررات ملی ساختمان (سامانه گاز طبیعی در ساختمان)

پیوست ۶ دسته‌بندی نوع دستگاه‌‌‌های گازسوز

مبحث هفدهم مقررات ملی ساختمان (سامانه گاز طبیعی در ساختمان)

پیوست 5 شکل‌ها

مبحث هفدهم مقررات ملی ساختمان (سامانه گاز طبیعی در ساختمان)

پیوست 4 جدول‌ها

مبحث هفدهم مقررات ملی ساختمان (سامانه گاز طبیعی در ساختمان)

پیوست 3 ایمنی و ضوابط بهره‌برداری و نگهداری از سیستم لوله‌‌کشی گاز

مبحث هفدهم مقررات ملی ساختمان (سامانه گاز طبیعی در ساختمان)

پیوست 2 نمونه محاسبات

مبحث هفدهم مقررات ملی ساختمان (سامانه گاز طبیعی در ساختمان)

پیوست 1 راهنمای ایمنی

مبحث هفدهم مقررات ملی ساختمان (سامانه گاز طبیعی در ساختمان)